• 文献检索
  • 文档翻译
  • 深度研究
  • 学术资讯
  • Suppr Zotero 插件Zotero 插件
  • 邀请有礼
  • 套餐&价格
  • 历史记录
应用&插件
Suppr Zotero 插件Zotero 插件浏览器插件Mac 客户端Windows 客户端微信小程序
定价
高级版会员购买积分包购买API积分包
服务
文献检索文档翻译深度研究API 文档MCP 服务
关于我们
关于 Suppr公司介绍联系我们用户协议隐私条款
关注我们

Suppr 超能文献

核心技术专利:CN118964589B侵权必究
粤ICP备2023148730 号-1Suppr @ 2026

文献检索

告别复杂PubMed语法,用中文像聊天一样搜索,搜遍4000万医学文献。AI智能推荐,让科研检索更轻松。

立即免费搜索

文件翻译

保留排版,准确专业,支持PDF/Word/PPT等文件格式,支持 12+语言互译。

免费翻译文档

深度研究

AI帮你快速写综述,25分钟生成高质量综述,智能提取关键信息,辅助科研写作。

立即免费体验

通过研究不同先进材料作为背表面场层的作用来优化CZTS太阳能电池的光伏效率。

Optimizing photovoltaic efficiency in CZTS solar cells by investigating the role of different advanced materials as back surface field layer.

作者信息

Zeghdar Kamal, Mansouri Siham, Dehimi Lakhdar, Pezzimenti Fortunato, Abdellattif Magda H, Alhuthali Abdullah M S, Raorane Chaitany Jayprakash, Balachandran R, Hossain M Khalid

机构信息

Department of Electronics, Faculty of Electrical Engineering, University of Science and Technology Houari Boumediene, Algiers, 16111, Algeria.

Department of Electronics, Faculty of Technology, University Ferhat Abbas Setif 1, Setif, 19137, Algeria.

出版信息

Sci Rep. 2025 Jul 13;15(1):25294. doi: 10.1038/s41598-025-10958-3.

DOI:10.1038/s41598-025-10958-3
PMID:40653568
原文链接:https://pmc.ncbi.nlm.nih.gov/articles/PMC12256631/
Abstract

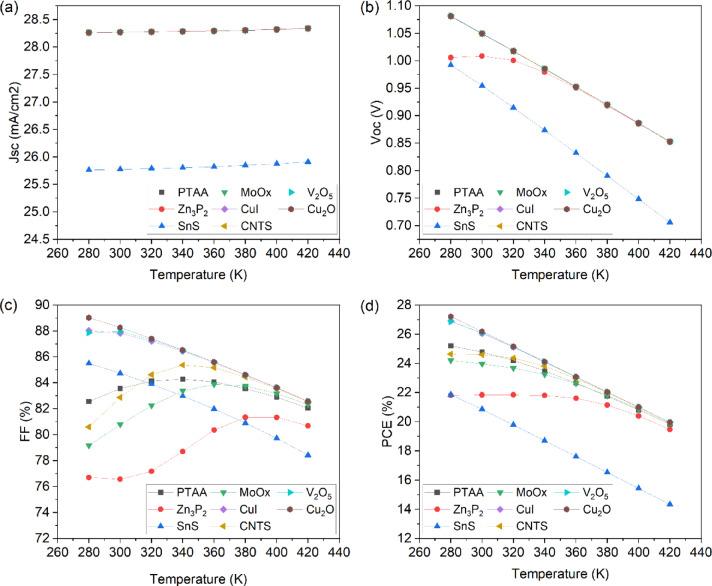
The fast development of renewable resources requires high-performance and low-cost photovoltaic technologies. CZTS-based solar cells are promising candidates because of the earth-abundant materials and tunable bandgap. However, the efficiencies of these cells are hindered by interfacial recombination. In this study, we numerically analyze the incorporation of back-surface field (BSF) layers to reduce the current losses enhancing the efficiency of a CZTS device. By using systematic SCAPS-1D simulations, we investigated eight different BSF materials (PTAA, ZnP, SnS, MoOx, CuI, CNTS, VO, and CuO) leading us to conclude CuO as the one with the highest efficiency, resulting in a record power conversion efficiency (PCE) of 26.19% (~ 110% enhancement with respect to the reference cell performing 12.82%). The precise CuO band alignment (CBO: 1.0 eV, VBO: -0.28 eV) is the origin of an effective suppression of carrier recombination while facilitating an effective hole extraction. Promising results in terms of PCE, which remains on the order of 20%, are also achieved for an increased operational temperature of the simulated devices up to 420 K. In addition, further analyses show that the use of VO and CuI as BSF exceeds the conventional design as well (PCE > 24%), when the defect densities are below 10¹⁴ cm and the shunt resistance is > 10⁴Ω·cm². Thus, these studies clearly illustrate whether purposeful BSF integration can surmount fundamental shortcomings of CZTS solar cells, providing a feasible route to viable commercial devices.

