• 文献检索
  • 文档翻译
  • 深度研究
  • 学术资讯
  • Suppr Zotero 插件Zotero 插件
  • 邀请有礼
  • 套餐&价格
  • 历史记录
应用&插件
Suppr Zotero 插件Zotero 插件浏览器插件Mac 客户端Windows 客户端微信小程序
定价
高级版会员购买积分包购买API积分包
服务
文献检索文档翻译深度研究API 文档MCP 服务
关于我们
关于 Suppr公司介绍联系我们用户协议隐私条款
关注我们

Suppr 超能文献

核心技术专利:CN118964589B侵权必究
粤ICP备2023148730 号-1Suppr @ 2026

文献检索

告别复杂PubMed语法,用中文像聊天一样搜索,搜遍4000万医学文献。AI智能推荐,让科研检索更轻松。

立即免费搜索

文件翻译

保留排版,准确专业,支持PDF/Word/PPT等文件格式,支持 12+语言互译。

免费翻译文档

深度研究

AI帮你快速写综述,25分钟生成高质量综述,智能提取关键信息,辅助科研写作。

立即免费体验

用于精确汽车燃料表征的太赫兹超表面吸收器的增强结构可调性和高灵敏度。

Enhanced structural tunability and high sensitivity of a THz metasurface absorber for precise automotive fuel characterization.

作者信息

Ahmed Sazzad, Alam Touhidul, Soliman Md Mohiuddin, Moubark Asraf Mohamed, Rahman Md Mushfiqur, Islam Md Shabiul, Islam Mohammad Tariqul

机构信息

Pusat Sains Angkasa (ANGKASA), Institut Perubahan Iklim, Universiti Kebangsaan Malaysia (UKM), Bangi, 43600, Selangor, Malaysia.

Department of Computer Science and Engineering, International Islamic University Chittagong, Kumira, Chittagong, 4318, Bangladesh.

出版信息

Sci Rep. 2025 Jul 2;15(1):22996. doi: 10.1038/s41598-025-05326-0.

DOI:10.1038/s41598-025-05326-0
PMID:40596052
原文链接:https://pmc.ncbi.nlm.nih.gov/articles/PMC12216422/
Abstract

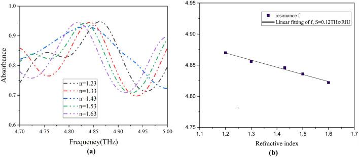
This paper introduces a metasurface absorber (MSA) sensor designed for fuel adulteration detection in the sub-terahertz (THz) range. The MSA features mirror-symmetric separated half-circle (MSSHC)-shaped resonators, a gold ground plane, and a dielectric layer, operating effectively within the 4.4-5.4 THz frequency range. It achieves notable absorption peaks at 4.94 THz. The resonance frequencies can be finely tuned by adjusting the geometric dimensions, ensuring optimal absorption. The MSA detects various additives in diesel, gasoline, and octane by monitoring shifts in resonance frequencies corresponding to changes in the oil's refractive index (RI). The absorber demonstrates a Q-factor of 304.35, a figure of merit (FOM) of 7.15 RIU, and a maximum sensitivity of 120 GHz/RIU in diesel detection. This innovative concept holds significant potential as an efficient fuel oil sensor within the automotive industry. Its structural tunability, high sensitivity, and practical design render it a promising sensor for chemical detection and biosensing applications in the THz regime.

摘要

本文介绍了一种为太赫兹(THz)波段燃油掺假检测而设计的超表面吸收器(MSA)传感器。该MSA具有镜像对称分离半圆(MSSHC)形谐振器、金接地平面和介电层,在4.4 - 5.4 THz频率范围内有效工作。它在4.94 THz处实现了显著的吸收峰。通过调整几何尺寸可以对谐振频率进行精细调谐,以确保最佳吸收。该MSA通过监测与油的折射率(RI)变化相对应的谐振频率偏移来检测柴油、汽油和辛烷中的各种添加剂。该吸收器在柴油检测中表现出304.35的品质因数、7.15 RIU的品质因数优值(FOM)以及120 GHz/RIU的最大灵敏度。这一创新概念作为汽车行业内一种高效的燃油传感器具有巨大潜力。其结构可调性、高灵敏度和实用设计使其成为太赫兹领域化学检测和生物传感应用的一种有前景的传感器。

