Suppr超能文献

使用机器学习制定儿童水样腹泻的个性化阿奇霉素治疗规则。

Personalized azithromycin treatment rules for children with watery diarrhea using machine learning.

作者信息

Kim Sara S, Codi Allison, Platts-Mills James A, Pavlinac Patricia B, Manji Karim, Sudfeld Christopher R, Duggan Christopher P, Dube Queen, Bar-Zeev Naor, Kotloff Karen, Sow Samba O, Sazawal Sunil, Singa Benson O, Walson Judd, Qamar Farah, Ahmed Tahmeed, De Costa Ayesha, Benkeser David, Rogawski McQuade Elizabeth T

机构信息

Department of Epidemiology, Rollins School of Public Health, Emory University, Atlanta, GA, USA.

Department of Biostatistics, Rollins School of Public Health, Emory University, Atlanta, GA, USA.

出版信息

Nat Commun. 2025 Jul 1;16(1):5968. doi: 10.1038/s41467-025-60682-9.

Abstract

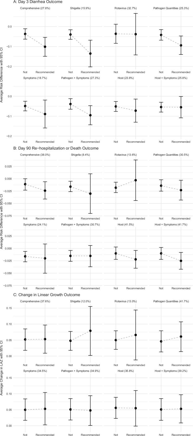
We use machine learning to identify innovative strategies to target azithromycin to the children with watery diarrhea who are most likely to benefit. Using data from a randomized trial of azithromycin for watery diarrhea (NCT03130114), we develop personalized treatment rules given sets of diagnostic, child, and clinical characteristics, employing a robust ensemble machine learning-based procedure. This procedure estimates the child-level expected benefit for a given set of covariates by combining predictions from a library of statistical models. For each rule, we estimate the proportion treated under the rule and the average benefits of treatment. Among 6692 children, treatment under the most comprehensive rule is recommended on average for one third of children. The risk of diarrhea on day 3 is 10.1% lower (95% CI: 5.4, 14.9) with azithromycin compared to placebo among children recommended for treatment (NNT: 10). For day 90 re-hospitalization and death, risk is 2.4% lower (95% CI: 0.6, 4.1; NNT: 42). While pathogen diagnostics are strong determinants of azithromycin effects on diarrhea duration, host characteristics may better predict benefits for re-hospitalization or death. This suggests that targeting antibiotic treatment for severe outcomes among children with watery diarrhea may be possible without access to pathogen diagnostics.

摘要

我们使用机器学习来确定创新策略,以便将阿奇霉素用于最有可能受益的水样腹泻儿童。利用阿奇霉素治疗水样腹泻的一项随机试验(NCT03130114)的数据,我们根据一系列诊断、儿童及临床特征制定个性化治疗规则,采用一种稳健的基于机器学习集成的程序。该程序通过结合来自统计模型库的预测来估计给定协变量集下儿童层面的预期获益。对于每条规则,我们估计按照该规则接受治疗的比例以及治疗的平均获益。在6692名儿童中,按照最全面的规则平均建议三分之一的儿童接受治疗。在建议接受治疗的儿童中,与安慰剂相比,阿奇霉素使第3天腹泻风险降低10.1%(95%CI:5.4,14.9)(需治疗人数:10)。对于第90天再次住院和死亡情况,风险降低2.4%(95%CI:0.6,4.1;需治疗人数:42)。虽然病原体诊断是阿奇霉素对腹泻持续时间影响的重要决定因素,但宿主特征可能能更好地预测再次住院或死亡的获益情况。这表明,在无法进行病原体诊断的情况下,针对水样腹泻儿童的严重后果进行抗生素治疗靶向给药或许是可行的。

https://cdn.ncbi.nlm.nih.gov/pmc/blobs/ce09/12216316/16c367ee6f41/41467_2025_60682_Fig1_HTML.jpg

文献检索

告别复杂PubMed语法,用中文像聊天一样搜索,搜遍4000万医学文献。AI智能推荐,让科研检索更轻松。

立即免费搜索

文件翻译

保留排版,准确专业,支持PDF/Word/PPT等文件格式,支持 12+语言互译。

免费翻译文档

深度研究

AI帮你快速写综述,25分钟生成高质量综述,智能提取关键信息,辅助科研写作。

立即免费体验