• 文献检索
  • 文档翻译
  • 深度研究
  • 学术资讯
  • Suppr Zotero 插件Zotero 插件
  • 邀请有礼
  • 套餐&价格
  • 历史记录
应用&插件
Suppr Zotero 插件Zotero 插件浏览器插件Mac 客户端Windows 客户端微信小程序
定价
高级版会员购买积分包购买API积分包
服务
文献检索文档翻译深度研究API 文档MCP 服务
关于我们
关于 Suppr公司介绍联系我们用户协议隐私条款
关注我们

Suppr 超能文献

核心技术专利:CN118964589B侵权必究
粤ICP备2023148730 号-1Suppr @ 2026

文献检索

告别复杂PubMed语法,用中文像聊天一样搜索,搜遍4000万医学文献。AI智能推荐,让科研检索更轻松。

立即免费搜索

文件翻译

保留排版,准确专业,支持PDF/Word/PPT等文件格式,支持 12+语言互译。

免费翻译文档

深度研究

AI帮你快速写综述,25分钟生成高质量综述,智能提取关键信息,辅助科研写作。

立即免费体验

环境相关浓度的纳米镍颗粒对三个营养级水生生物的生态毒理学效应:来自氧化应激生物标志物的见解

Ecotoxicological Effects of Environmentally Relevant Concentrations of Nickel Nanoparticles on Aquatic Organisms from Three Trophic Levels: Insights from Oxidative Stress Biomarkers.

作者信息

Correia Alberto Teodorico, Motta Eduardo, Daniel David, Nunes Bruno, Neves José

机构信息

Instituto de Ciências Biomédicas Abel Salazar (ICBAS), Universidade do Porto (UP), Rua Jorge Viterbo 228, 4050-313 Porto, Portugal.

Centro Interdisciplinar de Investigação Marinha e Ambiental (CIIMAR/CIMAR), Terminal de Cruzeiros do Porto de Leixões, Avenida General Norton de Matos S/N, 4450-208 Matosinhos, Portugal.

出版信息

J Xenobiot. 2025 Jul 4;15(4):112. doi: 10.3390/jox15040112.

DOI:10.3390/jox15040112
PMID:40700159
原文链接:https://pmc.ncbi.nlm.nih.gov/articles/PMC12285969/
Abstract

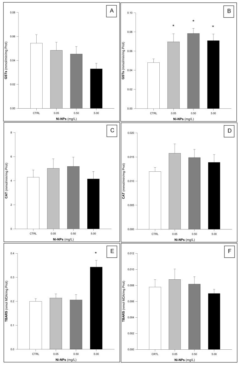
This study investigated the ecotoxicological impacts of environmentally relevant concentrations (0.05, 0.50, and 5.00 mg/L) of nickel nanoparticles (Ni-NPs) by assessing oxidative stress biomarkers. The worm , the bivalve spp., and the fish were chronically exposed to Ni-NPs for 28 days, and glutathione S-transferases (GST), catalase (CAT), and thiobarbituric acid reactive substances (TBARS) levels were measured to evaluate biochemical responses. GST activity increased in and the liver of , suggesting a key role for this enzyme in Ni-NPs detoxification. CAT activity was inhibited in the digestive gland of spp. at the highest Ni-NPs concentration, indicating possible disruption of antioxidant defense. TBARS levels rose significantly in the gills of spp. exposed to high Ni-NP concentrations, suggesting oxidative damage beyond detoxification capacity. In contrast, TBARS decreased in the digestive gland of and in , possibly due to compensatory upstream antioxidant responses. These findings indicate that each species exhibits distinct adaptive responses to Ni-NP exposure. Overall, this study highlights the need to consider species- and tissue-specific responses when performing ecotoxicological risk assessments of nanomaterials.

