• 文献检索
  • 文档翻译
  • 深度研究
  • 学术资讯
  • Suppr Zotero 插件Zotero 插件
  • 邀请有礼
  • 套餐&价格
  • 历史记录
应用&插件
Suppr Zotero 插件Zotero 插件浏览器插件Mac 客户端Windows 客户端微信小程序
定价
高级版会员购买积分包购买API积分包
服务
文献检索文档翻译深度研究API 文档MCP 服务
关于我们
关于 Suppr公司介绍联系我们用户协议隐私条款
关注我们

Suppr 超能文献

核心技术专利:CN118964589B侵权必究
粤ICP备2023148730 号-1Suppr @ 2026

文献检索

告别复杂PubMed语法,用中文像聊天一样搜索,搜遍4000万医学文献。AI智能推荐,让科研检索更轻松。

立即免费搜索

文件翻译

保留排版,准确专业,支持PDF/Word/PPT等文件格式,支持 12+语言互译。

免费翻译文档

深度研究

AI帮你快速写综述,25分钟生成高质量综述,智能提取关键信息,辅助科研写作。

立即免费体验

比较有和没有感觉统合功能障碍的幼儿之间的粗大运动表现、身体素质。

Comparing gross motor performance, physical fitness between young children with and without sensory integration dysfunction.

作者信息

Zhou Zhexiao, Zhou Ying, Shen Hang

机构信息

Faculty of Sports Science, Ningbo University, Ningbo, China.

Research Academy of Grand Health, Ningbo University, Ningbo, China.

出版信息

J Exerc Sci Fit. 2025 Oct;23(4):313-324. doi: 10.1016/j.jesf.2025.06.005. Epub 2025 Jun 18.

DOI:10.1016/j.jesf.2025.06.005
PMID:40697672
原文链接:https://pmc.ncbi.nlm.nih.gov/articles/PMC12282256/
Abstract

OBJECTIVES

The aim of the present study was to investigate whether children with sensory integration dysfunction (SID) exhibit delays in gross motor performance and physical fitness compared to those with typical sensory integration development (TSID). Further, the developmental characteristics related to gross motor performance and physical fitness were examined in children with SID, taking into account differences in the severity of dysfunction (mild versus severe) and gender.

METHODS

A total of 273 children were randomly recruited, including 115 children with SID, comprising 85 with mild SID (MSID) and 30 with severe SID (SSID). All participants underwent assessments of gross motor skills and physical fitness using the "TGMD-2″ and the "NPFMM" protocols. The covariance method was employed to analyze differences in gross motor skills and physical fitness among children with SSID, MSID, and TSID, as well as gender-based differences between children with SID and those with TSID.

RESULTS

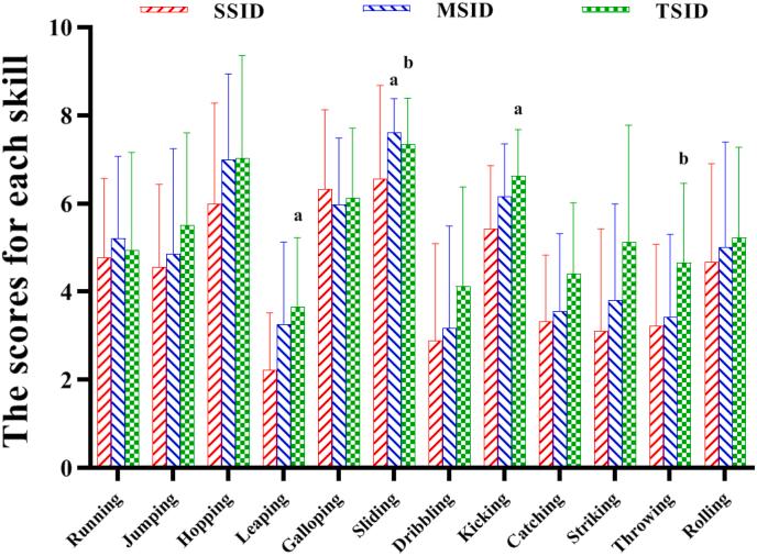
(1) Children with SID demonstrated significantly lower gross motor performance compared to their TSID peers ( < 0.05). Notable deficits were observed in tasks such as jumping, kicking, striking, and in the object control composite and total gross motor scores. Among boys, those with SID showed significantly reduced performance in gross motor tasks including jumping, galloping, and sliding, along with lower locomotor composite and total gross motor scores relative to TSID boys. Girls with SID exhibited significant impairments in leaping, sliding, kicking, and throwing, with correspondingly lower object control composite scores compared to TSID girls. Additionally, girls with SSID demonstrated a significantly lower sliding score than those with MSID. (2) With respect to physical fitness, children with SID performed significantly worse than TSID children in measures of agility, speed, and balance ( < 0.05). Specifically, boys with SID showed significant deficiencies in agility compared to boys with TSID, while girls with SID displayed notable shortcomings in speed compared to girls with TSID. In addition, children with MSID exhibited significantly better overall agility compared to those with SSID, and girls with MSID demonstrated superior performance in speed relative to their SSID counterparts.