摘要

可再生资源的快速发展需要高性能、低成本的光伏技术。基于CZTS的太阳能电池因其材料储量丰富且带隙可调而成为有潜力的候选者。然而,这些电池的效率受到界面复合的阻碍。在本研究中,我们通过数值分析了背表面场(BSF)层的引入,以减少电流损失,提高CZTS器件的效率。通过系统的SCAPS-1D模拟,我们研究了八种不同的BSF材料(PTAA、ZnP、SnS、MoOx、CuI、CNTs、VO和CuO),得出CuO是效率最高的材料,其功率转换效率(PCE)达到创纪录的26.19%(相对于参考电池的12.82%提高了约110%)。精确的CuO能带对准(CBO:1.0 eV,VBO:-0.28 eV)是有效抑制载流子复合并促进有效空穴提取的根源。对于模拟器件在高达420 K的工作温度下,PCE仍保持在20%左右,也取得了有前景的结果。此外,进一步分析表明,当缺陷密度低于10¹⁴ cm⁻³且并联电阻大于10⁴Ω·cm²时,使用VO和CuI作为BSF也超过了传统设计(PCE>24%)。因此,这些研究清楚地说明了有目的的BSF集成是否能够克服CZTS太阳能电池的基本缺点,为可行的商业器件提供了一条可行的途径。

