• 文献检索
  • 文档翻译
  • 深度研究
  • 学术资讯
  • Suppr Zotero 插件Zotero 插件
  • 邀请有礼
  • 套餐&价格
  • 历史记录
应用&插件
Suppr Zotero 插件Zotero 插件浏览器插件Mac 客户端Windows 客户端微信小程序
定价
高级版会员购买积分包购买API积分包
服务
文献检索文档翻译深度研究API 文档MCP 服务
关于我们
关于 Suppr公司介绍联系我们用户协议隐私条款
关注我们

Suppr 超能文献

核心技术专利:CN118964589B侵权必究
粤ICP备2023148730 号-1Suppr @ 2026

文献检索

告别复杂PubMed语法,用中文像聊天一样搜索,搜遍4000万医学文献。AI智能推荐,让科研检索更轻松。

立即免费搜索

文件翻译

保留排版,准确专业,支持PDF/Word/PPT等文件格式,支持 12+语言互译。

免费翻译文档

深度研究

AI帮你快速写综述,25分钟生成高质量综述,智能提取关键信息,辅助科研写作。

立即免费体验

一期与二期胃切除术治疗穿孔性胃癌:系统评价与Meta分析

One-Stage Versus Two-Stage Gastrectomy for Perforated Gastric Cancer: Systematic Review and Meta-Analysis.

作者信息

Manara Michele, Aiolfi Alberto, Wang Quan, Bonitta Gianluca, Shabat Galyna, Biondi Antonio, Calì Matteo, Bona Davide, Bonavina Luigi

机构信息

I.R.C.C.S. Ospedale Galeazzi-Sant'Ambrogio, Division of General Surgery, Department of Biomedical Science for Health, University of Milan, 20122 Milan, Italy.

I.R.C.C.S. Policlinico San Donato, Division of General and Foregut Surgery, Department of Biomedical Sciences for Health, University of Milan, 20122 Milano, Italy.

出版信息

J Clin Med. 2025 Jun 29;14(13):4603. doi: 10.3390/jcm14134603.

DOI:10.3390/jcm14134603
PMID:40648977
原文链接:https://pmc.ncbi.nlm.nih.gov/articles/PMC12251252/
Abstract

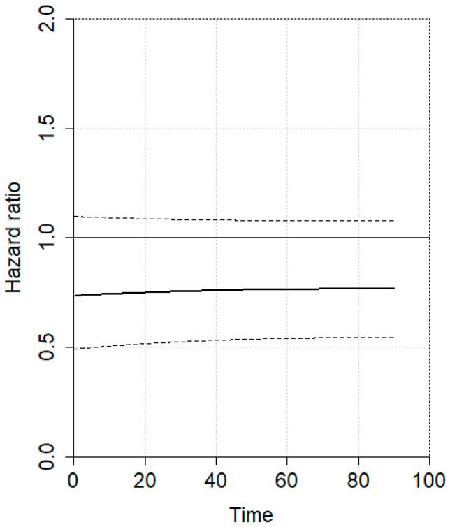
: The optimal surgical management of perforated gastric cancer (PGC) in emergency settings remains controversial. Urgent upfront one-stage gastrectomy (1SG) and two-stage gastrectomy (2SG) with damage-control surgery followed by elective gastrectomy have been proposed. The aim of the present systematic review is to compare short- and long-term outcomes between 1SG and 2SG in the treatment of PGC. : A systematic review and individual patient data (IPD) meta-analysis of studies reporting data of patients undergoing 1SG vs. 2SG for PGC was conducted. The time-dependent effects of surgical interventions were assessed using a likelihood ratio test. Hazard function plots were generated via marginal prediction. : Ten retrospective series (579 patients) were included. Overall, 482 patients (83%) underwent 1SG, while 97 patients (17%) were treated with 2SG. A trend toward better short-term oncological outcomes and safety profiles for 2SG compared to 1SG was observed. Long-term outcomes were comparable between 1SG and 2SG, and the IPD meta-analysis showed no statistically significant difference between the two approaches in terms of OS or hazard for mortality at all time points. A trend towards a higher hazard for mortality was observed for 1SG in the first 20 months postoperatively. : Our analysis suggests that 1SG and 2SG yield comparable short-term outcomes, although 2SG may be associated with a lower medium-term mortality risk. Further research is needed to identify key factors to improve clinical judgments and decision-making in PGC.

