Suppr超能文献

用于解决数值优化和工程问题的黑鱼优化器。

Channa argus optimizer for solving numerical optimization and engineering problems.

作者信息

Fang Da, Yan Jun, Zhou Quan

机构信息

Wuhan Technical College of Communications, Wuhan, 430065, China.

Hubei Communications Technical College, Wuhan, 430079, China.

出版信息

Sci Rep. 2025 Jul 1;15(1):21502. doi: 10.1038/s41598-025-08517-x.

Abstract

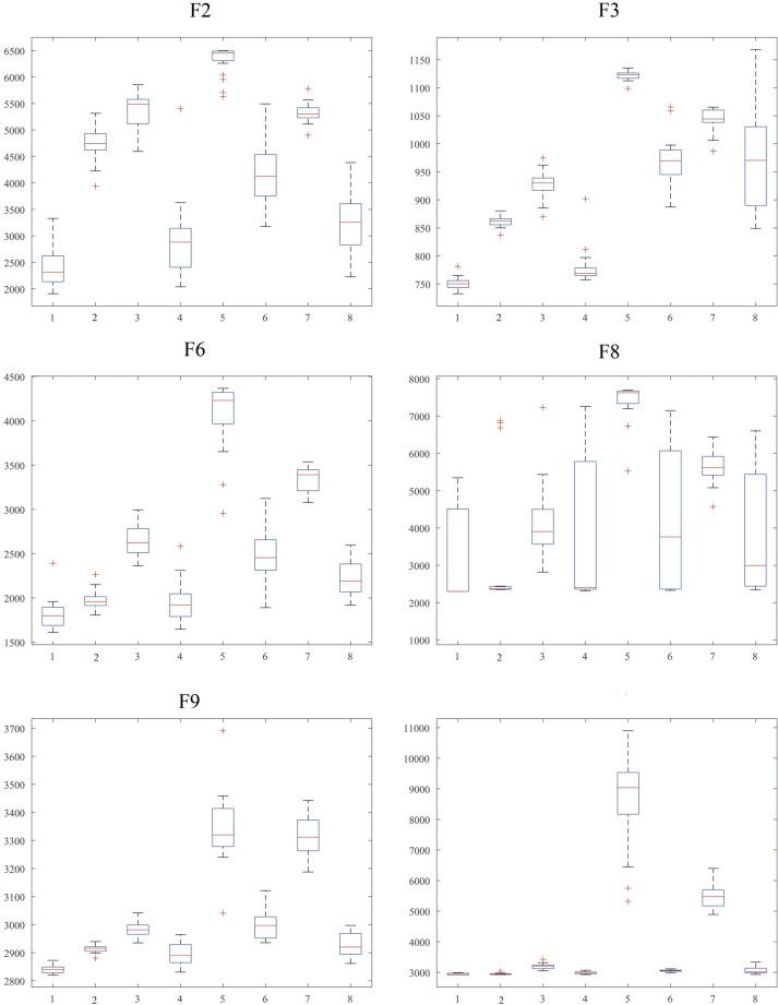
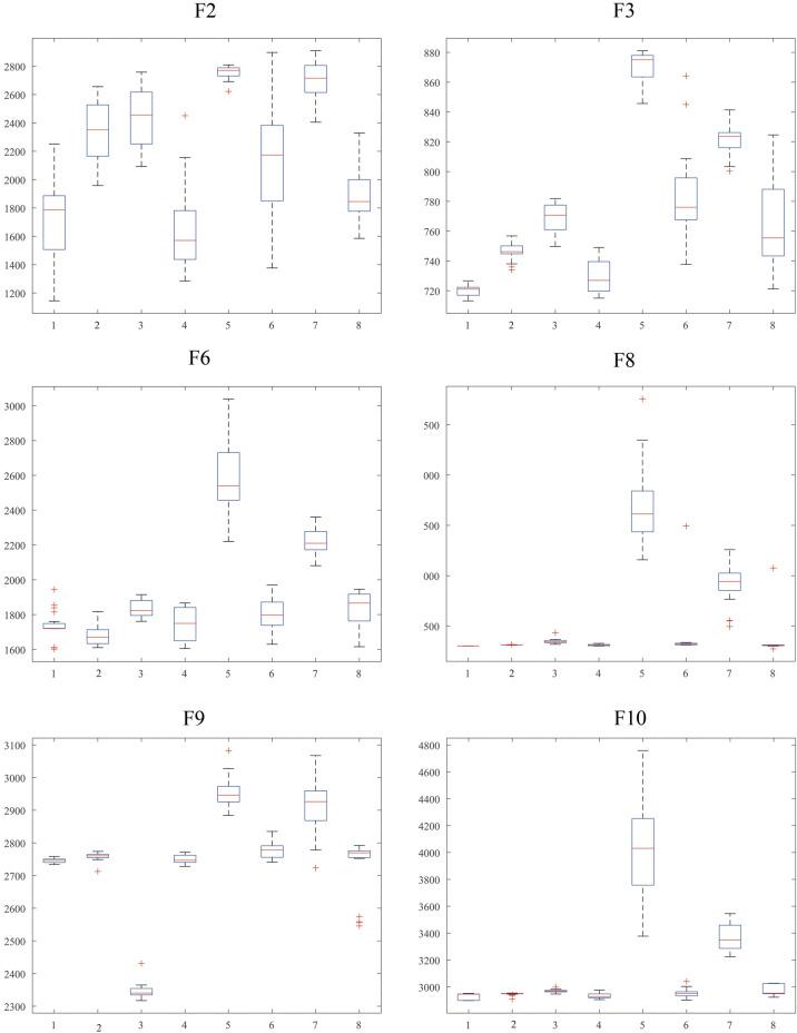
In this study, we introduce the Channa Argus Optimizer (CAO), a novel swarm-based meta-heuristic algorithm that draws inspiration from the distinctive hunting and escaping behavior observed in Channa Arguses in the natural world. The CAO algorithm mainly emulates the hunting and escaping behavior of Chinna Argus to realize a tradeoff between exploitation and exploration in the solution space and discourage premature convergence. The competitiveness and effectiveness of CAO are validated utilizing 29 typical CEC2017 and 10 CEC2020 unconstrained benchmarks and 5 real-world constrained optimization mechanical engineering issues. The CAO algorithm was tested on CEC2017 and CEC2020 functions and compared with 7 algorithms to evaluate performance. In addition, the CAO algorithm is tested on the CEC2017 benchmark functions with dimensions of 10-D, 30-D, 50-D, and 100-D. It is then compared and evaluated against other algorithms, using the Wilcoxon rank-sum test and Friedman mean rank. Finally, the CAO algorithm is utilized to tackle five intricate engineering problems to show its robustness. These results have demonstrated the effectiveness and potential of the CAO algorithm, yielding outstanding results and ranking first among other algorithms.