CONCLUSIONS

The overall development of gross motor skills and physical fitness in children with SID was observed to be comparatively delayed relative to children with TSID. Gender-specific developmental differences were identified among children with SID. Specifically, boys with SID exhibited pronounced delays in locomotor skills and agility, whereas girls with SID primarily demonstrated deficiencies in object control skills and speed. Furthermore, although children with SSID showed poorer performance in gross motor skills and physical fitness compared to those with MSID, the differences across varying degrees of dysfunction were not statistically significant overall.

https://cdn.ncbi.nlm.nih.gov/pmc/blobs/8dee/12282256/9b13664318ad/gr9.jpg
https://cdn.ncbi.nlm.nih.gov/pmc/blobs/8dee/12282256/ea6814d21941/gr1.jpg
https://cdn.ncbi.nlm.nih.gov/pmc/blobs/8dee/12282256/b1bbe792fa2b/gr2.jpg
https://cdn.ncbi.nlm.nih.gov/pmc/blobs/8dee/12282256/8f06fab44568/gr3.jpg
https://cdn.ncbi.nlm.nih.gov/pmc/blobs/8dee/12282256/afb5850ac2f8/gr4.jpg
https://cdn.ncbi.nlm.nih.gov/pmc/blobs/8dee/12282256/3e4851e029c9/gr5.jpg
https://cdn.ncbi.nlm.nih.gov/pmc/blobs/8dee/12282256/0b00a9666700/gr6.jpg
https://cdn.ncbi.nlm.nih.gov/pmc/blobs/8dee/12282256/baacb992950a/gr7.jpg
https://cdn.ncbi.nlm.nih.gov/pmc/blobs/8dee/12282256/39f62229cd73/gr8.jpg
https://cdn.ncbi.nlm.nih.gov/pmc/blobs/8dee/12282256/9b13664318ad/gr9.jpg
https://cdn.ncbi.nlm.nih.gov/pmc/blobs/8dee/12282256/ea6814d21941/gr1.jpg
https://cdn.ncbi.nlm.nih.gov/pmc/blobs/8dee/12282256/b1bbe792fa2b/gr2.jpg
https://cdn.ncbi.nlm.nih.gov/pmc/blobs/8dee/12282256/8f06fab44568/gr3.jpg
https://cdn.ncbi.nlm.nih.gov/pmc/blobs/8dee/12282256/afb5850ac2f8/gr4.jpg
https://cdn.ncbi.nlm.nih.gov/pmc/blobs/8dee/12282256/3e4851e029c9/gr5.jpg
https://cdn.ncbi.nlm.nih.gov/pmc/blobs/8dee/12282256/0b00a9666700/gr6.jpg
https://cdn.ncbi.nlm.nih.gov/pmc/blobs/8dee/12282256/baacb992950a/gr7.jpg
https://cdn.ncbi.nlm.nih.gov/pmc/blobs/8dee/12282256/39f62229cd73/gr8.jpg
https://cdn.ncbi.nlm.nih.gov/pmc/blobs/8dee/12282256/9b13664318ad/gr9.jpg
摘要

目的

本研究旨在调查与典型感觉统合发育(TSID)的儿童相比,感觉统合功能障碍(SID)儿童在大肌肉运动表现和身体素质方面是否存在延迟。此外,考虑到功能障碍严重程度(轻度与重度)和性别的差异,对SID儿童中与大肌肉运动表现和身体素质相关的发育特征进行了研究。

方法

共随机招募273名儿童,其中115名SID儿童,包括85名轻度SID(MSID)儿童和30名重度SID(SSID)儿童。所有参与者均使用“TGMD-2”和“NPFMM”方案进行大肌肉运动技能和身体素质评估。采用协方差方法分析SSID、MSID和TSID儿童在大肌肉运动技能和身体素质方面的差异,以及SID儿童与TSID儿童之间基于性别的差异。