摘要

急诊情况下穿孔性胃癌(PGC)的最佳手术治疗方案仍存在争议。有人提出了紧急一期全胃切除术(1SG)和损伤控制手术加择期全胃切除术的二期全胃切除术(2SG)。本系统评价的目的是比较1SG与2SG治疗PGC的短期和长期疗效。:对报告PGC患者接受1SG与2SG治疗数据的研究进行了系统评价和个体患者数据(IPD)荟萃分析。使用似然比检验评估手术干预的时间依赖性效应。通过边际预测生成风险函数图。:纳入了10个回顾性系列研究(579例患者)。总体而言,482例患者(83%)接受了1SG,而97例患者(17%)接受了2SG治疗。观察到与1SG相比,2SG在短期肿瘤学疗效和安全性方面有更好的趋势。1SG和2SG的长期疗效相当,IPD荟萃分析显示,在总生存期(OS)或所有时间点的死亡风险方面,两种方法之间无统计学显著差异。术后前20个月,1SG的死亡风险有升高趋势。:我们的分析表明,1SG和2SG的短期疗效相当,尽管2SG可能与较低的中期死亡风险相关。需要进一步研究以确定改善PGC临床判断和决策的关键因素。

https://cdn.ncbi.nlm.nih.gov/pmc/blobs/dbd8/12251252/7d4b32573044/jcm-14-04603-g004.jpg
https://cdn.ncbi.nlm.nih.gov/pmc/blobs/dbd8/12251252/04c03e27d0ec/jcm-14-04603-g001.jpg
https://cdn.ncbi.nlm.nih.gov/pmc/blobs/dbd8/12251252/c8ddb6f522c5/jcm-14-04603-g002.jpg
https://cdn.ncbi.nlm.nih.gov/pmc/blobs/dbd8/12251252/2183badec3c3/jcm-14-04603-g003.jpg
https://cdn.ncbi.nlm.nih.gov/pmc/blobs/dbd8/12251252/7d4b32573044/jcm-14-04603-g004.jpg
https://cdn.ncbi.nlm.nih.gov/pmc/blobs/dbd8/12251252/04c03e27d0ec/jcm-14-04603-g001.jpg
https://cdn.ncbi.nlm.nih.gov/pmc/blobs/dbd8/12251252/c8ddb6f522c5/jcm-14-04603-g002.jpg
https://cdn.ncbi.nlm.nih.gov/pmc/blobs/dbd8/12251252/2183badec3c3/jcm-14-04603-g003.jpg
https://cdn.ncbi.nlm.nih.gov/pmc/blobs/dbd8/12251252/7d4b32573044/jcm-14-04603-g004.jpg

相似文献

1
One-Stage Versus Two-Stage Gastrectomy for Perforated Gastric Cancer: Systematic Review and Meta-Analysis.一期与二期胃切除术治疗穿孔性胃癌:系统评价与Meta分析
J Clin Med. 2025 Jun 29;14(13):4603. doi: 10.3390/jcm14134603.
2
Systemic pharmacological treatments for chronic plaque psoriasis: a network meta-analysis.慢性斑块状银屑病的全身药理学治疗:一项网状荟萃分析。
Cochrane Database Syst Rev. 2017 Dec 22;12(12):CD011535. doi: 10.1002/14651858.CD011535.pub2.
3
Systemic pharmacological treatments for chronic plaque psoriasis: a network meta-analysis.系统性药理学治疗慢性斑块状银屑病:网络荟萃分析。
Cochrane Database Syst Rev. 2021 Apr 19;4(4):CD011535. doi: 10.1002/14651858.CD011535.pub4.
4
Systemic pharmacological treatments for chronic plaque psoriasis: a network meta-analysis.慢性斑块状银屑病的全身药理学治疗:一项网状Meta分析。
Cochrane Database Syst Rev. 2020 Jan 9;1(1):CD011535. doi: 10.1002/14651858.CD011535.pub3.
5
Intravenous magnesium sulphate and sotalol for prevention of atrial fibrillation after coronary artery bypass surgery: a systematic review and economic evaluation.静脉注射硫酸镁和索他洛尔预防冠状动脉搭桥术后房颤:系统评价与经济学评估
Health Technol Assess. 2008 Jun;12(28):iii-iv, ix-95. doi: 10.3310/hta12280.
6
Two-Stage Gastrectomy Improves Outcomes in Perforated Gastric Cancer: A Single-Institution Retrospective Study.两阶段胃切除术改善穿孔性胃癌的预后:一项单机构回顾性研究
Cureus. 2025 May 28;17(5):e85002. doi: 10.7759/cureus.85002. eCollection 2025 May.
7
Drugs for preventing postoperative nausea and vomiting in adults after general anaesthesia: a network meta-analysis.成人全身麻醉后预防术后恶心呕吐的药物:网状Meta分析
Cochrane Database Syst Rev. 2020 Oct 19;10(10):CD012859. doi: 10.1002/14651858.CD012859.pub2.
8
Falls prevention interventions for community-dwelling older adults: systematic review and meta-analysis of benefits, harms, and patient values and preferences.社区居住的老年人跌倒预防干预措施:系统评价和荟萃分析的益处、危害以及患者的价值观和偏好。
Syst Rev. 2024 Nov 26;13(1):289. doi: 10.1186/s13643-024-02681-3.
9
Morphological, functional and neurological outcomes of craniectomy versus cranial vault remodeling for isolated nonsyndromic synostosis of the sagittal suture: a systematic review.颅骨切除术与颅骨重塑术治疗孤立性非综合征性矢状缝早闭的形态学、功能及神经学预后:一项系统评价
JBI Database System Rev Implement Rep. 2015 Sep;13(9):309-68. doi: 10.11124/jbisrir-2015-2470.
10
Optimisation of chemotherapy and radiotherapy for untreated Hodgkin lymphoma patients with respect to second malignant neoplasms, overall and progression-free survival: individual participant data analysis.未治疗的霍奇金淋巴瘤患者化疗和放疗在第二原发性恶性肿瘤、总生存期和无进展生存期方面的优化:个体参与者数据分析
Cochrane Database Syst Rev. 2017 Sep 13;9(9):CD008814. doi: 10.1002/14651858.CD008814.pub2.

