• 文献检索
  • 文档翻译
  • 深度研究
  • 学术资讯
  • Suppr Zotero 插件Zotero 插件
  • 邀请有礼
  • 套餐&价格
  • 历史记录
应用&插件
Suppr Zotero 插件Zotero 插件浏览器插件Mac 客户端Windows 客户端微信小程序
定价
高级版会员购买积分包购买API积分包
服务
文献检索文档翻译深度研究API 文档MCP 服务
关于我们
关于 Suppr公司介绍联系我们用户协议隐私条款
关注我们

Suppr 超能文献

核心技术专利:CN118964589B侵权必究
粤ICP备2023148730 号-1Suppr @ 2026

文献检索

告别复杂PubMed语法,用中文像聊天一样搜索,搜遍4000万医学文献。AI智能推荐,让科研检索更轻松。

立即免费搜索

文件翻译

保留排版,准确专业,支持PDF/Word/PPT等文件格式,支持 12+语言互译。

免费翻译文档

深度研究

AI帮你快速写综述,25分钟生成高质量综述,智能提取关键信息,辅助科研写作。

立即免费体验

2001年至2021年韩国口腔癌的流行病学趋势分析。

An epidemiological trend analysis of oral cancer in Korea from 2001 to 2021.

作者信息

Shin Hye-Sun, Choi Junho, Park Yuyi, Shin Uiseop, Kim Sangmyeong, Han Dong-Hun

机构信息

Department of Dental Hygiene, Dongnam Health University, Suwon-Si, Gyeonggi-Do, 16328, Republic of Korea.

Department of Electrical and Computer Engineering, Seoul National University, Seoul, 08826, Republic of Korea.

出版信息

BMC Oral Health. 2025 Jul 1;25(1):969. doi: 10.1186/s12903-025-06351-1.

DOI:10.1186/s12903-025-06351-1
PMID:40598052
原文链接:https://pmc.ncbi.nlm.nih.gov/articles/PMC12220502/
Abstract

BACKGROUND

Although recent global studies have highlighted shifting patterns in oropharyngeal cancer, Korea lacks comprehensive epidemiological data on oral cancer, including detailed prevalence by anatomical subsites, age, and sex. This study aims to analyze long-term trends in oral cancer incidence and mortality in Korea, with particular attention to disease spectrum across subsites.

METHODS

Patient data from individuals diagnosed between 2001 and 2021 were obtained from Cancer Registration Statistics by the Ministry of Health and Welfare, while cause-of-death statistics from Statistics Korea provided information on deaths due to malignant neoplasms of the lip, oral cavity, and pharynx. Age-standardized incidence and mortality rates were calculated using the direct method, with the 2000 Korean mid-year population as the standard. Temporal trends were assessed using joinpoint regression analysis to estimate annual percentage changes (APCs) and to identify significant shifts in incidence and mortality across sex, age group, and subsites.

RESULTS

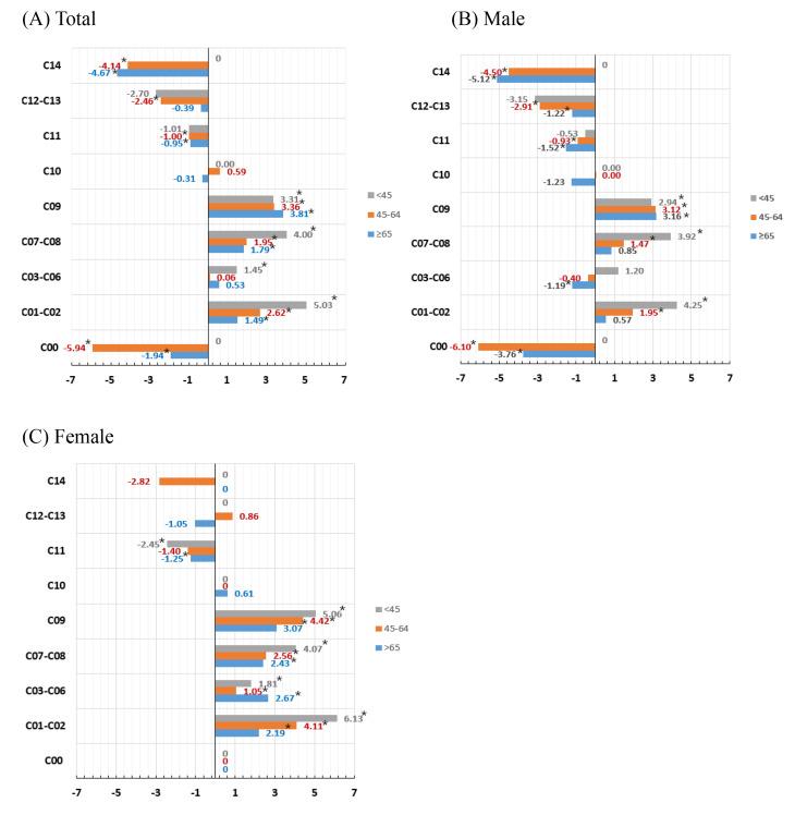
The overall trend in oral cancer incidence among males was modest (APC: 0.30), with the most notable increase observed in those aged 45 or younger (APC: 2.13). In females, oral cancer incidence showed a significant increase (APC: 2.19), with the highest rise occurring in those aged 45 or younger (APC: 3.20). Subsite-specific trends showed that in males, the greatest increases were in cancers of the tonsils (APC: 3.11), salivary glands (APC: 2.01), and tongue (APC: 1.95), whereas in females, the tongue (APC: 3.97), tonsils (APC: 3.85), and salivary glands (APC: 3.09) showed the highest increases.

