Suppr超能文献

从氧化PrNiAlO到还原PrNiAlO钙钛矿镍酸盐:多晶块状形式中具有单价镍的无限层样品的稳定化。

From Oxidized PrNiAlO to Reduced PrNiAlO Perovskite Nickelates: Stabilization of Infinite-Layer Specimens with Monovalent Ni in the Bulk Polycrystalline Form.

作者信息

Gainza Javier, López Carlos A, Silva Romualdo S, Rodrigues João Elias F S, Serrano-Sánchez Federico, Skorynina Alina, Nemes Norbert M, Fernández-Díaz María T, Martínez José Luis, Alonso José Antonio

机构信息

Instituto de Ciencia de Materiales de Madrid, CSIC, Cantoblanco, 28049 Madrid, Spain.

European Synchrotron Radiation Facility (ESRF), 71 Avenue des Martyrs, 38000 Grenoble, France.

出版信息

Inorg Chem. 2025 Aug 4;64(30):15620-15631. doi: 10.1021/acs.inorgchem.5c02051. Epub 2025 Jul 22.

Abstract

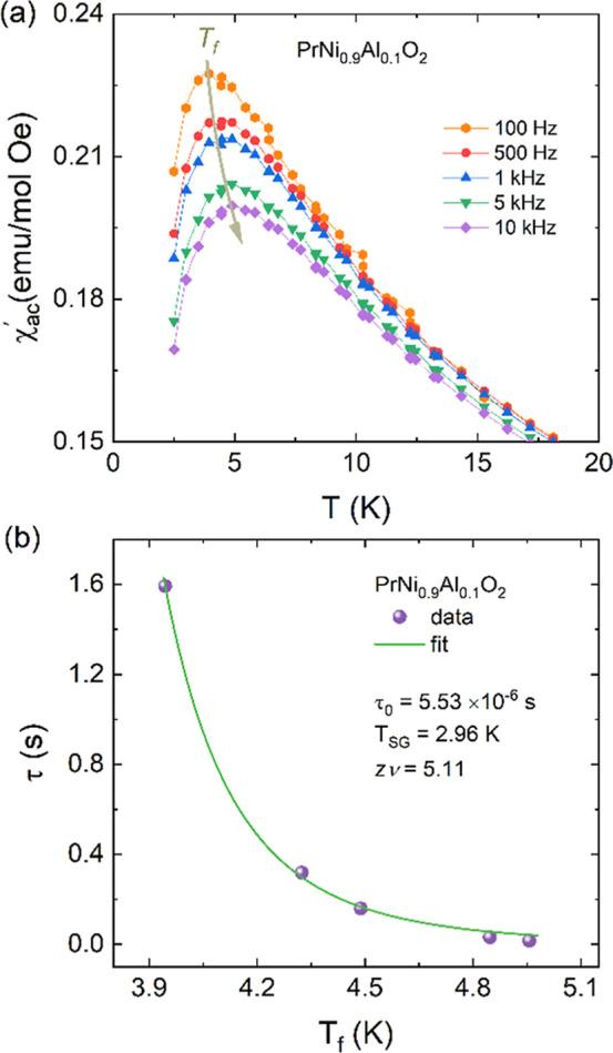
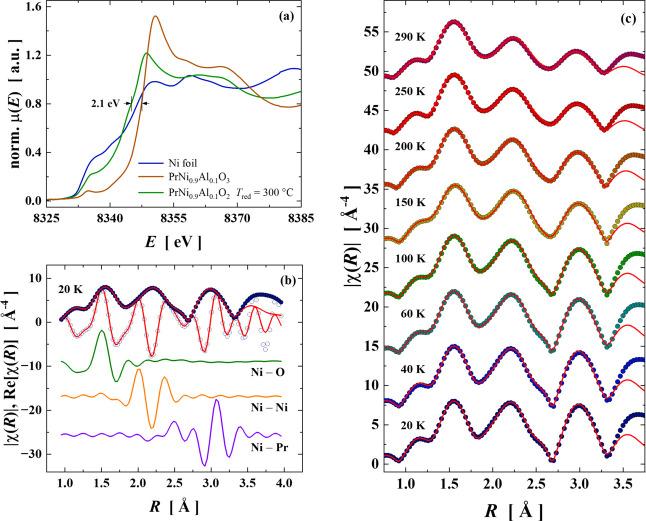
Recently, a new class of high-temperature superconductors, NiO (where represents rare-earth elements) with infinite-layer (IL) structure, has been identified. They possess the same structural framework as the renowned high- cuprates but with nickel replacing copper as the central element. In this study, we successfully synthesized infinite-layer samples of PrNiAlO in the bulk polycrystalline form through topotactic reduction of the PrNiAlO orthorhombic perovskite, via treatment with CaH. The incorporation of aluminum at the octahedral sites promotes the stabilization of bulk derivatives of the infinite-layer structure since unreduced [AlO] octahedra keep the layers together and prevent their decomposition. The lack of superconductivity in bulk samples has been a subject of intense debate in recent literature. One major theoretical question concerns whether hydrogen becomes incorporated into the structure during the reduction from RNiO to RNiO─as suggested by theory. Here, we present neutron powder diffraction data demonstrating that hydride ions indeed reside within the IL lattice in samples of stoichiometry PrNiAlOH. Additional crystallographic analyses were carried out using temperature-dependent synchrotron X-ray diffraction on both reduced and oxidized phases. Furthermore, spectroscopic analysis via XAS and magnetometry confirms the reduction of Ni to the Ni oxidation state, aligning with the crystallochemical evidence.

摘要

最近,一类新的高温超导体,具有无限层(IL)结构的NiO(其中 代表稀土元素)已被发现。它们拥有与著名的高铜酸盐相同的结构框架,但以镍取代铜作为中心元素。在本研究中,我们通过用CaH处理,对PrNiAlO正交钙钛矿进行拓扑还原,成功合成了块状多晶形式的PrNiAlO无限层样品。在八面体位置引入铝促进了无限层结构块状衍生物的稳定,因为未还原的[AlO]八面体将各层保持在一起并防止其分解。块状样品中缺乏超导性是最近文献中激烈争论的主题。一个主要的理论问题是,在从RNiO还原为RNiO的过程中,氢是否如理论所暗示的那样掺入到结构中。在此,我们展示了中子粉末衍射数据,证明在化学计量比为PrNiAlOH的样品中,氢化物离子确实存在于IL晶格内。对还原相和氧化相都使用了随温度变化的同步加速器X射线衍射进行了额外的晶体学分析。此外,通过XAS和磁力测定法的光谱分析证实了Ni还原为Ni氧化态,这与晶体化学证据一致。

https://cdn.ncbi.nlm.nih.gov/pmc/blobs/4bdd/12326351/883835d336d4/ic5c02051_0001.jpg

文献检索

告别复杂PubMed语法,用中文像聊天一样搜索,搜遍4000万医学文献。AI智能推荐,让科研检索更轻松。

立即免费搜索

文件翻译

保留排版,准确专业,支持PDF/Word/PPT等文件格式,支持 12+语言互译。

免费翻译文档

深度研究

AI帮你快速写综述,25分钟生成高质量综述,智能提取关键信息,辅助科研写作。

立即免费体验