本文引用的文献

1
Hyperthermic intraperitoneal chemotherapy (HIPEC) for gastric cancer with peritoneal metastasis - Joint analysis of European GASTRODATA and American national cancer database.热灌注化疗(HIPEC)治疗伴有腹膜转移的胃癌——欧洲GASTRODATA与美国国家癌症数据库的联合分析
Am J Surg. 2025 Apr;242:116235. doi: 10.1016/j.amjsurg.2025.116235. Epub 2025 Feb 8.
2
Effect of Minimally Invasive versus Open Distal Gastrectomy on Long-Term Survival in Patients with Gastric Cancer: Individual Patient Data Meta-analysis.微创与开放远端胃癌切除术对胃癌患者长期生存的影响:个体患者数据荟萃分析
Ann Surg Oncol. 2025 Mar;32(3):2161-2171. doi: 10.1245/s10434-024-16677-9. Epub 2024 Dec 15.
3
Short-Term Outcomes Analysis Comparing Open, Lap-Assisted, Totally Laparoscopic, and Robotic Total Gastrectomy for Gastric Cancer: A Network Meta-Analysis.
比较开放手术、腹腔镜辅助手术、全腹腔镜手术和机器人辅助全胃切除术治疗胃癌的短期结局分析:一项网状Meta分析
Cancers (Basel). 2024 Oct 6;16(19):3404. doi: 10.3390/cancers16193404.
4
Systemic Therapy of Gastric Cancer-State of the Art and Future Perspectives.胃癌的全身治疗——现状与未来展望
Cancers (Basel). 2024 Sep 29;16(19):3337. doi: 10.3390/cancers16193337.
5
Short-Term Outcomes Analysis Comparing Open, Laparoscopic, Laparoscopic-Assisted, and Robotic Distal Gastrectomy for Locally Advanced Gastric Cancer: A Randomized Trials Network Analysis.比较开放手术、腹腔镜手术、腹腔镜辅助手术和机器人辅助远端胃癌切除术治疗局部进展期胃癌的短期结果分析:一项随机试验网络分析
Cancers (Basel). 2024 Apr 23;16(9):1620. doi: 10.3390/cancers16091620.
6
Gastric perforation biopsy: is it obsolete?胃穿孔活检:它过时了吗?
Langenbecks Arch Surg. 2024 Apr 27;409(1):139. doi: 10.1007/s00423-024-03325-9.
7
Oligometastasis of Gastric Cancer: A Review.胃癌寡转移:综述
Cancers (Basel). 2024 Feb 5;16(3):673. doi: 10.3390/cancers16030673.
8
Long-Term Impact of D2 Lymphadenectomy during Gastrectomy for Cancer: Individual Patient Data Meta-Analysis and Restricted Mean Survival Time Estimation.胃癌胃切除术中D2淋巴结清扫术的长期影响:个体患者数据荟萃分析及受限平均生存时间估计
Cancers (Basel). 2024 Jan 19;16(2):424. doi: 10.3390/cancers16020424.
9
Short-and long-term outcomes of one-stage versus two-stage gastrectomy for perforated gastric cancer: a multicenter retrospective propensity score-matched study.一期与两期手术治疗穿孔性胃癌的短期和长期疗效:一项多中心回顾性倾向评分匹配研究。
World J Surg Oncol. 2024 Jan 3;22(1):7. doi: 10.1186/s12957-023-03283-4.
10
Gastric cancer treatment: recent progress and future perspectives.胃癌治疗:最新进展与未来展望。
J Hematol Oncol. 2023 May 27;16(1):57. doi: 10.1186/s13045-023-01451-3.