结果

(1)与TSID同龄人相比,SID儿童的大肌肉运动表现显著更低(<0.05)。在跳跃、踢、击打等任务以及物体控制综合得分和总大肌肉运动得分方面观察到明显缺陷。在男孩中,SID男孩在包括跳跃、奔跑和滑动在内的大肌肉运动任务中的表现显著降低,与TSID男孩相比,其运动综合得分和总大肌肉运动得分也更低。SID女孩在跳跃、滑动、踢和投掷方面表现出明显损伤,与TSID女孩相比,其物体控制综合得分相应更低。此外,SSID女孩的滑动得分显著低于MSID女孩。(2)在身体素质方面,SID儿童在敏捷性、速度和平衡测量方面的表现明显比TSID儿童差(<0.05)。具体而言,与TSID男孩相比,SID男孩在敏捷性方面存在显著缺陷,而与TSID女孩相比,SID女孩在速度方面表现出明显不足。此外,MSID儿童的整体敏捷性明显优于SSID儿童,MSID女孩在速度方面的表现优于SSID女孩。

结论

观察到SID儿童的大肌肉运动技能和身体素质的整体发育相对于TSID儿童相对延迟。在SID儿童中发现了性别特异性的发育差异。具体而言,SID男孩在运动技能和敏捷性方面表现出明显延迟,而SID女孩主要在物体控制技能和速度方面存在缺陷。此外,尽管SSID儿童在大肌肉运动技能和身体素质方面的表现比MSID儿童差,但不同程度功能障碍之间的差异总体上无统计学意义。

相似文献

1
Comparing gross motor performance, physical fitness between young children with and without sensory integration dysfunction.比较有和没有感觉统合功能障碍的幼儿之间的粗大运动表现、身体素质。
J Exerc Sci Fit. 2025 Oct;23(4):313-324. doi: 10.1016/j.jesf.2025.06.005. Epub 2025 Jun 18.
2
Does Augmenting Irradiated Autografts With Free Vascularized Fibula Graft in Patients With Bone Loss From a Malignant Tumor Achieve Union, Function, and Complication Rate Comparably to Patients Without Bone Loss and Augmentation When Reconstructing Intercalary Resections in the Lower Extremity?对于因恶性肿瘤导致骨缺损的患者,在重建下肢节段性切除时,采用带血管游离腓骨移植来增强照射后的自体骨移植,其骨愈合、功能及并发症发生率与无骨缺损且未进行增强的患者相比是否相当?
Clin Orthop Relat Res. 2025 Jun 26. doi: 10.1097/CORR.0000000000003599.
3
Physical exercise training interventions for children and young adults during and after treatment for childhood cancer.针对儿童癌症治疗期间及治疗后的儿童和青少年的体育锻炼训练干预措施。
Cochrane Database Syst Rev. 2013 Apr 30(4):CD008796. doi: 10.1002/14651858.CD008796.pub2.
4
Sertindole for schizophrenia.用于治疗精神分裂症的舍吲哚。
Cochrane Database Syst Rev. 2005 Jul 20;2005(3):CD001715. doi: 10.1002/14651858.CD001715.pub2.
5
Physical exercise training interventions for children and young adults during and after treatment for childhood cancer.针对儿童癌症治疗期间及治疗后的儿童和青少年的体育锻炼训练干预措施。
Cochrane Database Syst Rev. 2016 Mar 31;3(3):CD008796. doi: 10.1002/14651858.CD008796.pub3.
6
Cognitive, language and motor developmental patterns of extremely preterm children up to 2 years of age: a descriptive approach.2岁以内极早产儿的认知、语言和运动发育模式:一种描述性方法。
Front Psychol. 2025 Jul 2;16:1599390. doi: 10.3389/fpsyg.2025.1599390. eCollection 2025.
7
Non-speech oral motor treatment for children with developmental speech sound disorders.针对发育性语音障碍儿童的非言语口腔运动治疗。
Cochrane Database Syst Rev. 2015 Mar 25;2015(3):CD009383. doi: 10.1002/14651858.CD009383.pub2.
8
Psychological and/or educational interventions for the prevention of depression in children and adolescents.预防儿童和青少年抑郁症的心理和/或教育干预措施。
Cochrane Database Syst Rev. 2004(1):CD003380. doi: 10.1002/14651858.CD003380.pub2.
9
Treadmill interventions with partial body weight support in children under six years of age at risk of neuromotor delay.对有神经运动发育迟缓风险的六岁以下儿童进行的带有部分体重支持的跑步机干预。
Cochrane Database Syst Rev. 2011 Dec 7(12):CD009242. doi: 10.1002/14651858.CD009242.pub2.
10
Adefovir dipivoxil and pegylated interferon alfa-2a for the treatment of chronic hepatitis B: a systematic review and economic evaluation.阿德福韦酯与聚乙二醇化干扰素α-2a治疗慢性乙型肝炎:系统评价与经济学评估
Health Technol Assess. 2006 Aug;10(28):iii-iv, xi-xiv, 1-183. doi: 10.3310/hta10280.