摘要

本研究通过评估氧化应激生物标志物,调查了环境相关浓度(0.05、0.50和5.00毫克/升)的镍纳米颗粒(Ni-NPs)的生态毒理学影响。将蠕虫、双壳贝类和鱼类长期暴露于Ni-NPs中28天,并测量谷胱甘肽S-转移酶(GST)、过氧化氢酶(CAT)和硫代巴比妥酸反应性物质(TBARS)水平,以评估生化反应。GST活性在[蠕虫名称]和[鱼类名称]的肝脏中增加,表明该酶在Ni-NPs解毒中起关键作用。在最高Ni-NPs浓度下,双壳贝类[双壳贝类名称]的消化腺中CAT活性受到抑制,表明抗氧化防御可能受到破坏。暴露于高Ni-NP浓度下的[鱼类名称]鳃中TBARS水平显著升高,表明氧化损伤超出了解毒能力。相比之下,[蠕虫名称]的消化腺和[鱼类名称]中的TBARS下降,可能是由于上游抗氧化反应的补偿作用。这些发现表明,每个物种对Ni-NP暴露表现出不同的适应性反应。总体而言,本研究强调在进行纳米材料的生态毒理学风险评估时,需要考虑物种和组织特异性反应。

https://cdn.ncbi.nlm.nih.gov/pmc/blobs/2889/12285969/6a10deceacaf/jox-15-00112-g003.jpg
https://cdn.ncbi.nlm.nih.gov/pmc/blobs/2889/12285969/bd4d0b99b457/jox-15-00112-g001.jpg
https://cdn.ncbi.nlm.nih.gov/pmc/blobs/2889/12285969/6e84deab3093/jox-15-00112-g002.jpg
https://cdn.ncbi.nlm.nih.gov/pmc/blobs/2889/12285969/6a10deceacaf/jox-15-00112-g003.jpg
https://cdn.ncbi.nlm.nih.gov/pmc/blobs/2889/12285969/bd4d0b99b457/jox-15-00112-g001.jpg
https://cdn.ncbi.nlm.nih.gov/pmc/blobs/2889/12285969/6e84deab3093/jox-15-00112-g002.jpg
https://cdn.ncbi.nlm.nih.gov/pmc/blobs/2889/12285969/6a10deceacaf/jox-15-00112-g003.jpg

相似文献

1
Ecotoxicological Effects of Environmentally Relevant Concentrations of Nickel Nanoparticles on Aquatic Organisms from Three Trophic Levels: Insights from Oxidative Stress Biomarkers.环境相关浓度的纳米镍颗粒对三个营养级水生生物的生态毒理学效应:来自氧化应激生物标志物的见解
J Xenobiot. 2025 Jul 4;15(4):112. doi: 10.3390/jox15040112.
2
Carbonsulfan-induced physiological, histopathological, and ultrastructural alterations in tubifex tubifex (müller, 1774).克百威对颤蚓(米勒,1774年)引起的生理、组织病理学和超微结构改变。
Sci Rep. 2025 Jul 20;15(1):26321. doi: 10.1038/s41598-025-11463-3.
3
Oxidative Stress, Phytochemical Screening, and Antioxidant Activity on Microalgae () After Exposure to Glyphosate and Microplastics.草甘膦和微塑料暴露后微藻的氧化应激、植物化学筛选及抗氧化活性()
J Xenobiot. 2025 Jul 3;15(4):106. doi: 10.3390/jox15040106.
4
The analysis of changes in antioxidant enzyme activity and gene expression caused by lead contamination in .铅污染导致的抗氧化酶活性和基因表达变化分析 。(原句不完整,感觉少了具体研究对象等内容)
Int J Phytoremediation. 2025 Jun 28:1-14. doi: 10.1080/15226514.2025.2521402.
5
6
The impact of biological interventions for ulcerative colitis on health-related quality of life.溃疡性结肠炎生物干预措施对健康相关生活质量的影响。
Cochrane Database Syst Rev. 2015 Sep 22;2015(9):CD008655. doi: 10.1002/14651858.CD008655.pub3.
7
Nanopriming with zinc oxide: a novel approach to enhance germination and antioxidant systems in amaranth.氧化锌纳米引发:一种提高苋菜籽萌发率和抗氧化系统的新方法。
Front Plant Sci. 2025 Jun 25;16:1599192. doi: 10.3389/fpls.2025.1599192. eCollection 2025.
8
Does time matter? Organ-specific stress responses to cobalt in Mytilus galloprovincialis across salinities.时间重要吗?不同盐度下,地中海贻贝各器官对钴的应激反应
Mar Pollut Bull. 2025 Jul 25;221:118450. doi: 10.1016/j.marpolbul.2025.118450.
9
Impact of Caffeine on Aquatic Ecosystems: Assessing Trophic-Level Biological Responses.咖啡因对水生生态系统的影响:评估营养级生物反应。
J Xenobiot. 2025 Jun 3;15(3):86. doi: 10.3390/jox15030086.
10
Antioxidants for male subfertility.用于男性生育力低下的抗氧化剂。
Cochrane Database Syst Rev. 2014(12):CD007411. doi: 10.1002/14651858.CD007411.pub3. Epub 2014 Dec 15.

