Suppr超能文献

高流量鼻导管与无创通气治疗慢性阻塞性肺疾病急性加重伴轻-中度高碳酸血症呼吸衰竭的回顾性研究

High-flow nasal cannula versus non-invasive ventilation for acute exacerbations of chronic obstructive pulmonary disease with acute-moderate hypercapnic respiratory failure: a retrospective study.

作者信息

Colaianni-Alfonso Nicolás, Toledo Ada, Montiel Guillermo, Deana Cristian, Vetrugno Luigi, Castro-Sayat Mauro

机构信息

Respiratory Intermediate Care Unit, Hospital Juan A. Fernández, Buenos Aires, Argentina.

Department of Anesthesia and Intensive Care, Health Integrated Agency of Friuli Centrale, Udine, Italy.

出版信息

Front Med (Lausanne). 2025 Jun 18;12:1582749. doi: 10.3389/fmed.2025.1582749. eCollection 2025.

Abstract

BACKGROUND

Acute exacerbations of chronic obstructive pulmonary disease (AECOPD) frequently present with acute hypercapnic respiratory failure (AHRF). While non-invasive ventilation (NIV) remains the fist-line therapy, high-flow nasal cannula (HFNC) offers a potential alternative.

METHODS

This retrospective cohort study compared the clinical effectiveness and safety of HFNC versus NIV as initial respiratory support in 100 consecutive patients with AECOPD and AHRF (PaCO2 > 45 mmHg, pH 7.25-7.35). Patients were categorized into HFNC and NIV groups based on the respiratory support initiated within the first 2 h of admission. The primary outcome was treatment failure, defined as intubation, switch from one non-invasive respiratory support to another or death under NIRS. Secondary outcomes included respiratory rate (RR), arterial blood gas parameters, length of stay, and duration of respiratory support.

RESULTS

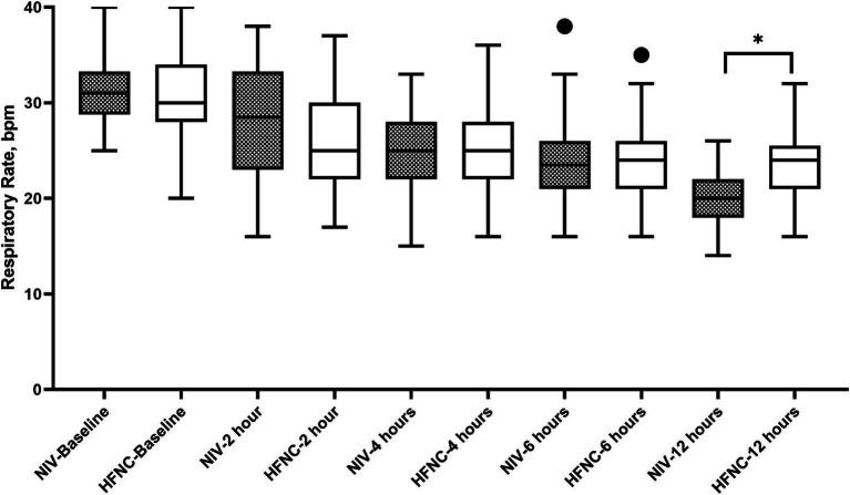
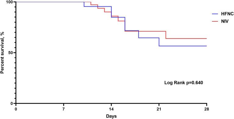
Treatment failure rates were comparable between the HFNC (32%) and NIV (35%) groups ( = 0.72). However, reasons for treatment escalation differed significantly. NIV failure was largely due to intolerance, while HFNC failure was associated with worsening respiratory distress or hypercapnia. NIV demonstrated superior early improvements in RR and PaCO2 compared to HFNC. No statistically significant differences were found in length of stay or 28-day mortality.

CONCLUSION

This study suggests similar overall treatment success rates for HFNC and NIV in AECOPD with AHRF. However, NIV appears more effective in achieving early respiratory improvements, whereas HFNC offers superior tolerability. Further large-scale, prospective, randomized controlled trials are warranted to definitively establish optimal respiratory support strategies for this patient population.

摘要

背景

慢性阻塞性肺疾病急性加重(AECOPD)常伴有急性高碳酸血症性呼吸衰竭(AHRF)。虽然无创通气(NIV)仍是一线治疗方法,但高流量鼻导管(HFNC)提供了一种潜在的替代方案。

方法

这项回顾性队列研究比较了HFNC与NIV作为100例连续的AECOPD和AHRF患者(动脉血二氧化碳分压>45 mmHg,pH值7.25 - 7.35)初始呼吸支持的临床有效性和安全性。根据入院后2小时内开始的呼吸支持将患者分为HFNC组和NIV组。主要结局是治疗失败,定义为插管、从一种无创呼吸支持转换为另一种或在无创呼吸支持下死亡。次要结局包括呼吸频率(RR)、动脉血气参数、住院时间和呼吸支持持续时间。

结果

HFNC组(32%)和NIV组(35%)的治疗失败率相当( = 0.72)。然而,治疗升级的原因有显著差异。NIV失败主要是由于不耐受,而HFNC失败与呼吸窘迫或高碳酸血症恶化有关。与HFNC相比,NIV在RR和动脉血二氧化碳分压方面显示出更好的早期改善。住院时间或28天死亡率方面未发现统计学显著差异。

结论

本研究表明,HFNC和NIV在AECOPD合并AHRF患者中的总体治疗成功率相似。然而,NIV在实现早期呼吸改善方面似乎更有效,而HFNC具有更好的耐受性。有必要进行进一步的大规模、前瞻性、随机对照试验,以明确确定该患者群体的最佳呼吸支持策略。

https://cdn.ncbi.nlm.nih.gov/pmc/blobs/2887/12213871/fe8329f05915/fmed-12-1582749-g001.jpg

文献检索

告别复杂PubMed语法,用中文像聊天一样搜索,搜遍4000万医学文献。AI智能推荐,让科研检索更轻松。

立即免费搜索

文件翻译

保留排版,准确专业,支持PDF/Word/PPT等文件格式,支持 12+语言互译。

免费翻译文档

深度研究

AI帮你快速写综述,25分钟生成高质量综述,智能提取关键信息,辅助科研写作。

立即免费体验