• 文献检索
  • 文档翻译
  • 深度研究
  • 学术资讯
  • Suppr Zotero 插件Zotero 插件
  • 邀请有礼
  • 套餐&价格
  • 历史记录
应用&插件
Suppr Zotero 插件Zotero 插件浏览器插件Mac 客户端Windows 客户端微信小程序
定价
高级版会员购买积分包购买API积分包
服务
文献检索文档翻译深度研究API 文档MCP 服务
关于我们
关于 Suppr公司介绍联系我们用户协议隐私条款
关注我们

Suppr 超能文献

核心技术专利:CN118964589B侵权必究
粤ICP备2023148730 号-1Suppr @ 2026

文献检索

告别复杂PubMed语法,用中文像聊天一样搜索,搜遍4000万医学文献。AI智能推荐,让科研检索更轻松。

立即免费搜索

文件翻译

保留排版,准确专业,支持PDF/Word/PPT等文件格式,支持 12+语言互译。

免费翻译文档

深度研究

AI帮你快速写综述,25分钟生成高质量综述,智能提取关键信息,辅助科研写作。

立即免费体验

1992年至2021年日本自闭症谱系障碍的负担及其到2050年的预测:全球疾病负担研究结果

Burden of autism spectrum disorder in Japan from 1992 to 2021 and its prediction until 2050: results from the GBD study.

作者信息

Liu Jiabo, Xie Xiaoyan, Li Yunxi, Pu Yiqi, Li Yan, Yang Lingling

机构信息

Second Clinical Medical College, Guangzhou University of Traditional Chinese Medicine, Guangzhou, Guangdong, China.

Department of Psychology and Sleep Medicine, Guangdong Provincial Hospital of Traditional Chinese Medicine, Guangzhou, Guangdong, China.

出版信息

Front Psychiatry. 2025 Jul 8;16:1619085. doi: 10.3389/fpsyt.2025.1619085. eCollection 2025.

DOI:10.3389/fpsyt.2025.1619085
PMID:40698055
原文链接:https://pmc.ncbi.nlm.nih.gov/articles/PMC12279874/
Abstract

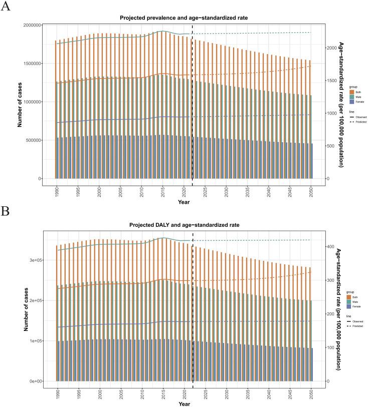
Autism Spectrum Disorder (ASD) is a neurodevelopmental condition characterized by persistent deficits in social communication and interaction, alongside restricted, repetitive patterns of behavior. This study aimed to analyze the temporal trends and project the future burden of ASD in Japan. Using Global Burden of Disease (GBD) 2021 data, we analyzed prevalence, disability-adjusted life years (DALYs), and age-standardized rates (ASR) (1992-2021) through age-period-cohort modeling, joinpoint regression, and autoregressive integrated moving average (ARIMA) forecasting. Age-standardized prevalence rate (ASPR) increased significantly (Average Annual Percentage Change [AAPC]=0.2744; 95%CI:0.2606-0.2882), with males disproportionately affected (male-to-female ratio 4:1). By 2050, crude prevalence is projected to decline 14.2%, while ASPR will rise 18.0%. Japan's ASD burden exceeds global averages, necessitating targeted interventions across the lifespan. These findings highlight the increasing burden of ASD in Japan and underscore the urgent need for enhanced healthcare planning and resource allocation.

摘要

自闭症谱系障碍(ASD)是一种神经发育疾病,其特征是社交沟通和互动持续存在缺陷,同时伴有局限、重复的行为模式。本研究旨在分析日本ASD的时间趋势并预测其未来负担。利用全球疾病负担(GBD)2021数据,我们通过年龄-时期-队列模型、连接点回归和自回归积分移动平均(ARIMA)预测分析了患病率、伤残调整生命年(DALYs)和年龄标准化率(ASR)(1992 - 2021年)。年龄标准化患病率(ASPR)显著上升(年均百分比变化[AAPC]=0.2744;95%置信区间:0.2606 - 0.2882),男性受影响程度不成比例(男女比例为4:1)。到2050年,预计粗患病率将下降14.2%,而ASPR将上升18.0%。日本的ASD负担超过全球平均水平,需要在整个生命周期进行有针对性的干预。这些发现凸显了日本ASD负担的增加,并强调了加强医疗保健规划和资源分配的迫切需求。