CONCLUSIONS

These findings demonstrate distinct epidemiological shifts in oral cancer in Korea over the past two decades, particularly by age, sex, and anatomical subsite. While incidence increased notably among younger females, mortality declined in males, suggesting improved survival outcomes. These results underscore the importance of continuous monitoring and subsite-specific prevention strategies tailored to evolving demographic and clinical patterns.

摘要

背景

尽管近期的全球研究突出了口咽癌模式的变化,但韩国缺乏关于口腔癌的全面流行病学数据,包括按解剖亚部位、年龄和性别划分的详细患病率。本研究旨在分析韩国口腔癌发病率和死亡率的长期趋势,尤其关注各亚部位的疾病谱。

方法

从韩国卫生与福利部的癌症登记统计数据中获取2001年至2021年期间确诊患者的数据,而韩国统计局的死因统计数据提供了唇、口腔和咽恶性肿瘤导致死亡的信息。采用直接法计算年龄标准化发病率和死亡率,以2000年韩国年中人口为标准。使用连接点回归分析评估时间趋势,以估计年度百分比变化(APC),并确定性别、年龄组和亚部位发病率和死亡率的显著变化。

结果

男性口腔癌发病率总体呈适度上升趋势(APC:0.30),45岁及以下人群上升最为显著(APC:2.13)。女性口腔癌发病率显著上升(APC:2.19),45岁及以下人群上升幅度最大(APC:3.20)。亚部位特异性趋势显示,男性中,扁桃体癌(APC:3.11)、唾液腺癌(APC:2.01)和舌癌(APC:1.95)上升幅度最大,而女性中,舌癌(APC:3.97)、扁桃体癌(APC:3.85)和唾液腺癌(APC:3.09)上升幅度最高。

结论

这些发现表明,在过去二十年中,韩国口腔癌的流行病学发生了明显变化,尤其是在年龄、性别和解剖亚部位方面。虽然年轻女性发病率显著上升,但男性死亡率下降,表明生存结果有所改善。这些结果强调了持续监测以及根据不断变化的人口统计学和临床模式制定亚部位特异性预防策略的重要性。

