Suppr超能文献

使用MIMIC-IV数据库开发并验证用于慢性阻塞性肺疾病合并心力衰竭患者的体重指数分层死亡率预测模型。

Development and validation of a BMI stratified mortality prediction model for patients with COPD complicated by HF using the MIMIC-IV database.

作者信息

Zhu Jingwen, Wang Yifan, Wang Shaoqiang, Zhou Jihong

机构信息

The Fourth Clinical Medical College of Guangzhou University of Chinese Medicine, Shenzhen, 518033, China.

Shenzhen Traditional Chinese Medicine Hospital, Shenzhen, 518033, China.

出版信息

Sci Rep. 2025 Jul 3;15(1):23765. doi: 10.1038/s41598-025-09605-8.

Abstract

UNLABELLED

Given the high mortality rate of chronic obstructive pulmonary disease (COPD) complicated by heart failure (HF), early identification of high-risk patients and timely intervention are crucial. There is currently no in-hospital mortality risk prediction model for COPD complicated by HF patients with different Body Mass Index (BMI). This study aims to explore the risk factors of COPD complicated by HF and construct an in-hospital mortality risk prediction model.

METHOD

Select a population that meets the diagnostic criteria for COPD complicated by HF from the Medical Information Mart for Intensive Care IV (MIMIC-IV) and analyze the baseline characteristics of the patients. Univariate Cox regression analysis and multivariate Cox regression analysis were used to determine the risk factors for mortality in patients with different BMIs and to construct a prediction model. Evaluate the model's consistency, discriminability, and clinical application value using the calibration curve, area under the curve (AUC), and decision curve analysis (DCA), respectively.

RESULT

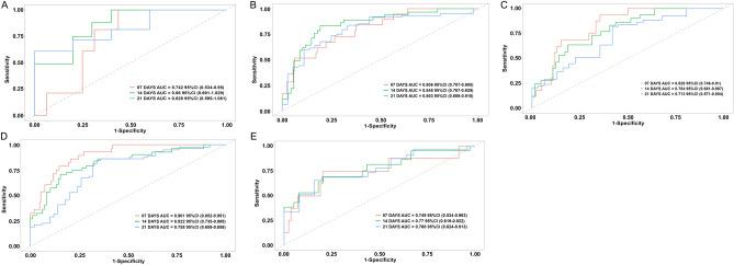
A total of 907 patients with COPD complicated by HF were included, and risk factors such as age, heart rate (HR), systolic blood pressure (SBP), diastolic blood pressure (DBP), white blood cell count (WBC), heart rate(HR), respiratory rate (RR), blood urea nitrogen (BUN), prothrombin time (PT), activated partial thromboplastin time (aPTT), diabetes, peripheral vascular disease, sequential organ failure assessment (SOFA), and Glasgow Coma Scale(GCS) were included in the prediction model. AUC, calibration, and decision curves indicate that most models have good discrimination, calibration, and clinical application value.

CONCLUSION

The in-hospital mortality risk prediction model for COPD complicated by HF based on MIMIC-IV has good recognition ability and significant clinical reference value for patient prognosis risk assessment and intervention treatment.

摘要

未标注

鉴于慢性阻塞性肺疾病(COPD)合并心力衰竭(HF)的高死亡率,早期识别高危患者并及时干预至关重要。目前尚无针对不同体重指数(BMI)的COPD合并HF患者的院内死亡风险预测模型。本研究旨在探讨COPD合并HF的危险因素并构建院内死亡风险预测模型。

方法

从重症监护医学信息集市IV(MIMIC-IV)中选择符合COPD合并HF诊断标准的人群,分析患者的基线特征。采用单因素Cox回归分析和多因素Cox回归分析确定不同BMI患者的死亡危险因素并构建预测模型。分别使用校准曲线、曲线下面积(AUC)和决策曲线分析(DCA)评估模型的一致性、辨别力和临床应用价值。

结果

共纳入907例COPD合并HF患者,预测模型纳入了年龄、心率(HR)、收缩压(SBP)、舒张压(DBP)、白细胞计数(WBC)、心率(HR)、呼吸频率(RR)、血尿素氮(BUN)、凝血酶原时间(PT)、活化部分凝血活酶时间(aPTT)、糖尿病、外周血管疾病、序贯器官衰竭评估(SOFA)和格拉斯哥昏迷量表(GCS)等危险因素。AUC、校准和决策曲线表明,大多数模型具有良好的辨别力、校准度和临床应用价值。

结论

基于MIMIC-IV的COPD合并HF院内死亡风险预测模型对患者预后风险评估和干预治疗具有良好的识别能力和显著的临床参考价值。

https://cdn.ncbi.nlm.nih.gov/pmc/blobs/86a3/12229611/2b030ac0ce29/41598_2025_9605_Fig1_HTML.jpg

文献AI研究员

20分钟写一篇综述,助力文献阅读效率提升50倍。

立即体验

用中文搜PubMed

大模型驱动的PubMed中文搜索引擎

马上搜索

文档翻译

学术文献翻译模型,支持多种主流文档格式。

立即体验