• 文献检索
  • 文档翻译
  • 深度研究
  • 学术资讯
  • Suppr Zotero 插件Zotero 插件
  • 邀请有礼
  • 套餐&价格
  • 历史记录
应用&插件
Suppr Zotero 插件Zotero 插件浏览器插件Mac 客户端Windows 客户端微信小程序
定价
高级版会员购买积分包购买API积分包
服务
文献检索文档翻译深度研究API 文档MCP 服务
关于我们
关于 Suppr公司介绍联系我们用户协议隐私条款
关注我们

Suppr 超能文献

核心技术专利:CN118964589B侵权必究
粤ICP备2023148730 号-1Suppr @ 2026

文献检索

告别复杂PubMed语法,用中文像聊天一样搜索,搜遍4000万医学文献。AI智能推荐,让科研检索更轻松。

立即免费搜索

文件翻译

保留排版,准确专业,支持PDF/Word/PPT等文件格式,支持 12+语言互译。

免费翻译文档

深度研究

AI帮你快速写综述,25分钟生成高质量综述,智能提取关键信息,辅助科研写作。

立即免费体验

急诊科监测呼气末二氧化碳以预测非创伤性休克患者住院死亡率的效用:一项前瞻性观察研究。

The utility of monitoring end-tidal carbon dioxide in emergency department to predict inhospital mortality of patients presenting with nontraumatic shock: A prospective observational study.

作者信息

Abhiraj R, Ekka Meera, Sreekumar Aravind, Aggarwal Praveen, Jamshed Nayer, Bhoi Sanjeev Kumar, Khan Maroof Ahmed

机构信息

Department of Emergency Medicine, All India Institute of Medical Sciences, New Delhi, India.

Department of Biostatistics, All India Institute of Medical Sciences, New Delhi, India.

出版信息

Turk J Emerg Med. 2025 Jul 1;25(3):199-207. doi: 10.4103/tjem.tjem_223_24. eCollection 2025 Jul-Sep.

DOI:10.4103/tjem.tjem_223_24
PMID:40746579
原文链接:https://pmc.ncbi.nlm.nih.gov/articles/PMC12309820/
Abstract

OBJECTIVES

We aimed to identify the ability of end-tidal carbon dioxide (EtCO2) to predict inhospital mortality of patients presenting to the emergency department (ED) with nontraumatic circulatory shock. We also attempted to assess the correlation between EtCO2 and other traditional vital signs and laboratory parameters in this patient population at different time points during their resuscitation.

METHODS

This was a single-center prospective observational study conducted among patients with nontraumatic circulatory shock who presented to the ED of a tertiary care teaching institute in India. EtCO2 measurement was done using mainstream capnography in both intubated and nonintubated patients at presentation and at 120 min of resuscitation. Heart rate, systolic blood pressure, diastolic blood pressure, mean arterial pressure (MAP), respiratory rate, oxygen saturation, and laboratory parameters (lactate, base deficit [BD], and partial pressure of carbon dioxide) were measured at the same time points. All patients were followed up till hospital discharge.

RESULTS

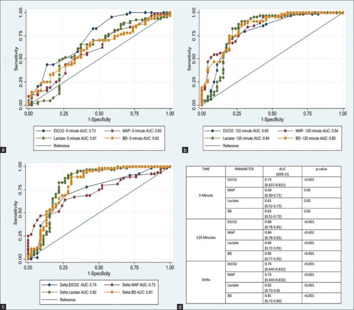
One hundred and ten patients were recruited to the study. An EtCO2 of ≤ 23 mm Hg at presentation was 87% sensitive (95% CI: 73-95 %) and 43% specific (95% CI: 31-56 %) in predicting in-hospital mortality of patients presenting with no-traumatic circulatory shock in emergency department [area under curve (AUC): 0.735 (95% CI: 0.638-0.832, p<0.001)]. EtCO2 ≥23 mmHg at presentation had a significant predictive value on the risk of in-hospital mortality with an adjusted odd's ratio of 0.08 (95% CI: 0.02-0.3, < 0.001). EtCO2 values at presentation and 120 min as well as the change between the time points showed statistically significant weak-to-moderate positive correlations with corresponding values of MAP and BD. Similarly, a significant negative correlation was demonstrated with lactate levels at the same time points.

CONCLUSION

EtCO2 values at presentation are an independent predictor of inhospital mortality of patients with circulatory shock of nontraumatic etiology presenting to the ED.

