Steininger Elisabeth, Mieling Thomas, Chruściel Piotr T
Faculty of Physics and Research Network TURIS, University of Vienna, Vienna, Vienna, 1090, Austria.
Faculty of Physics, Vienna Doctoral School in Physics,, University of Vienna, Vienna, Vienna, 1090, Austria.
Open Res Eur. 2025 Aug 13;5:99. doi: 10.12688/openreseurope.19414.2. eCollection 2025.
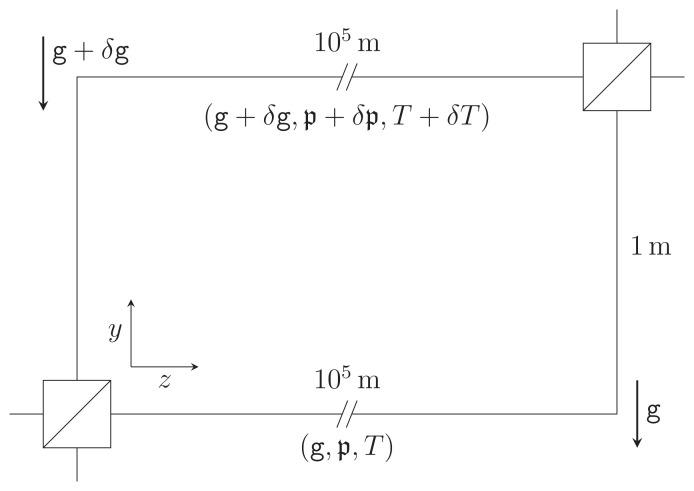
Light propagation in optical fibers is known to be sensitive to ambient conditions such as changes in temperature and pressure. Building on a model for elastic deformations of optical fiber spools derived in previous work, the induced effects on phase and birefringence are investigated.
We use a perturbative scheme to solve, to first order, the Maxwell equations in deformed fibers using a multiple-scales approximation scheme. Specifically, we consider differences in wave-guiding properties of straight fibers subject to different external temperatures, pressures, and gravitational fields.
We obtain propagation equations for the Jones vector along optical fibers. This results in phase shifts and birefringence effects, for which we derive explicit expressions.
The phase shift can be expressed in terms of the average radial pressure, longitudinal tension, and change in temperature, while birefringence depends on the quadrupole of the external pressure distribution and the stresses on the axis of the fiber. Our result provides stringent constraints on the environmental control needed for sensitive fiber interferometry.
已知光纤中的光传播对环境条件敏感,如温度和压力的变化。基于先前工作中推导的光纤卷轴弹性变形模型,研究了其对相位和双折射的诱导效应。
我们使用微扰方案,采用多尺度近似方案,一阶求解变形光纤中的麦克斯韦方程组。具体而言,我们考虑了在不同外部温度、压力和引力场作用下直光纤波导特性的差异。
我们得到了沿光纤的琼斯矢量的传播方程。这导致了相位偏移和双折射效应,我们为此推导了显式表达式。
相位偏移可以用平均径向压力、纵向张力和温度变化来表示,而双折射取决于外部压力分布的四极矩和光纤轴上的应力。我们的结果对敏感光纤干涉测量所需的环境控制提供了严格的限制。