Suppr超能文献

为何肌肉强化锻炼应针对膝骨关节炎患者的股四头肌和臀大肌?:基于人工智能辅助横断面分析的膝痛对肌肉体积和脂肪变性的影响

Why muscle strengthening exercises should target the quadriceps and gluteus maximus in patients with knee osteoarthritis?: Effects of knee pain on muscle volume and fatty degeneration based on AI-assisted cross-sectional analysis.

作者信息

Lee Do Kyung, Kim Hyeon Su, Ko Kyung Rae, Yoon Jong Pil, Yoo Jun-Il

机构信息

Department of Orthopedic Surgery, Samsung Changwon Hospital, Sungkyunkwan University School of Medicine, Changwon, South Korea.

Department of Orthopedic Surgery, Inha University College of Medicine, Incheon, South Korea.

出版信息

J Orthop Translat. 2025 Jun 28;53:221-230. doi: 10.1016/j.jot.2025.06.013. eCollection 2025 Jul.

Abstract

BACKGROUND

Sarcopenia, characterized by age-related muscle loss, traditionally presents as systemic muscle atrophy. However, knee osteoarthritis (OA) patients often exhibit localized quadriceps muscle atrophy, suggesting a potential pain-related mechanism distinct from classical sarcopenia. This study aimed to investigate the relationship between knee OA pain and selective muscle atrophy, particularly focusing on its role as a potential aggravating factor for sarcopenia.

METHODS

Eighty-nine patients scheduled for unilateral primary total knee arthroplasty were analyzed. Preoperative computed tomography was used to compare muscle volume and intramuscular adipose tissue (IMAT) proportion between the more painful limb (Group 1) and the contralateral, less painful limb (Group 2). Analysis included both compartmental evaluation (anterior, medial, and posterior thigh compartments; hip abductors and external rotators) and individual muscle assessment.

RESULTS

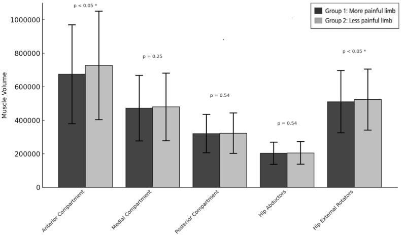
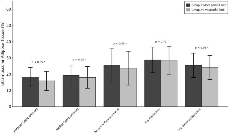
Group 1 demonstrated significant volume reduction in the anterior thigh compartment (specifically vastus lateralis, intermedius, and medialis) and gluteus maximus, compared to Group 2 ( < 0.05). IMAT proportion was significantly higher in most muscles of Group 1, except for hip abductors, tensor fascia latae, and gluteus minimus (p < 0.05), suggesting widespread fatty degeneration despite selective volume loss.

CONCLUSION

Knee osteoarthritis-related pain induces selective atrophy in the anterior thigh compartment and gluteus maximus while promoting diffuse fatty infiltration throughout the lower extremity. These findings suggest that OA-associated pain may exacerbate sarcopenia by driving both region-specific muscle loss and widespread intramuscular adipose degeneration.

THE TRANSLATIONAL POTENTIAL OF THIS ARTICLE

These findings underscore the importance of pain control as a primary therapeutic goal in patients with knee osteoarthritis. They also highlight the clinical necessity of targeted strengthening of the quadriceps and gluteus maximus muscles, given the role of knee pain in inducing secondary, selective muscle atrophy. Furthermore, symptoms commonly observed in elderly patients with OA-such as limping, giving way, lower extremity weakness, and patellofemoral knee pain-may not be attributable solely to the aging process. Rather, they may reflect secondary muscular adaptations driven by chronic pain during the progression of osteoarthritis (Figure 1).

摘要

背景

肌肉减少症的特征是与年龄相关的肌肉流失,传统上表现为全身性肌肉萎缩。然而,膝骨关节炎(OA)患者常表现出股四头肌局部萎缩,提示存在一种与经典肌肉减少症不同的潜在疼痛相关机制。本研究旨在探讨膝骨关节炎疼痛与选择性肌肉萎缩之间的关系,尤其关注其作为肌肉减少症潜在加重因素的作用。

方法

对89例计划进行单侧初次全膝关节置换术的患者进行分析。术前使用计算机断层扫描比较疼痛较重肢体(第1组)和对侧疼痛较轻肢体(第2组)之间的肌肉体积和肌内脂肪组织(IMAT)比例。分析包括分区评估(大腿前、内侧和后区;髋外展肌和外旋肌)和个体肌肉评估。

结果

与第2组相比,第1组大腿前区(特别是股外侧肌、股中间肌和股内侧肌)和臀大肌的体积显著减小(<0.05)。除髋外展肌、阔筋膜张肌和臀小肌外,第1组大多数肌肉的IMAT比例显著更高(p<0.05),提示尽管有选择性的体积减少,但仍存在广泛的脂肪变性。

结论

膝骨关节炎相关疼痛可导致大腿前区和臀大肌选择性萎缩,同时促进下肢弥漫性脂肪浸润。这些发现表明,OA相关疼痛可能通过导致特定区域的肌肉流失和广泛的肌内脂肪变性而加重肌肉减少症。

本文的转化潜力

这些发现强调了疼痛控制作为膝骨关节炎患者主要治疗目标的重要性。它们还突出了针对性加强股四头肌和臀大肌的临床必要性,因为膝痛在诱发继发性、选择性肌肉萎缩中起作用。此外,老年OA患者常见的症状,如跛行、打软腿、下肢无力和髌股关节疼痛,可能不仅仅归因于衰老过程。相反,它们可能反映了骨关节炎进展过程中慢性疼痛驱动的继发性肌肉适应(图1)。

https://cdn.ncbi.nlm.nih.gov/pmc/blobs/f485/12269464/06a844fe2eb0/ga1.jpg

文献检索

告别复杂PubMed语法,用中文像聊天一样搜索,搜遍4000万医学文献。AI智能推荐,让科研检索更轻松。

立即免费搜索

文件翻译

保留排版,准确专业,支持PDF/Word/PPT等文件格式,支持 12+语言互译。

免费翻译文档

深度研究

AI帮你快速写综述,25分钟生成高质量综述,智能提取关键信息,辅助科研写作。

立即免费体验