https://cdn.ncbi.nlm.nih.gov/pmc/blobs/56e8/12256631/2379105fd396/41598_2025_10958_Fig16_HTML.jpg
https://cdn.ncbi.nlm.nih.gov/pmc/blobs/56e8/12256631/4f73a1c5fd64/41598_2025_10958_Fig1_HTML.jpg
https://cdn.ncbi.nlm.nih.gov/pmc/blobs/56e8/12256631/88d170dfb6b4/41598_2025_10958_Fig2_HTML.jpg
https://cdn.ncbi.nlm.nih.gov/pmc/blobs/56e8/12256631/5600082daf19/41598_2025_10958_Fig3_HTML.jpg
https://cdn.ncbi.nlm.nih.gov/pmc/blobs/56e8/12256631/234133941347/41598_2025_10958_Fig4_HTML.jpg
https://cdn.ncbi.nlm.nih.gov/pmc/blobs/56e8/12256631/06fbce31a0ac/41598_2025_10958_Fig5_HTML.jpg
https://cdn.ncbi.nlm.nih.gov/pmc/blobs/56e8/12256631/760860b9844c/41598_2025_10958_Fig6_HTML.jpg
https://cdn.ncbi.nlm.nih.gov/pmc/blobs/56e8/12256631/edf36690f822/41598_2025_10958_Fig7_HTML.jpg
https://cdn.ncbi.nlm.nih.gov/pmc/blobs/56e8/12256631/da9cbb0acb42/41598_2025_10958_Fig8_HTML.jpg
https://cdn.ncbi.nlm.nih.gov/pmc/blobs/56e8/12256631/589477f2102e/41598_2025_10958_Fig9_HTML.jpg
https://cdn.ncbi.nlm.nih.gov/pmc/blobs/56e8/12256631/cf404e9fd30a/41598_2025_10958_Fig10_HTML.jpg
https://cdn.ncbi.nlm.nih.gov/pmc/blobs/56e8/12256631/fc4f789b483e/41598_2025_10958_Fig11_HTML.jpg
https://cdn.ncbi.nlm.nih.gov/pmc/blobs/56e8/12256631/13e92fbb0bc8/41598_2025_10958_Fig12_HTML.jpg
https://cdn.ncbi.nlm.nih.gov/pmc/blobs/56e8/12256631/fdb411fdbdc3/41598_2025_10958_Fig13_HTML.jpg
https://cdn.ncbi.nlm.nih.gov/pmc/blobs/56e8/12256631/aae265d3c6e4/41598_2025_10958_Fig14_HTML.jpg
https://cdn.ncbi.nlm.nih.gov/pmc/blobs/56e8/12256631/03228430d452/41598_2025_10958_Fig15_HTML.jpg
https://cdn.ncbi.nlm.nih.gov/pmc/blobs/56e8/12256631/2379105fd396/41598_2025_10958_Fig16_HTML.jpg
https://cdn.ncbi.nlm.nih.gov/pmc/blobs/56e8/12256631/4f73a1c5fd64/41598_2025_10958_Fig1_HTML.jpg
https://cdn.ncbi.nlm.nih.gov/pmc/blobs/56e8/12256631/88d170dfb6b4/41598_2025_10958_Fig2_HTML.jpg
https://cdn.ncbi.nlm.nih.gov/pmc/blobs/56e8/12256631/5600082daf19/41598_2025_10958_Fig3_HTML.jpg
https://cdn.ncbi.nlm.nih.gov/pmc/blobs/56e8/12256631/234133941347/41598_2025_10958_Fig4_HTML.jpg
https://cdn.ncbi.nlm.nih.gov/pmc/blobs/56e8/12256631/06fbce31a0ac/41598_2025_10958_Fig5_HTML.jpg
https://cdn.ncbi.nlm.nih.gov/pmc/blobs/56e8/12256631/760860b9844c/41598_2025_10958_Fig6_HTML.jpg
https://cdn.ncbi.nlm.nih.gov/pmc/blobs/56e8/12256631/edf36690f822/41598_2025_10958_Fig7_HTML.jpg
https://cdn.ncbi.nlm.nih.gov/pmc/blobs/56e8/12256631/da9cbb0acb42/41598_2025_10958_Fig8_HTML.jpg
https://cdn.ncbi.nlm.nih.gov/pmc/blobs/56e8/12256631/589477f2102e/41598_2025_10958_Fig9_HTML.jpg
https://cdn.ncbi.nlm.nih.gov/pmc/blobs/56e8/12256631/cf404e9fd30a/41598_2025_10958_Fig10_HTML.jpg
https://cdn.ncbi.nlm.nih.gov/pmc/blobs/56e8/12256631/fc4f789b483e/41598_2025_10958_Fig11_HTML.jpg
https://cdn.ncbi.nlm.nih.gov/pmc/blobs/56e8/12256631/13e92fbb0bc8/41598_2025_10958_Fig12_HTML.jpg
https://cdn.ncbi.nlm.nih.gov/pmc/blobs/56e8/12256631/fdb411fdbdc3/41598_2025_10958_Fig13_HTML.jpg
https://cdn.ncbi.nlm.nih.gov/pmc/blobs/56e8/12256631/aae265d3c6e4/41598_2025_10958_Fig14_HTML.jpg
https://cdn.ncbi.nlm.nih.gov/pmc/blobs/56e8/12256631/03228430d452/41598_2025_10958_Fig15_HTML.jpg
https://cdn.ncbi.nlm.nih.gov/pmc/blobs/56e8/12256631/2379105fd396/41598_2025_10958_Fig16_HTML.jpg

