Suppr超能文献

鳗鱼促黄体激素/绒毛膜促性腺激素受体中的N-糖基化位点N201对于cAMP反应性和受体表面丢失是唯一不可或缺的,但对pERK1/2活性并非如此。

The N-Linked Glycosylation Site N201 in eel Lutropin/Choriogonadotropin Receptor Is Uniquely Indispensable for cAMP Responsiveness and Receptor Surface Loss, but Not pERK1/2 Activity.

作者信息

Byambaragchaa Munkhzaya, Kim Dong-Wan, Park Sei Hyen, Kang Myung-Hwa, Min Kwan-Sik

机构信息

Carbon-Neutral Resources Research Center, Hankyong National University, Anseong 17579, Republic of Korea.

Genetic Engineering, Hankyong National University, Anseong 17579, Republic of Korea.

出版信息

Curr Issues Mol Biol. 2025 May 9;47(5):345. doi: 10.3390/cimb47050345.

Abstract

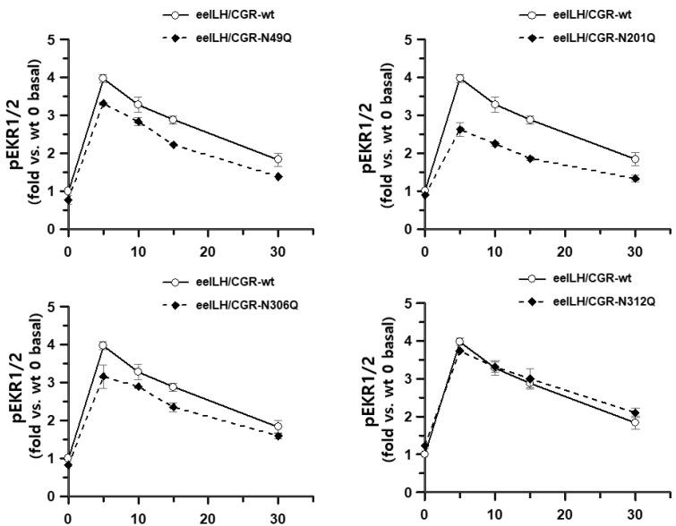
The seven transmembrane-spanning lutropin/chorionic gonadotropin receptors (LH/CGRs) trigger extracellular signal-related kinases (ERK1/2) via a noticeable network dependent on either G protein (Gαs) or β-arrestins. LH/CGRs are highly conserved, with the largest region within the transmembrane helices and common N-glycosylation sites in the extracellular domain. We aimed to determine the glycosylation sites that play crucial roles in cAMP and pERK1/2 regulation by constructing four mutants (N49Q, N201Q, N306Q, and N312Q). The cAMP response in cells expressing the N201Q mutant was completely impaired, despite high-dose agonist treatment. The cell-surface expression level was lowest in transiently transfected cells, but normal surface loss of the receptor occurred in cells expressing the wild-type and other mutant proteins. However, the N201Q mutant was only slightly reduced after 5 min of agonist stimulation. All mutants showed a peak in cAMP signaling 5 min after stimulation with a pERK1/2 agonist. Of note, cAMP activity was completely impaired in the N201Q mutant; however, this mutant still displayed a pERK1/2 response. These data show that the specific N-linked glycosylation site in eel LH/CGR is clearly distinguished by its differential responsiveness to cAMP signaling and pERK1/2 activity. Thus, we suggest that the cAMP and pERK1/2 signaling pathways involving eel LH/CGRs represent pleiotropic signal transduction induced by agonist treatment.

摘要

七次跨膜的促黄体生成素/绒毛膜促性腺激素受体(LH/CGRs)通过一个依赖于G蛋白(Gαs)或β-抑制蛋白的显著网络来激活细胞外信号调节激酶(ERK1/2)。LH/CGRs高度保守,跨膜螺旋内区域最大,细胞外结构域有常见的N-糖基化位点。我们旨在通过构建四个突变体(N49Q、N201Q、N306Q和N312Q)来确定在cAMP和pERK1/2调节中起关键作用的糖基化位点。尽管进行了高剂量激动剂处理,但表达N201Q突变体的细胞中的cAMP反应完全受损。在瞬时转染细胞中,细胞表面表达水平最低,但在表达野生型和其他突变蛋白的细胞中,受体的正常表面丢失发生。然而,激动剂刺激5分钟后,N201Q突变体仅略有降低。在用pERK1/2激动剂刺激后5分钟,所有突变体在cAMP信号传导中均出现峰值。值得注意的是,N201Q突变体中的cAMP活性完全受损;然而,该突变体仍表现出pERK1/2反应。这些数据表明,鳗鱼LH/CGR中特定的N-连接糖基化位点通过其对cAMP信号传导和pERK1/2活性的不同反应性而明显区分。因此,我们认为涉及鳗鱼LH/CGR的cAMP和pERK1/2信号通路代表了激动剂处理诱导的多效性信号转导。

https://cdn.ncbi.nlm.nih.gov/pmc/blobs/821f/12110046/5d1e73835849/cimb-47-00345-g001.jpg

文献检索

告别复杂PubMed语法,用中文像聊天一样搜索,搜遍4000万医学文献。AI智能推荐,让科研检索更轻松。

立即免费搜索

文件翻译

保留排版,准确专业,支持PDF/Word/PPT等文件格式,支持 12+语言互译。

免费翻译文档

深度研究

AI帮你快速写综述,25分钟生成高质量综述,智能提取关键信息,辅助科研写作。

立即免费体验