Park Yujun, Kyung Seoyeon, Mun Seyoung, Yu Byung Sun, Yun Kyengeui, Baek Chaeyun, Lee Dong-Geol, Kang Seunghyun, Kim Soon Re, Kim Ju-Hee, Lee Yeji, Park Byung-Cheol, Han Kyudong
Department of Microbiology, College of Science & Technology, Dankook University, Cheonan 31116, Republic of Korea.
R&I Center, COSMAX BTI, Pangyo-ro 255, Bundang-gu, Seongnam 13486, Republic of Korea.
Microorganisms. 2025 Jun 12;13(6):1365. doi: 10.3390/microorganisms13061365.
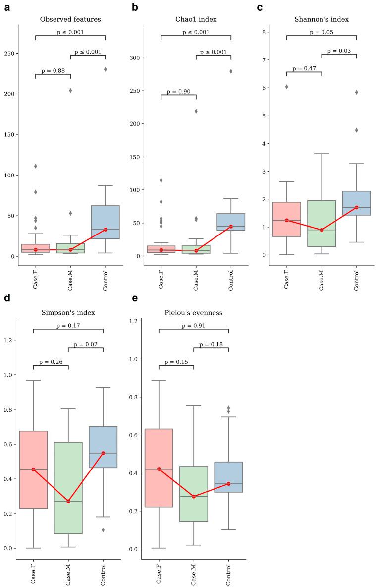
Androgenetic alopecia (AGA) is the most common form of patterned hair loss, exhibiting gender-specific clinical features. Recent studies highlight the importance of the skin microbiome in maintaining skin health, but the relationship between the hair follicle microbiome and hair loss, particularly AGA, remains understudied. Hair follicle layer samples were collected directly from the crown region of female pattern hair loss (FPHL), male pattern hair loss (MPHL), and healthy adult women (control) groups. Microbial DNA was extracted and analyzed using Illumina 16S rRNA V3-V4 gene amplicon sequencing. Alpha-diversity and beta-diversity analyses and taxonomic and functional profiling were conducted through relative abundance, LEfSe, and PICRUSt2 analyses. The alpha-diversity analysis showed a significant decrease in microbial richness in the hair loss groups. Unweighted UniFrac-based beta-diversity analysis revealed significant clustering between the control group and the FPHL group. Taxonomic profiling and LEfSe analysis identified differences in microbial composition and biomarkers. PICRUSt2 analysis further revealed altered pathways related to porphyrin metabolism, fatty acid biosynthesis, and steroid hormone metabolism. Additionally, differences in microbiome composition and potential functions were found between the FPHL and MPHL groups. This study provides comprehensive insights into the hair follicle microbiome, revealing unique microbial patterns and functional alterations associated with FPHL. Understanding these microbiome characteristics may contribute to targeted approaches for addressing AGA. Further research is warranted.
雄激素性脱发(AGA)是最常见的一种型态性脱发,具有性别特异性的临床特征。近期研究强调了皮肤微生物群在维持皮肤健康方面的重要性,但毛囊微生物群与脱发尤其是AGA之间的关系仍未得到充分研究。直接从女性型脱发(FPHL)、男性型脱发(MPHL)和健康成年女性(对照组)的头顶区域采集毛囊层样本。提取微生物DNA并使用Illumina 16S rRNA V3-V4基因扩增子测序进行分析。通过相对丰度、线性判别分析效应大小(LEfSe)和PICRUSt2分析进行α多样性和β多样性分析以及分类学和功能分析。α多样性分析显示脱发组的微生物丰富度显著降低。基于非加权UniFrac的β多样性分析显示对照组和FPHL组之间存在显著聚类。分类学分析和LEfSe分析确定了微生物组成和生物标志物的差异。PICRUSt2分析进一步揭示了与卟啉代谢、脂肪酸生物合成和类固醇激素代谢相关的途径改变。此外,FPHL组和MPHL组之间在微生物群组成和潜在功能上也存在差异。本研究提供了对毛囊微生物群的全面见解,揭示了与FPHL相关的独特微生物模式和功能改变。了解这些微生物群特征可能有助于针对AGA的靶向治疗方法。有必要进行进一步研究。