https://cdn.ncbi.nlm.nih.gov/pmc/blobs/d4af/12220502/4135351b2ea2/12903_2025_6351_Fig8_HTML.jpg
https://cdn.ncbi.nlm.nih.gov/pmc/blobs/d4af/12220502/ea15e29f3d2d/12903_2025_6351_Fig1_HTML.jpg
https://cdn.ncbi.nlm.nih.gov/pmc/blobs/d4af/12220502/8e2c892f9e50/12903_2025_6351_Fig2_HTML.jpg
https://cdn.ncbi.nlm.nih.gov/pmc/blobs/d4af/12220502/88a9e41941c2/12903_2025_6351_Fig3_HTML.jpg
https://cdn.ncbi.nlm.nih.gov/pmc/blobs/d4af/12220502/164b47851d50/12903_2025_6351_Fig4_HTML.jpg
https://cdn.ncbi.nlm.nih.gov/pmc/blobs/d4af/12220502/a89879f2544d/12903_2025_6351_Fig5_HTML.jpg
https://cdn.ncbi.nlm.nih.gov/pmc/blobs/d4af/12220502/2f38cfdb1f39/12903_2025_6351_Fig6_HTML.jpg
https://cdn.ncbi.nlm.nih.gov/pmc/blobs/d4af/12220502/b9fae762b667/12903_2025_6351_Fig7_HTML.jpg
https://cdn.ncbi.nlm.nih.gov/pmc/blobs/d4af/12220502/4135351b2ea2/12903_2025_6351_Fig8_HTML.jpg
https://cdn.ncbi.nlm.nih.gov/pmc/blobs/d4af/12220502/ea15e29f3d2d/12903_2025_6351_Fig1_HTML.jpg
https://cdn.ncbi.nlm.nih.gov/pmc/blobs/d4af/12220502/8e2c892f9e50/12903_2025_6351_Fig2_HTML.jpg
https://cdn.ncbi.nlm.nih.gov/pmc/blobs/d4af/12220502/88a9e41941c2/12903_2025_6351_Fig3_HTML.jpg
https://cdn.ncbi.nlm.nih.gov/pmc/blobs/d4af/12220502/164b47851d50/12903_2025_6351_Fig4_HTML.jpg
https://cdn.ncbi.nlm.nih.gov/pmc/blobs/d4af/12220502/a89879f2544d/12903_2025_6351_Fig5_HTML.jpg
https://cdn.ncbi.nlm.nih.gov/pmc/blobs/d4af/12220502/2f38cfdb1f39/12903_2025_6351_Fig6_HTML.jpg
https://cdn.ncbi.nlm.nih.gov/pmc/blobs/d4af/12220502/b9fae762b667/12903_2025_6351_Fig7_HTML.jpg
https://cdn.ncbi.nlm.nih.gov/pmc/blobs/d4af/12220502/4135351b2ea2/12903_2025_6351_Fig8_HTML.jpg

相似文献

1
An epidemiological trend analysis of oral cancer in Korea from 2001 to 2021.2001年至2021年韩国口腔癌的流行病学趋势分析。
BMC Oral Health. 2025 Jul 1;25(1):969. doi: 10.1186/s12903-025-06351-1.
2
Surveillance for Violent Deaths - National Violent Death Reporting System, 50 States, the District of Columbia, and Puerto Rico, 2022.暴力死亡监测——2022年全国暴力死亡报告系统,50个州、哥伦比亚特区和波多黎各
MMWR Surveill Summ. 2025 Jun 12;74(5):1-42. doi: 10.15585/mmwr.ss7405a1.
3
Incidence, Trends and Survival of Oral Cavity Squamous Cell Carcinoma in Aotearoa New Zealand over 15 Years (2006-2020).15年间(2006 - 2020年)新西兰口腔鳞状细胞癌的发病率、趋势及生存率
Asian Pac J Cancer Prev. 2025 Jun 1;26(6):2015-2023. doi: 10.31557/APJCP.2025.26.6.2015.
4
Global trends in testicular and prostate cancer among adolescents and young adult males aged 15-49 years, 1990-2021: insights from the GBD study.1990年至2021年15至49岁青少年及青年男性睾丸癌和前列腺癌的全球趋势:来自全球疾病负担研究的见解
Sci Rep. 2025 Jul 2;15(1):23388. doi: 10.1038/s41598-025-07361-3.
5
Global, Regional, and National Burden and Trends of Soft Tissue and Other Extraosseous Sarcomas From 1990 to 2021.1990年至2021年全球、区域和国家软组织及其他骨外肉瘤的负担与趋势
Cancer Control. 2025 Jan-Dec;32:10732748251355841. doi: 10.1177/10732748251355841. Epub 2025 Jun 28.
6
Trends and gender disparities in the burden of rheumatoid arthritis in Pakistan from 1990 to 2021.1990年至2021年巴基斯坦类风湿性关节炎负担的趋势及性别差异
Sci Rep. 2025 Jul 1;15(1):21667. doi: 10.1038/s41598-025-05627-4.
7
Epidemiological trends of urolithiasis in working-age populations: Findings from the global burden of disease study 1990-2021.工作年龄人群尿路结石的流行病学趋势:1990 - 2021年全球疾病负担研究结果
PLoS One. 2025 Jul 1;20(7):e0327343. doi: 10.1371/journal.pone.0327343. eCollection 2025.
8
Trends in Incidence of Hepatocellular Carcinoma Between 2000 and 2020: A Surveillance, Epidemiology, and End Results (SEER)-Based Analysis.2000年至2020年间肝细胞癌发病率的趋势:一项基于监测、流行病学和最终结果(SEER)的分析。
Cureus. 2025 May 20;17(5):e84487. doi: 10.7759/cureus.84487. eCollection 2025 May.
9
Burden of knee osteoarthritis in China and globally: 1990-2045.中国及全球膝关节骨关节炎负担:1990 - 2045年
BMC Musculoskelet Disord. 2025 Jul 1;26(1):582. doi: 10.1186/s12891-025-08858-8.
10
Changes in Epidemiological Characteristics of Varicella and Breakthrough Cases in Ningbo, China, From 2010 to 2023: Surveillance Study.2010年至2023年中国宁波水痘及突破性病例的流行病学特征变化:监测研究
JMIR Public Health Surveill. 2025 Jun 18;11:e71691. doi: 10.2196/71691.