https://cdn.ncbi.nlm.nih.gov/pmc/blobs/a12d/12279874/f3beba56f6c2/fpsyt-16-1619085-g009.jpg
https://cdn.ncbi.nlm.nih.gov/pmc/blobs/a12d/12279874/0706231531d4/fpsyt-16-1619085-g001.jpg
https://cdn.ncbi.nlm.nih.gov/pmc/blobs/a12d/12279874/0f182bf1c249/fpsyt-16-1619085-g002.jpg
https://cdn.ncbi.nlm.nih.gov/pmc/blobs/a12d/12279874/9f7fdda3dab5/fpsyt-16-1619085-g003.jpg
https://cdn.ncbi.nlm.nih.gov/pmc/blobs/a12d/12279874/f1ed2df24307/fpsyt-16-1619085-g004.jpg
https://cdn.ncbi.nlm.nih.gov/pmc/blobs/a12d/12279874/7137c7209484/fpsyt-16-1619085-g005.jpg
https://cdn.ncbi.nlm.nih.gov/pmc/blobs/a12d/12279874/0119e4b26fdd/fpsyt-16-1619085-g006.jpg
https://cdn.ncbi.nlm.nih.gov/pmc/blobs/a12d/12279874/ce14a074571a/fpsyt-16-1619085-g007.jpg
https://cdn.ncbi.nlm.nih.gov/pmc/blobs/a12d/12279874/372936df2e73/fpsyt-16-1619085-g008.jpg
https://cdn.ncbi.nlm.nih.gov/pmc/blobs/a12d/12279874/f3beba56f6c2/fpsyt-16-1619085-g009.jpg
https://cdn.ncbi.nlm.nih.gov/pmc/blobs/a12d/12279874/0706231531d4/fpsyt-16-1619085-g001.jpg
https://cdn.ncbi.nlm.nih.gov/pmc/blobs/a12d/12279874/0f182bf1c249/fpsyt-16-1619085-g002.jpg
https://cdn.ncbi.nlm.nih.gov/pmc/blobs/a12d/12279874/9f7fdda3dab5/fpsyt-16-1619085-g003.jpg
https://cdn.ncbi.nlm.nih.gov/pmc/blobs/a12d/12279874/f1ed2df24307/fpsyt-16-1619085-g004.jpg
https://cdn.ncbi.nlm.nih.gov/pmc/blobs/a12d/12279874/7137c7209484/fpsyt-16-1619085-g005.jpg
https://cdn.ncbi.nlm.nih.gov/pmc/blobs/a12d/12279874/0119e4b26fdd/fpsyt-16-1619085-g006.jpg
https://cdn.ncbi.nlm.nih.gov/pmc/blobs/a12d/12279874/ce14a074571a/fpsyt-16-1619085-g007.jpg
https://cdn.ncbi.nlm.nih.gov/pmc/blobs/a12d/12279874/372936df2e73/fpsyt-16-1619085-g008.jpg
https://cdn.ncbi.nlm.nih.gov/pmc/blobs/a12d/12279874/f3beba56f6c2/fpsyt-16-1619085-g009.jpg

相似文献

1
Burden of autism spectrum disorder in Japan from 1992 to 2021 and its prediction until 2050: results from the GBD study.1992年至2021年日本自闭症谱系障碍的负担及其到2050年的预测:全球疾病负担研究结果
Front Psychiatry. 2025 Jul 8;16:1619085. doi: 10.3389/fpsyt.2025.1619085. eCollection 2025.
2
Burden of knee osteoarthritis in China and globally: 1990-2045.中国及全球膝关节骨关节炎负担:1990 - 2045年
BMC Musculoskelet Disord. 2025 Jul 1;26(1):582. doi: 10.1186/s12891-025-08858-8.
3
Analysis of trends in the burden of colorectal cancer in China and globally from 1990 to 2021 with projections for the next 15 years: a cross-sectional study based on the GBD database.1990年至2021年中国及全球结直肠癌负担趋势分析及未来15年预测:基于全球疾病负担(GBD)数据库的横断面研究
Front Public Health. 2025 May 26;13:1518536. doi: 10.3389/fpubh.2025.1518536. eCollection 2025.
4
Trends and gender disparities in the burden of rheumatoid arthritis in Pakistan from 1990 to 2021.1990年至2021年巴基斯坦类风湿性关节炎负担的趋势及性别差异
Sci Rep. 2025 Jul 1;15(1):21667. doi: 10.1038/s41598-025-05627-4.
5
Hepatoblastoma regional trends: dynamic SDI & joinpoint regression analysis.肝母细胞瘤的区域趋势:动态社会人口指数与连接点回归分析
BMC Cancer. 2025 Jul 5;25(1):1148. doi: 10.1186/s12885-025-14566-2.
6
The global impact of non-alcoholic fatty liver disease (including cirrhosis) in the elderly from 1990 to 2021 and future projections of disease burden.1990年至2021年非酒精性脂肪性肝病(包括肝硬化)对老年人的全球影响及疾病负担的未来预测。
PLoS One. 2025 Jun 25;20(6):e0325961. doi: 10.1371/journal.pone.0325961. eCollection 2025.
7
Global trends of chronic kidney disease from 1990 to 2021: a systematic analysis for the global burden of disease study 2021.1990年至2021年慢性肾脏病的全球趋势:2021年全球疾病负担研究的系统分析
BMC Nephrol. 2025 Jul 14;26(1):385. doi: 10.1186/s12882-025-04309-7.
8
Systematic analysis of gout burden among young adults in China from 1990 to 2021: findings from the global burden of disease study 2021.1990年至2021年中国青年成年人痛风负担的系统分析:全球疾病负担研究2021的结果
Front Public Health. 2025 Jun 9;13:1613801. doi: 10.3389/fpubh.2025.1613801. eCollection 2025.
9
Global epidemiological trends in prostate cancer burden: a comprehensive analysis from Global Burden of Disease Study 2021.前列腺癌负担的全球流行病学趋势:来自《2021年全球疾病负担研究》的综合分析
Transl Androl Urol. 2025 May 30;14(5):1238-1252. doi: 10.21037/tau-2025-103. Epub 2025 May 27.
10
Global pattern, trend and cross-country inequalities of inguinal, femoral, and abdominal hernia among individuals aged 60 and above from 1990 to 2021 and projections until 2040: a population-based study.1990年至2021年60岁及以上人群腹股沟疝、股疝和腹疝的全球模式、趋势及国家间不平等状况以及至2040年的预测:一项基于人群的研究
Surg Endosc. 2025 May 28. doi: 10.1007/s00464-025-11810-5.

