Suppr超能文献

评估婴儿语言网络中白质的早期偏侧化

Assessing the Early Lateralization of White Matter in the Infant Language Network.

作者信息

Marcelle Madeline, Illapani Venkata Sita Priyanka, Gaillard William D, Newport Elissa L

机构信息

Center for Brain Plasticity and Recovery, Georgetown University Medical Center, Washington, District of Columbia, USA.

Center for Neuroscience, Children's National Hospital, Washington, District of Columbia, USA.

出版信息

Hum Brain Mapp. 2025 Aug 1;46(11):e70286. doi: 10.1002/hbm.70286.

Abstract

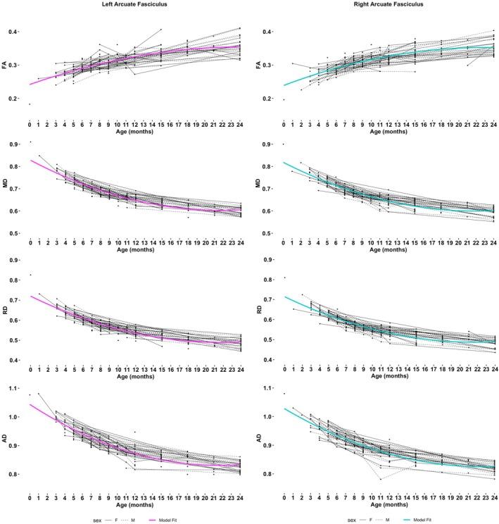
Neural language development involves the maturation of both frontal and temporal language centers and their white matter connections. Leftward asymmetry of white matter tracts has been seen at 5 years of age, and the maintenance of laterality into adulthood likely supports mature language functioning and cortical lateralization. However, it is not known if this laterality is present in infancy or how it relates to early language acquisition. We examined longitudinal changes in white matter microstructure and macrostructure in language (arcuate fasciculus [AF], uncinate fasciculus [UF]) and motor (corticospinal tract [CST]) white matter pathways in typically developing infants. We hypothesized that left hemisphere language tracts would demonstrate more rapid maturation in infancy compared to their right hemisphere counterparts, supporting an early left hemisphere bias for language in the left hemisphere, and we hypothesized that nonmotor tracts would demonstrate concurrent bilateral maturation. We characterized the development of hemispheric asymmetry in the bilateral AF, UF, and CST in 114 typically developing infants from 0 to 24 months of age using data from the HCP Baby Connectome Project. We measured longitudinal changes in fractional anisotropy (FA), mean diffusivity (MD), radial diffusivity (RD), axial diffusivity (AD), probabilistic streamlines, and tract volume. We used linear mixed-effects modeling to estimate the developmental trajectories in micro- and macrostructure in the left and right hemisphere tracts. We additionally reconstructed these tracts in a cohort of healthy adults from the 100 Unrelated Subjects Cohort of the Human Connectome Project. We successfully reconstructed these tracts in the adult brain and demonstrated broad left-lateralization, replicating prior findings. For infants, all tracts demonstrated rapid age-related changes in microstructure, but there were no age-related increases in tract volume or number of streamlines. There were no main effects of sex in any measure. In contrast to adults, while we did see a difference between hemispheres in the number of streamlines in the UF, which was greater in the right hemisphere, we did not find other differences or any asymmetries in rates of maturation between left and right hemisphere tracts. Our methods are capable of identifying laterality differences between left and right hemisphere white matter tracts in adults. However, the picture was quite different in infants. We found that both the left and right AF and UF demonstrated rapid microstructural maturation over the first 2 years of life. However, left lateralization of these tracts was not present in infancy. This may indicate that strong laterality develops as more language skills are acquired or perhaps not until strong cortical lateralization emerges in childhood. Future studies should add to this work by including other language tracts and including data from infancy through childhood, when functional language lateralization begins to emerge and core language acquisition is complete.

摘要

神经语言发育涉及额叶和颞叶语言中枢及其白质连接的成熟。5岁时已观察到白质束的左侧不对称,这种偏侧性持续到成年可能有助于成熟的语言功能和皮质侧化。然而,尚不清楚这种偏侧性在婴儿期是否存在,以及它与早期语言习得有何关系。我们研究了典型发育婴儿语言(弓状束[AF]、钩束[UF])和运动(皮质脊髓束[CST])白质通路中白质微观结构和宏观结构的纵向变化。我们假设,与右半球对应区域相比,左半球语言束在婴儿期将表现出更快的成熟,这支持了左半球在语言方面早期的左半球偏向,并且我们假设非运动束将表现出双侧同时成熟。我们使用人类连接组计划婴儿连接组项目的数据,对114名0至24个月大的典型发育婴儿双侧AF、UF和CST中半球不对称的发育进行了表征。我们测量了分数各向异性(FA)、平均扩散率(MD)、径向扩散率(RD)、轴向扩散率(AD)、概率流线和束体积的纵向变化。我们使用线性混合效应模型来估计左、右半球束微观和宏观结构的发育轨迹。我们还在人类连接组计划100名无关受试者队列的一组健康成年人中重建了这些束。我们成功地在成人大脑中重建了这些束,并证明了广泛的左侧化,重复了先前的发现。对于婴儿,所有束在微观结构上都表现出与年龄相关的快速变化,但束体积或流线数量没有与年龄相关的增加。在任何测量中都没有性别主效应。与成年人不同,虽然我们确实看到UF中流线数量在半球之间存在差异,右侧半球的流线数量更多,但我们没有发现其他差异,也没有发现左、右半球束成熟率的任何不对称。我们的方法能够识别成年人左、右半球白质束之间的偏侧性差异。然而,婴儿的情况则大不相同。我们发现,左、右AF和UF在生命的头两年都表现出快速的微观结构成熟。然而,这些束在婴儿期不存在左侧化。这可能表明,随着更多语言技能的获得,或者可能直到儿童期出现强烈的皮质侧化,才会形成强烈的偏侧性。未来的研究应该通过纳入其他语言束,并纳入从婴儿期到儿童期的数据来补充这项工作,因为在这个阶段功能语言偏侧化开始出现,核心语言习得也已完成。

https://cdn.ncbi.nlm.nih.gov/pmc/blobs/d4bc/12284907/ccd9448af80b/HBM-46-e70286-g003.jpg

文献检索

告别复杂PubMed语法,用中文像聊天一样搜索,搜遍4000万医学文献。AI智能推荐,让科研检索更轻松。

立即免费搜索

文件翻译

保留排版,准确专业,支持PDF/Word/PPT等文件格式,支持 12+语言互译。

免费翻译文档

深度研究

AI帮你快速写综述,25分钟生成高质量综述,智能提取关键信息,辅助科研写作。

立即免费体验