本文引用的文献

1
The Global, Regional, and National Burden of Adult Lip, Oral, and Pharyngeal Cancer in 204 Countries and Territories: A Systematic Analysis for the Global Burden of Disease Study 2019.全球 204 个国家和地区成人唇、口腔和咽癌的全球、区域和国家负担:2019 年全球疾病负担研究的系统分析。
JAMA Oncol. 2023 Oct 1;9(10):1401-1416. doi: 10.1001/jamaoncol.2023.2960.
2
Changing Epidemiology of Oral Cavity Cancer in the United States.美国口腔癌的流行病学变化。
Otolaryngol Head Neck Surg. 2023 Apr;168(4):761-768. doi: 10.1177/01945998221098011. Epub 2023 Feb 5.
3
Base of tongue/tonsillar and laryngeal cancer in Denmark 1994-2018: Temporal trends in incidence according to education and age.
1994 - 2018年丹麦舌根部/扁桃体及喉癌:按教育程度和年龄划分的发病率时间趋势
Oral Oncol. 2022 May;128:105832. doi: 10.1016/j.oraloncology.2022.105832. Epub 2022 Apr 9.
4
Global burden of oropharyngeal cancer attributable to human papillomavirus by anatomical subsite and geographic region.全球解剖部位和地理区域归因于人乳头瘤病毒的口咽癌负担。
Cancer Epidemiol. 2022 Jun;78:102140. doi: 10.1016/j.canep.2022.102140. Epub 2022 Mar 15.
5
Temporal trends of women with oral cavity, base of tongue and lip cancers in Brazil: An ecological study covering mortality data from 1980 to 2018.巴西口咽和唇癌女性患者的时间趋势:一项涵盖 1980 年至 2018 年死亡率数据的生态学研究。
Community Dent Oral Epidemiol. 2023 Apr;51(2):236-246. doi: 10.1111/cdoe.12731. Epub 2022 Feb 14.
6
Trends in the incidence of head and neck cancer by subsite between 1993 and 2015 in Japan.日本 1993 年至 2015 年间头颈部癌症各部位发病率的变化趋势。
Cancer Med. 2022 Mar;11(6):1553-1560. doi: 10.1002/cam4.4539. Epub 2022 Jan 14.
7
The effect of comprehensive oral care program on oral health and quality of life in patients undergoing radiotherapy for head and neck cancer: A quasi-experimental case-control study.综合口腔护理方案对头颈部癌症放疗患者口腔健康和生活质量的影响:一项准实验性病例对照研究。
Medicine (Baltimore). 2021 Apr 23;100(16):e25540. doi: 10.1097/MD.0000000000025540.
8
The emergence of oral cavity cancer and the stabilization of oropharyngeal cancer: Recent contrasting epidemics in the South Korean population.口腔癌的出现与口咽癌的稳定:韩国人群中最近对比鲜明的流行趋势。
Cancer. 2021 May 15;127(10):1638-1647. doi: 10.1002/cncr.33434. Epub 2021 Feb 17.
9
Salivary gland tumours in Iceland 1986-2015: a nationwide epidemiological analysis over a 30-year time period.冰岛 1986-2015 年唾液腺肿瘤:30 年时间内的全国性流行病学分析。
APMIS. 2021 Feb;129(2):55-60. doi: 10.1111/apm.13090. Epub 2020 Nov 3.
10
Sex Differences in the Heterogeneous Dynamic Incidence of Oral Cancer: A Comparison between Taiwan and Thailand.性别差异对口腔癌异质性动态发病率的影响:台湾与泰国的比较。
Biomed Res Int. 2020 Sep 15;2020:9321246. doi: 10.1155/2020/9321246. eCollection 2020.