https://cdn.ncbi.nlm.nih.gov/pmc/blobs/9962/12216422/dad2a5646e2c/41598_2025_5326_Fig10_HTML.jpg
https://cdn.ncbi.nlm.nih.gov/pmc/blobs/9962/12216422/da4281851358/41598_2025_5326_Fig1_HTML.jpg
https://cdn.ncbi.nlm.nih.gov/pmc/blobs/9962/12216422/ca45c6704f20/41598_2025_5326_Fig2_HTML.jpg
https://cdn.ncbi.nlm.nih.gov/pmc/blobs/9962/12216422/f0a4538ef666/41598_2025_5326_Fig3_HTML.jpg
https://cdn.ncbi.nlm.nih.gov/pmc/blobs/9962/12216422/57fe37870d12/41598_2025_5326_Fig4_HTML.jpg
https://cdn.ncbi.nlm.nih.gov/pmc/blobs/9962/12216422/3b76347ca733/41598_2025_5326_Fig5_HTML.jpg
https://cdn.ncbi.nlm.nih.gov/pmc/blobs/9962/12216422/0043e353c597/41598_2025_5326_Fig6_HTML.jpg
https://cdn.ncbi.nlm.nih.gov/pmc/blobs/9962/12216422/1bda2d2411bc/41598_2025_5326_Fig7_HTML.jpg
https://cdn.ncbi.nlm.nih.gov/pmc/blobs/9962/12216422/22156c621c06/41598_2025_5326_Fig8_HTML.jpg
https://cdn.ncbi.nlm.nih.gov/pmc/blobs/9962/12216422/af8d7849f69d/41598_2025_5326_Fig9_HTML.jpg
https://cdn.ncbi.nlm.nih.gov/pmc/blobs/9962/12216422/dad2a5646e2c/41598_2025_5326_Fig10_HTML.jpg
https://cdn.ncbi.nlm.nih.gov/pmc/blobs/9962/12216422/da4281851358/41598_2025_5326_Fig1_HTML.jpg
https://cdn.ncbi.nlm.nih.gov/pmc/blobs/9962/12216422/ca45c6704f20/41598_2025_5326_Fig2_HTML.jpg
https://cdn.ncbi.nlm.nih.gov/pmc/blobs/9962/12216422/f0a4538ef666/41598_2025_5326_Fig3_HTML.jpg
https://cdn.ncbi.nlm.nih.gov/pmc/blobs/9962/12216422/57fe37870d12/41598_2025_5326_Fig4_HTML.jpg
https://cdn.ncbi.nlm.nih.gov/pmc/blobs/9962/12216422/3b76347ca733/41598_2025_5326_Fig5_HTML.jpg
https://cdn.ncbi.nlm.nih.gov/pmc/blobs/9962/12216422/0043e353c597/41598_2025_5326_Fig6_HTML.jpg
https://cdn.ncbi.nlm.nih.gov/pmc/blobs/9962/12216422/1bda2d2411bc/41598_2025_5326_Fig7_HTML.jpg
https://cdn.ncbi.nlm.nih.gov/pmc/blobs/9962/12216422/22156c621c06/41598_2025_5326_Fig8_HTML.jpg
https://cdn.ncbi.nlm.nih.gov/pmc/blobs/9962/12216422/af8d7849f69d/41598_2025_5326_Fig9_HTML.jpg
https://cdn.ncbi.nlm.nih.gov/pmc/blobs/9962/12216422/dad2a5646e2c/41598_2025_5326_Fig10_HTML.jpg

相似文献

1
Enhanced structural tunability and high sensitivity of a THz metasurface absorber for precise automotive fuel characterization.用于精确汽车燃料表征的太赫兹超表面吸收器的增强结构可调性和高灵敏度。
Sci Rep. 2025 Jul 2;15(1):22996. doi: 10.1038/s41598-025-05326-0.
2
A novel sandwich-type terahertz metasurface sensor integrated ultrathin microfluidic channel for direct detection of aqueous solutions.一种新型的三明治型太赫兹超表面传感器集成了超薄微流控通道,用于直接检测水溶液。
Nanophotonics. 2025 Jun 6;14(13):2331-2343. doi: 10.1515/nanoph-2025-0099. eCollection 2025 Jun.
3
Thermally Tunable Bi-Functional Metasurface Based on InSb for Terahertz Applications.基于锑化铟用于太赫兹应用的热可调双功能超表面
Materials (Basel). 2025 Jun 17;18(12):2847. doi: 10.3390/ma18122847.
4
High sensitivity graphene based terahertz biosensor for accurate detection of blood antigens using a novel multilayer radial structure.基于石墨烯的高灵敏度太赫兹生物传感器,采用新型多层径向结构用于准确检测血液抗原。
Sci Rep. 2025 Jul 1;15(1):21634. doi: 10.1038/s41598-025-05806-3.
5
A microelectromechanical system-based terahertz spiral metamaterial for pneumatic pressure sensing applications.一种用于气压传感应用的基于微机电系统的太赫兹螺旋超材料。
Nanoscale Adv. 2025 Jun 24. doi: 10.1039/d5na00384a.
6
Sensitive terahertz plasmonic metasurface biosensor integrated with microfluidics.集成微流体的灵敏太赫兹等离子体超表面生物传感器。
Nanoscale Adv. 2025 Jun 12. doi: 10.1039/d5na00312a.
7
Design and optimization of a compact dual band metal insulator metal filter for high sensitivity refractive index sensing using particle swarm optimization.基于粒子群优化算法的紧凑型双波段金属绝缘体金属滤波器用于高灵敏度折射率传感的设计与优化
Sci Rep. 2025 Jul 1;15(1):22436. doi: 10.1038/s41598-025-05569-x.
8
Simple and Cost-Effective Design of a THz-Metamaterial-Based Hybrid Sensor on a Single Substrate.基于太赫兹超材料的混合传感器在单一衬底上的简单且经济高效的设计
Sensors (Basel). 2025 Jun 11;25(12):3660. doi: 10.3390/s25123660.
9
Robust Plasmonic Structures Fabricated by Femtosecond Laser-Assisted Anisotropic Intaglio Engraving on Quartz for High-Sensitivity Surface Plasmon Resonance Sensing.通过飞秒激光辅助在石英上进行各向异性凹版雕刻制备用于高灵敏度表面等离子体共振传感的稳健等离子体结构。
ACS Appl Mater Interfaces. 2025 Jun 18;17(24):36121-36135. doi: 10.1021/acsami.5c02734. Epub 2025 Jun 6.
10
Switchable THz Bi-Functional Device for Absorption and Dual-Band Linear-to-Circular Polarization Conversion Based on Vanadium Dioxide-Graphene.基于二氧化钒-石墨烯的可切换太赫兹双功能器件:用于吸收及双波段线偏振到圆偏振转换
Sensors (Basel). 2025 Jun 10;25(12):3644. doi: 10.3390/s25123644.

