• 文献检索
  • 文档翻译
  • 深度研究
  • 学术资讯
  • Suppr Zotero 插件Zotero 插件
  • 邀请有礼
  • 套餐&价格
  • 历史记录
应用&插件
Suppr Zotero 插件Zotero 插件浏览器插件Mac 客户端Windows 客户端微信小程序
定价
高级版会员购买积分包购买API积分包
服务
文献检索文档翻译深度研究API 文档MCP 服务
关于我们
关于 Suppr公司介绍联系我们用户协议隐私条款
关注我们

Suppr 超能文献

核心技术专利:CN118964589B侵权必究
粤ICP备2023148730 号-1Suppr @ 2026

文献检索

告别复杂PubMed语法,用中文像聊天一样搜索,搜遍4000万医学文献。AI智能推荐,让科研检索更轻松。

立即免费搜索

文件翻译

保留排版,准确专业,支持PDF/Word/PPT等文件格式,支持 12+语言互译。

免费翻译文档

深度研究

AI帮你快速写综述,25分钟生成高质量综述,智能提取关键信息,辅助科研写作。

立即免费体验

使用高度不平衡数据集预测奶牛真胃移位的机器学习方法

Machine Learning Approaches for the Prediction of Displaced Abomasum in Dairy Cows Using a Highly Imbalanced Dataset.

作者信息

Asgari Zeinab, Sadeghi-Sefidmazgi Ali, Pakdel Abbas, Shahinfar Saleh

机构信息

Department of Animal Sciences, College of Agriculture, Isfahan University of Technology, Isfahan 84156-83111, Iran.

Department of Animal Science, University of Tehran, Karaj 3158711167-4111, Iran.

出版信息

Animals (Basel). 2025 Jun 20;15(13):1833. doi: 10.3390/ani15131833.

DOI:10.3390/ani15131833
PMID:40646732
原文链接:https://pmc.ncbi.nlm.nih.gov/articles/PMC12249077/
Abstract

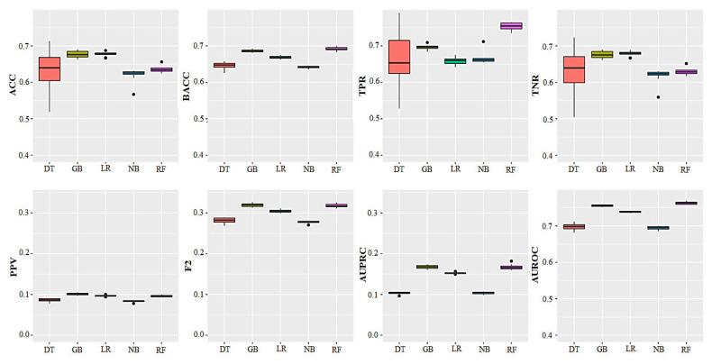
Displaced abomasum (DA) is a digestive disorder that causes severe economic losses through the reduction in milk yield and early culling of cows. The predictive potential of DA-susceptible cases is of great importance to reduce economic losses. This study aimed for early prediction of DA. However, identifying cows at risk of DA can be difficult because DA is a complex trait and its incidence is low. For this purpose, in this study, the ability of five machine learning algorithms, namely Logistic Regression (LR), Naïve Bayes (NB), Decision Tree, Random Forest (RF) and Gradient Boosting Machines (GBM), to predict cases of DA was investigated. For these predictions, 20 herd-cow-specific features and sire genetic information from 7 Holstein dairy herds that calved between 2010 and 2020 were available. Model performance metrics indicated that GBM and RF algorithms outperformed the others in predicting DA with F2 measures of 0.32. The true positive rate in the RF was the highest compared to other methods at 0.75, followed by GBM at 0.70. Given the highly imbalanced data, this study showed the potential in forecasting cases susceptible to DA. This prediction tool can aid dairy farmers in making preventative management decisions by identifying cows susceptible to DA.