本文引用的文献

1
Light touch alters vestibular-evoked balance responses: insights into dynamics of sensorimotor reweighting.轻触可改变前庭诱发的平衡反应:对感觉运动重新加权动态变化的见解。
J Neurophysiol. 2025 Jan 1;133(1):142-161. doi: 10.1152/jn.00166.2024. Epub 2024 Dec 3.
2
Relationship between sensory processing skills and motor skills in 12-month-old infants.12 个月大婴儿的感觉处理技能与运动技能之间的关系。
Brain Behav. 2024 Sep;14(9):e70052. doi: 10.1002/brb3.70052.
3
Evaluation of physical fitness and health of young children aged between 3 and 6 based on cluster and factor analyses.
基于聚类和因子分析评估 3 至 6 岁幼儿的身体素质和健康状况。
BMC Public Health. 2024 Feb 9;24(1):420. doi: 10.1186/s12889-024-17660-5.
4
Effects of crawling exercises at home on improving young children's behavioral performance during the COVID-19 outbreak.居家爬行运动对改善 COVID-19 疫情期间幼儿行为表现的影响。
J Pediatr Nurs. 2023 Nov-Dec;73:e311-e318. doi: 10.1016/j.pedn.2023.09.027. Epub 2023 Oct 6.
5
Spatial orientation, postural control and the vestibular system in healthy elderly and Alzheimer's dementia.健康老年人和阿尔茨海默病患者的空间定位、姿势控制和前庭系统。
PeerJ. 2023 May 2;11:e15040. doi: 10.7717/peerj.15040. eCollection 2023.
6
Comparing the fundamental movement skill proficiency of children with intellectual disabilities and typically developing children: a systematic review and meta-analysis.比较智障儿童和正常发展儿童的基本运动技能熟练程度:系统评价和荟萃分析。
J Intellect Disabil Res. 2023 Dec;67(12):1336-1353. doi: 10.1111/jir.13012. Epub 2023 Feb 14.
7
Evaluation of Ayres Sensory Integration Intervention on Sensory Processing and Motor Function in a Child with Rubinstein-Taybi Syndrome: A Case Report.评估艾尔斯感觉统合干预对一名鲁宾斯坦-泰比综合征患儿感觉加工和运动功能的影响:病例报告
Clin Med Insights Case Rep. 2023 Feb 1;16:11795476221148866. doi: 10.1177/11795476221148866. eCollection 2023.
8
Multidimensional motor performance in children with autism mostly remains stable with age and predicts social communication delay, language delay, functional delay, and repetitive behavior severity after accounting for intellectual disability or cognitive delay: A SPARK dataset analysis.自闭症儿童的多维运动表现大多随年龄增长而保持稳定,并在考虑智力障碍或认知延迟后,预测社会沟通延迟、语言延迟、功能延迟和重复行为严重程度:SPARK 数据集分析。
Autism Res. 2023 Jan;16(1):208-229. doi: 10.1002/aur.2870. Epub 2022 Dec 19.
9
Sensory Processing Impairments in Children with Developmental Coordination Disorder.发育性协调障碍儿童的感觉加工障碍
Children (Basel). 2022 Sep 22;9(10):1443. doi: 10.3390/children9101443.
10
Development of coordination and muscular fitness in children and adolescents with parent-reported ADHD in the German longitudinal MoMo Study.德国纵向 MoMo 研究中父母报告 ADHD 儿童和青少年的协调性和肌肉健康发展。
Sci Rep. 2022 Feb 8;12(1):2073. doi: 10.1038/s41598-022-06139-1.