本文引用的文献

1
Ecotoxicological effects of zinc oxide nanoparticles (ZnO-NPs) on aquatic organisms: Current research and emerging trends.氧化锌纳米粒子(ZnO-NPs)对水生生物的生态毒理学效应:当前研究与新兴趋势。
J Environ Manage. 2024 Jan 1;349:119396. doi: 10.1016/j.jenvman.2023.119396. Epub 2023 Oct 27.
2
Nanomaterials: a review of emerging contaminants with potential health or environmental impact.纳米材料:对具有潜在健康或环境影响的新兴污染物的综述。
Discov Nano. 2023 Apr 21;18(1):68. doi: 10.1186/s11671-023-03787-8.
3
Exposure to Nickel Oxide Nanoparticles Induces Alterations in Antioxidant System, Metabolic Enzymes and Nutritional Composition in Muscles of Heteropneustes fossilis.
暴露于氧化镍纳米颗粒会引起褐牙鲆肌肉抗氧化系统、代谢酶和营养成分的改变。
Bull Environ Contam Toxicol. 2023 Apr 12;110(4):79. doi: 10.1007/s00128-023-03714-8.
4
Influence of Larvae Meal Dietary Inclusion on Growth Performance, Gut Histological Traits and Stress Parameters in .幼虫粉日粮添加量对……生长性能、肠道组织学特征和应激参数的影响
Animals (Basel). 2023 Jan 18;13(3):339. doi: 10.3390/ani13030339.
5
Assessment of hazardous impact of nickel oxide nanoparticles on biochemical and histological parameters of gills and liver tissues of Heteropneustes fossilis.评估氧化镍纳米颗粒对印度胡鲶鳃和肝脏组织生化及组织学参数的有害影响。
J Trace Elem Med Biol. 2022 Dec;74:127059. doi: 10.1016/j.jtemb.2022.127059. Epub 2022 Aug 4.
6
The impact of the human activities on aquatic ecosystems.人类活动对水生生态系统的影响。
J Fish Biol. 2022 Aug;101(2):331-332. doi: 10.1111/jfb.15124. Epub 2022 Jul 21.
7
Behavior and toxicity assessment of copper nanoparticles in aquatic environment: A case study on red swamp crayfish.水环境中铜纳米颗粒的行为与毒性评估:以红沼泽螯虾为例
J Environ Manage. 2022 Jul 1;313:114986. doi: 10.1016/j.jenvman.2022.114986. Epub 2022 Apr 4.
8
Impact of Nickel Oxide Nanoparticles (NiO) on Oxidative Stress Biomarkers and Hemocyte Counts of Mytilus galloprovincialis.纳米氧化镍(NiO)对贻贝(Mytilus galloprovincialis)氧化应激生物标志物和血细胞计数的影响。
Biol Trace Elem Res. 2022 Jul;200(7):3429-3441. doi: 10.1007/s12011-022-03189-4. Epub 2022 Mar 12.
9
Biomarkers of Oxidative Stress and Antioxidant Defense.氧化应激和抗氧化防御的生物标志物。
J Pharm Biomed Anal. 2022 Feb 5;209:114477. doi: 10.1016/j.jpba.2021.114477. Epub 2021 Nov 28.
10
Occurrences and removal of pharmaceutical and personal care products from aquatic systems using advanced treatment- A review.利用深度处理去除水生系统中药物和个人护理产品的研究进展——综述
Environ Res. 2022 Mar;204(Pt C):112298. doi: 10.1016/j.envres.2021.112298. Epub 2021 Oct 27.