摘要

真胃移位(DA)是一种消化系统疾病,会因奶牛产奶量下降和过早淘汰而导致严重的经济损失。对易患DA的病例进行预测对于减少经济损失至关重要。本研究旨在对DA进行早期预测。然而,识别有DA风险的奶牛可能很困难,因为DA是一个复杂的性状,其发病率较低。为此,在本研究中,研究了逻辑回归(LR)、朴素贝叶斯(NB)、决策树、随机森林(RF)和梯度提升机(GBM)这五种机器学习算法预测DA病例的能力。对于这些预测,可获得来自2010年至2020年间产犊的7个荷斯坦奶牛群的20个特定牛群-奶牛特征和父系遗传信息。模型性能指标表明,GBM和RF算法在预测DA方面表现优于其他算法,F2度量为0.32。与其他方法相比,RF中的真阳性率最高,为0.75,其次是GBM,为0.70。考虑到数据高度不平衡,本研究显示了预测易患DA病例的潜力。这种预测工具可以帮助奶农通过识别易患DA的奶牛来做出预防性管理决策。

https://cdn.ncbi.nlm.nih.gov/pmc/blobs/628e/12249077/f1379a3262c3/animals-15-01833-g005.jpg
https://cdn.ncbi.nlm.nih.gov/pmc/blobs/628e/12249077/d7149013319c/animals-15-01833-g001.jpg
https://cdn.ncbi.nlm.nih.gov/pmc/blobs/628e/12249077/c01e259b7107/animals-15-01833-g002.jpg
https://cdn.ncbi.nlm.nih.gov/pmc/blobs/628e/12249077/3f08aad63f0d/animals-15-01833-g003.jpg
https://cdn.ncbi.nlm.nih.gov/pmc/blobs/628e/12249077/870a0492c0f5/animals-15-01833-g004.jpg
https://cdn.ncbi.nlm.nih.gov/pmc/blobs/628e/12249077/f1379a3262c3/animals-15-01833-g005.jpg
https://cdn.ncbi.nlm.nih.gov/pmc/blobs/628e/12249077/d7149013319c/animals-15-01833-g001.jpg
https://cdn.ncbi.nlm.nih.gov/pmc/blobs/628e/12249077/c01e259b7107/animals-15-01833-g002.jpg
https://cdn.ncbi.nlm.nih.gov/pmc/blobs/628e/12249077/3f08aad63f0d/animals-15-01833-g003.jpg
https://cdn.ncbi.nlm.nih.gov/pmc/blobs/628e/12249077/870a0492c0f5/animals-15-01833-g004.jpg
https://cdn.ncbi.nlm.nih.gov/pmc/blobs/628e/12249077/f1379a3262c3/animals-15-01833-g005.jpg

相似文献

1
Machine Learning Approaches for the Prediction of Displaced Abomasum in Dairy Cows Using a Highly Imbalanced Dataset.使用高度不平衡数据集预测奶牛真胃移位的机器学习方法
Animals (Basel). 2025 Jun 20;15(13):1833. doi: 10.3390/ani15131833.
2
Comparison of Two Modern Survival Prediction Tools, SORG-MLA and METSSS, in Patients With Symptomatic Long-bone Metastases Who Underwent Local Treatment With Surgery Followed by Radiotherapy and With Radiotherapy Alone.两种现代生存预测工具 SORG-MLA 和 METSSS 在接受手术联合放疗和单纯放疗治疗有症状长骨转移患者中的比较。
Clin Orthop Relat Res. 2024 Dec 1;482(12):2193-2208. doi: 10.1097/CORR.0000000000003185. Epub 2024 Jul 23.
3
Are Current Survival Prediction Tools Useful When Treating Subsequent Skeletal-related Events From Bone Metastases?当前的生存预测工具在治疗骨转移后的骨骼相关事件时有用吗?
Clin Orthop Relat Res. 2024 Sep 1;482(9):1710-1721. doi: 10.1097/CORR.0000000000003030. Epub 2024 Mar 22.
4
Predicting dyscalcemia status in early-lactation multiparous Holstein cows using milk weight and constituent analysis from a single milking at 4 days in milk.利用产犊4天单次挤奶的牛奶重量和成分分析预测经产荷斯坦奶牛早期泌乳期的低钙血症状态
J Dairy Sci. 2025 Sep;108(9):10073-10083. doi: 10.3168/jds.2025-26373. Epub 2025 Jul 8.
5
Approaches for predicting dairy cattle methane emissions: from traditional methods to machine learning.预测奶牛甲烷排放的方法:从传统方法到机器学习。
J Anim Sci. 2024 Jan 3;102. doi: 10.1093/jas/skae219.
6
Artificial Intelligence-Based prediction model for surgical site infection in metastatic spinal disease: a multicenter development and validation study.基于人工智能的转移性脊柱疾病手术部位感染预测模型:一项多中心开发与验证研究。
Int J Surg. 2025 Jun 27. doi: 10.1097/JS9.0000000000002806.
7
Proposal for Using AI to Assess Clinical Data Integrity and Generate Metadata: Algorithm Development and Validation.关于使用人工智能评估临床数据完整性并生成元数据的提案:算法开发与验证
JMIR Med Inform. 2025 Jun 30;13:e60204. doi: 10.2196/60204.
8
Does the Presence of Missing Data Affect the Performance of the SORG Machine-learning Algorithm for Patients With Spinal Metastasis? Development of an Internet Application Algorithm.缺失数据的存在是否会影响 SORG 机器学习算法在脊柱转移瘤患者中的性能?开发一种互联网应用算法。
Clin Orthop Relat Res. 2024 Jan 1;482(1):143-157. doi: 10.1097/CORR.0000000000002706. Epub 2023 Jun 12.
9
Signs and symptoms to determine if a patient presenting in primary care or hospital outpatient settings has COVID-19.在基层医疗机构或医院门诊环境中,如果患者出现以下症状和体征,可判断其是否患有 COVID-19。
Cochrane Database Syst Rev. 2022 May 20;5(5):CD013665. doi: 10.1002/14651858.CD013665.pub3.
10
Developing a regression equation model to predict individual water intake in Holstein growing cattle using reticulorumen temperature.建立一个回归方程模型,利用瘤网胃温度预测荷斯坦生长牛的个体饮水量。
J Anim Sci. 2025 Jan 4;103. doi: 10.1093/jas/skaf124.