本文引用的文献

1
Structures, principles, and properties of metamaterial perfect absorbers.超材料完美吸收体的结构、原理和特性。
Phys Chem Chem Phys. 2023 Nov 15;25(44):30145-30171. doi: 10.1039/d3cp03346e.
2
A high -factor dual-band terahertz metamaterial absorber and its sensing characteristics.一种高因子双频太赫兹超材料吸收体及其传感特性。
Nanoscale. 2023 Feb 16;15(7):3398-3407. doi: 10.1039/d2nr05820k.
3
Highly Sensitive Dual-Band Terahertz Metamaterial Absorber for Biomedical Applications: Simulation and Experiment.用于生物医学应用的高灵敏度双波段太赫兹超材料吸收器:仿真与实验
ACS Omega. 2022 Oct 14;7(42):38094-38104. doi: 10.1021/acsomega.2c06118. eCollection 2022 Oct 25.
4
Single-Cell-Driven Tri-Channel Encryption Meta-Displays.单细胞驱动的三通道加密元显示器。
Adv Sci (Weinh). 2022 Dec;9(35):e2203962. doi: 10.1002/advs.202203962. Epub 2022 Oct 26.
5
Polarization insensitive symmetrical structured double negative (DNG) metamaterial absorber for Ku-band sensing applications.用于Ku波段传感应用的偏振不敏感对称结构双负(DNG)超材料吸收器。
Sci Rep. 2022 Jan 10;12(1):479. doi: 10.1038/s41598-021-04236-1.
6
Terahertz Imaging for Breast Cancer Detection.太赫兹成像在乳腺癌检测中的应用。
Sensors (Basel). 2021 Sep 28;21(19):6465. doi: 10.3390/s21196465.
7
Polarization insensitivity characterization of dual-band perfect metamaterial absorber for K band sensing applications.用于K波段传感应用的双频完美超材料吸收器的偏振不敏感性表征
Sci Rep. 2021 Sep 8;11(1):17829. doi: 10.1038/s41598-021-97395-0.
8
Ultra-wideband and wide-angle perfect solar energy absorber based on Ti nanorings surface plasmon resonance.基于钛纳米环表面等离子体共振的超宽带广角完美太阳能吸收器。
Phys Chem Chem Phys. 2021 Aug 12;23(31):17041-17048. doi: 10.1039/d1cp03036a.
9
Terahertz dual-band metamaterial absorber for trace indole-3-acetic acid and tricyclazole molecular detection based on spectral response analysis.基于光谱响应分析的痕量吲哚-3-乙酸和三唑酮分子检测的太赫兹双频超材料吸收体。
Spectrochim Acta A Mol Biomol Spectrosc. 2021 Dec 15;263:120222. doi: 10.1016/j.saa.2021.120222. Epub 2021 Jul 24.
10
Streptavidin-functionalized terahertz metamaterials for attomolar exosomal microRNA assay in pancreatic cancer based on duplex-specific nuclease-triggered rolling circle amplification.基于双链特异性核酸酶触发滚环扩增的链霉亲和素功能化太赫兹超材料用于胰腺癌的纳摩尔级外泌体 microRNA 分析
Biosens Bioelectron. 2021 Sep 15;188:113314. doi: 10.1016/j.bios.2021.113314. Epub 2021 May 9.