本文引用的文献

1
The global epidemiology and health burden of the autism spectrum: findings from the Global Burden of Disease Study 2021.自闭症谱系障碍的全球流行病学与健康负担:2021年全球疾病负担研究的结果
Lancet Psychiatry. 2025 Feb;12(2):111-121. doi: 10.1016/S2215-0366(24)00363-8. Epub 2024 Dec 19.
2
Global fertility in 204 countries and territories, 1950-2021, with forecasts to 2100: a comprehensive demographic analysis for the Global Burden of Disease Study 2021.204 个国家和地区的全球生育率,1950-2021 年,预测至 2100 年:2021 年全球疾病负担研究的综合人口分析。
Lancet. 2024 May 18;403(10440):2057-2099. doi: 10.1016/S0140-6736(24)00550-6. Epub 2024 Mar 20.
3
Generalizable neuromarker for autism spectrum disorder across imaging sites and developmental stages: A multi-site study.
自闭症谱系障碍跨成像部位和发育阶段的通用神经标志物:一项多中心研究。
Res Sq. 2023 May 15:rs.3.rs-2853362. doi: 10.21203/rs.3.rs-2853362/v1.
4
Autism Spectrum Disorder: A Review.自闭症谱系障碍:综述
JAMA. 2023 Jan 10;329(2):157-168. doi: 10.1001/jama.2022.23661.
5
Global prevalence of autism: A systematic review update.全球自闭症患病率:系统综述更新。
Autism Res. 2022 May;15(5):778-790. doi: 10.1002/aur.2696. Epub 2022 Mar 3.
6
ICD-11: an international classification of diseases for the twenty-first century.《国际疾病分类第 11 次修订本》:二十一世纪的国际疾病分类。
BMC Med Inform Decis Mak. 2021 Nov 9;21(Suppl 6):206. doi: 10.1186/s12911-021-01534-6.
7
Children with special health care needs and mothers' anxiety/depression: Findings from the Tokyo Teen Cohort study.特殊健康需求儿童及其母亲的焦虑/抑郁状况:来自东京青少年队列研究的结果。
Psychiatry Clin Neurosci. 2021 Dec;75(12):394-400. doi: 10.1111/pcn.13301. Epub 2021 Oct 13.
8
Gender Differences in Psychological Symptoms and Psychotherapeutic Processes in Japanese Children.日本儿童心理症状和心理治疗过程中的性别差异。
Int J Environ Res Public Health. 2020 Dec 6;17(23):9113. doi: 10.3390/ijerph17239113.
9
Global burden of 369 diseases and injuries in 204 countries and territories, 1990-2019: a systematic analysis for the Global Burden of Disease Study 2019.204 个国家和地区 1990-2019 年 369 种疾病和伤害导致的全球负担:2019 年全球疾病负担研究的系统分析。
Lancet. 2020 Oct 17;396(10258):1204-1222. doi: 10.1016/S0140-6736(20)30925-9.
10
Large-Scale Exome Sequencing Study Implicates Both Developmental and Functional Changes in the Neurobiology of Autism.大规模外显子组测序研究表明自闭症的神经生物学既有发育性变化也有功能性变化。
Cell. 2020 Feb 6;180(3):568-584.e23. doi: 10.1016/j.cell.2019.12.036. Epub 2020 Jan 23.