摘要

在本研究中,我们引入了黑鱼优化器(CAO),这是一种新颖的基于群体的元启发式算法,它从自然界中黑鱼独特的捕食和逃逸行为中汲取灵感。CAO算法主要模拟黑鱼的捕食和逃逸行为,以在解空间中实现开发与探索之间的权衡,并防止过早收敛。利用29个典型的CEC2017和10个CEC2020无约束基准测试函数以及5个实际的约束优化机械工程问题,验证了CAO的竞争力和有效性。在CEC2017和CEC2020函数上对CAO算法进行了测试,并与7种算法进行比较以评估性能。此外,在维度为10维、30维、50维和100维的CEC2017基准测试函数上对CAO算法进行了测试。然后,使用威尔科克森秩和检验和弗里德曼平均秩,与其他算法进行比较和评估。最后,利用CAO算法解决了五个复杂的工程问题,以展示其鲁棒性。这些结果证明了CAO算法的有效性和潜力,取得了优异的结果,并在其他算法中排名第一。

https://cdn.ncbi.nlm.nih.gov/pmc/blobs/1cfd/12314126/c4a719ee3182/41598_2025_8517_Fig1_HTML.jpg

文献AI研究员

20分钟写一篇综述,助力文献阅读效率提升50倍。

立即体验

用中文搜PubMed

大模型驱动的PubMed中文搜索引擎

马上搜索

文档翻译

学术文献翻译模型,支持多种主流文档格式。

立即体验