本文引用的文献

1
Machine learning approaches for the prediction of retained placenta in dairy cows.用于预测奶牛胎盘滞留的机器学习方法。
Theriogenology. 2025 Sep 15;244:117484. doi: 10.1016/j.theriogenology.2025.117484. Epub 2025 May 12.
2
Artificial neural networks to predict the presence of Neosporosis in cattle.用于预测牛新孢子虫病存在情况的人工神经网络
Math Biosci Eng. 2025 Apr 8;22(5):1140-1158. doi: 10.3934/mbe.2025041.
3
Machine Learning Approach for Early Lactation Mastitis Diagnosis Using Total and Differential Somatic Cell Counts.
使用总体细胞计数和差分体细胞计数的早期哺乳期乳腺炎诊断的机器学习方法
Animals (Basel). 2025 Apr 13;15(8):1125. doi: 10.3390/ani15081125.
4
Risk factors and population attributable fractions for displaced abomasum in Iranian dairy cattle: a retrospective analysis of field data.伊朗奶牛皱胃移位的风险因素和人群归因分数:基于现场数据的回顾性分析。
Trop Anim Health Prod. 2024 Sep 26;56(8):283. doi: 10.1007/s11250-024-04164-y.
5
Machine learning approaches for the prediction of lameness in dairy cows.用于预测奶牛跛行的机器学习方法。
Animal. 2021 Nov;15(11):100391. doi: 10.1016/j.animal.2021.100391. Epub 2021 Nov 17.
6
Identifying Health Status in Grazing Dairy Cows from Milk Mid-Infrared Spectroscopy by Using Machine Learning Methods.利用机器学习方法通过牛奶中红外光谱识别放牧奶牛的健康状况。
Animals (Basel). 2021 Jul 21;11(8):2154. doi: 10.3390/ani11082154.
7
Predicting Subclinical Ketosis in Dairy Cows Using Machine Learning Techniques.使用机器学习技术预测奶牛亚临床酮病
Animals (Basel). 2021 Jul 19;11(7):2131. doi: 10.3390/ani11072131.
8
The Importance of Low Daily Risk for the Prediction of Treatment Events of Individual Dairy Cows with Sensor Systems.利用传感器系统预测个体奶牛的治疗事件,低日风险的重要性。
Sensors (Basel). 2021 Feb 17;21(4):1389. doi: 10.3390/s21041389.
9
Potential hemo-biological identification markers to the left displaced abomasum in dairy cows.奶牛左侧腹腔移位的潜在血液生物学识别标志物。
BMC Vet Res. 2020 Dec 2;16(1):470. doi: 10.1186/s12917-020-02676-x.
10
Machine learning for suicidology: A practical review of exploratory and hypothesis-driven approaches.自杀学中的机器学习:探索性方法与假设驱动方法的实践综述
Clin Psychol Rev. 2020 Dec;82:101940. doi: 10.1016/j.cpr.2020.101940. Epub 2020 Oct 23.