相似文献

1
Optimizing photovoltaic efficiency in CZTS solar cells by investigating the role of different advanced materials as back surface field layer.通过研究不同先进材料作为背表面场层的作用来优化CZTS太阳能电池的光伏效率。
Sci Rep. 2025 Jul 13;15(1):25294. doi: 10.1038/s41598-025-10958-3.
2
Efficiency improvement of graphene/AlGaAs/GaAs Schottky junction solar cells by minimizing optical losses through front and rear surface texturing.通过对石墨烯/铝镓砷/砷化镓肖特基结太阳能电池的前后表面进行纹理化处理以最小化光学损耗来提高其效率。
Sci Rep. 2025 Jul 1;15(1):21520. doi: 10.1038/s41598-025-07080-9.
3
The Black Book of Psychotropic Dosing and Monitoring.《精神药物剂量与监测黑皮书》
Psychopharmacol Bull. 2024 Jul 8;54(3):8-59.
4
Sexual Harassment and Prevention Training性骚扰与预防培训
5
Diagnostic test accuracy and cost-effectiveness of tests for codeletion of chromosomal arms 1p and 19q in people with glioma.染色体臂 1p 和 19q 缺失的检测在胶质瘤患者中的诊断准确性和成本效益。
Cochrane Database Syst Rev. 2022 Mar 2;3(3):CD013387. doi: 10.1002/14651858.CD013387.pub2.
6
Automated devices for identifying peripheral arterial disease in people with leg ulceration: an evidence synthesis and cost-effectiveness analysis.用于识别下肢溃疡患者外周动脉疾病的自动化设备:证据综合和成本效益分析。
Health Technol Assess. 2024 Aug;28(37):1-158. doi: 10.3310/TWCG3912.
7
Smoking cessation medicines and e-cigarettes: a systematic review, network meta-analysis and cost-effectiveness analysis.戒烟药物和电子烟:系统评价、网络荟萃分析和成本效益分析。
Health Technol Assess. 2021 Oct;25(59):1-224. doi: 10.3310/hta25590.
8
Comparison of the effectiveness of inhaler devices in asthma and chronic obstructive airways disease: a systematic review of the literature.吸入装置在哮喘和慢性阻塞性气道疾病中的有效性比较:文献系统评价
Health Technol Assess. 2001;5(26):1-149. doi: 10.3310/hta5260.
9
Signs and symptoms to determine if a patient presenting in primary care or hospital outpatient settings has COVID-19.在基层医疗机构或医院门诊环境中,如果患者出现以下症状和体征,可判断其是否患有 COVID-19。
Cochrane Database Syst Rev. 2022 May 20;5(5):CD013665. doi: 10.1002/14651858.CD013665.pub3.
10
Systemic pharmacological treatments for chronic plaque psoriasis: a network meta-analysis.慢性斑块状银屑病的全身药理学治疗:一项网状Meta分析。
Cochrane Database Syst Rev. 2020 Jan 9;1(1):CD011535. doi: 10.1002/14651858.CD011535.pub3.

本文引用的文献

1
Design and simulation of CsPb.Zn.IBr-based perovskite solar cells with different charge transport layers for efficiency enhancement.基于不同电荷传输层的CsPb.Zn.IBr基钙钛矿太阳能电池的设计与模拟以提高效率
Sci Rep. 2024 Dec 3;14(1):30142. doi: 10.1038/s41598-024-81797-x.
2
Flexible silicon solar cells with high power-to-weight ratios.高功率重量比的柔性硅太阳能电池。
Nature. 2024 Feb;626(7997):105-110. doi: 10.1038/s41586-023-06948-y. Epub 2024 Jan 31.
3
SCAPS study on the effect of various hole transport layer on highly efficient 31.86% eco-friendly CZTS based solar cell.
SCAPS关于各种空穴传输层对基于环保型CZTS的高效31.86%太阳能电池影响的研究。
Sci Rep. 2023 Oct 27;13(1):18411. doi: 10.1038/s41598-023-44845-6.
4
Modulation of Field-Effect Passivation at the Back Electrode Interface Enabling Efficient Kesterite-Type CuZnSn(S,Se) Thin-Film Solar Cells.通过调制背电极界面处的场效应钝化实现高效的锌黄锡矿型 CuZnSn(S,Se) 薄膜太阳能电池。
ACS Appl Mater Interfaces. 2020 Aug 26;12(34):38163-38174. doi: 10.1021/acsami.0c10561. Epub 2020 Aug 12.
5
Classification of lattice defects in the kesterite Cu2ZnSnS4 and Cu2ZnSnSe4 earth-abundant solar cell absorbers.纤锌矿型 Cu2ZnSnS4 和 Cu2ZnSnSe4 环保型太阳能电池吸收体中晶格缺陷的分类。
Adv Mater. 2013 Mar 20;25(11):1522-39. doi: 10.1002/adma.201203146. Epub 2013 Feb 11.
6
Thermodynamic aspects of the synthesis of thin-film materials for solar cells.用于太阳能电池的薄膜材料合成的热力学方面。
Chemphyschem. 2012 Aug 27;13(12):3035-46. doi: 10.1002/cphc.201200067. Epub 2012 Apr 24.