摘要

目的

我们旨在确定呼气末二氧化碳(EtCO2)预测急诊科(ED)非创伤性循环休克患者院内死亡率的能力。我们还试图评估该患者群体在复苏过程中不同时间点EtCO2与其他传统生命体征及实验室参数之间的相关性。

方法

这是一项在印度一家三级护理教学机构的急诊科对非创伤性循环休克患者进行的单中心前瞻性观察研究。在患者就诊时及复苏120分钟时,对插管和未插管患者均使用主流二氧化碳监测仪测量EtCO2。在相同时间点测量心率、收缩压、舒张压、平均动脉压(MAP)、呼吸频率、血氧饱和度及实验室参数(乳酸、碱缺失[BD]和二氧化碳分压)。所有患者随访至出院。

结果

110名患者纳入研究。就诊时EtCO2≤23 mmHg预测急诊科非创伤性循环休克患者院内死亡率的敏感度为87%(95%CI:73 - 95%),特异度为43%(95%CI:31 - 56%)[曲线下面积(AUC):0.735(95%CI:0.638 - 0.832,p<0.001)]。就诊时EtCO2≥23 mmHg对院内死亡风险具有显著预测价值,校正比值比为0.08(95%CI:0.02 - 0.3,p<0.001)。就诊时及120分钟时的EtCO2值以及时间点之间的变化与MAP和BD的相应值呈统计学显著的弱至中度正相关。同样,在相同时间点与乳酸水平呈显著负相关。

结论

就诊时的EtCO2值是急诊科非创伤性病因循环休克患者院内死亡率的独立预测指标。

https://cdn.ncbi.nlm.nih.gov/pmc/blobs/78d8/12309820/cb2f073e9701/TJEM-25-199-g003.jpg
https://cdn.ncbi.nlm.nih.gov/pmc/blobs/78d8/12309820/761e583ade17/TJEM-25-199-g001.jpg
https://cdn.ncbi.nlm.nih.gov/pmc/blobs/78d8/12309820/6e3c0dec7271/TJEM-25-199-g002.jpg
https://cdn.ncbi.nlm.nih.gov/pmc/blobs/78d8/12309820/cb2f073e9701/TJEM-25-199-g003.jpg
https://cdn.ncbi.nlm.nih.gov/pmc/blobs/78d8/12309820/761e583ade17/TJEM-25-199-g001.jpg
https://cdn.ncbi.nlm.nih.gov/pmc/blobs/78d8/12309820/6e3c0dec7271/TJEM-25-199-g002.jpg
https://cdn.ncbi.nlm.nih.gov/pmc/blobs/78d8/12309820/cb2f073e9701/TJEM-25-199-g003.jpg

相似文献

1
The utility of monitoring end-tidal carbon dioxide in emergency department to predict inhospital mortality of patients presenting with nontraumatic shock: A prospective observational study.急诊科监测呼气末二氧化碳以预测非创伤性休克患者住院死亡率的效用:一项前瞻性观察研究。
Turk J Emerg Med. 2025 Jul 1;25(3):199-207. doi: 10.4103/tjem.tjem_223_24. eCollection 2025 Jul-Sep.
2
Associations Between End-Tidal Carbon Dioxide During Pediatric Cardiopulmonary Resuscitation, Cardiopulmonary Resuscitation Quality, and Survival.儿科心肺复苏期间呼气末二氧化碳与心肺复苏质量和生存的关系。
Circulation. 2024 Jan 30;149(5):367-378. doi: 10.1161/CIRCULATIONAHA.123.066659. Epub 2023 Nov 6.
3
The prognostic value of end tidal carbon dioxide during cardiac arrest: a systematic review.心搏骤停时呼气末二氧化碳的预后价值:系统评价。
Resuscitation. 2013 Nov;84(11):1470-9. doi: 10.1016/j.resuscitation.2013.07.011. Epub 2013 Jul 18.
4
Systemic Inflammatory Response Syndrome全身炎症反应综合征
5
Signs and symptoms to determine if a patient presenting in primary care or hospital outpatient settings has COVID-19.在基层医疗机构或医院门诊环境中,如果患者出现以下症状和体征,可判断其是否患有 COVID-19。
Cochrane Database Syst Rev. 2022 May 20;5(5):CD013665. doi: 10.1002/14651858.CD013665.pub3.
6
Comparison of Two Modern Survival Prediction Tools, SORG-MLA and METSSS, in Patients With Symptomatic Long-bone Metastases Who Underwent Local Treatment With Surgery Followed by Radiotherapy and With Radiotherapy Alone.两种现代生存预测工具 SORG-MLA 和 METSSS 在接受手术联合放疗和单纯放疗治疗有症状长骨转移患者中的比较。
Clin Orthop Relat Res. 2024 Dec 1;482(12):2193-2208. doi: 10.1097/CORR.0000000000003185. Epub 2024 Jul 23.
7
Heliox for croup in children.氦氧混合气治疗儿童喉炎。
Cochrane Database Syst Rev. 2021 Aug 16;8(8):CD006822. doi: 10.1002/14651858.CD006822.pub6.
8
Accuracy of routine laboratory tests to predict mortality and deterioration to severe or critical COVID-19 in people with SARS-CoV-2.常规实验室检测对预测 SARS-CoV-2 感染者死亡和病情恶化为重症或危重症 COVID-19 的准确性。
Cochrane Database Syst Rev. 2024 Aug 6;8(8):CD015050. doi: 10.1002/14651858.CD015050.pub2.
9
Positioning for acute respiratory distress in hospitalised infants and children.急性呼吸窘迫患儿的体位摆放。
Cochrane Database Syst Rev. 2022 Jun 6;6(6):CD003645. doi: 10.1002/14651858.CD003645.pub4.
10
Are Detailed, Patient-level Social Determinant of Health Factors Associated With Physical Function and Mental Health at Presentation Among New Patients With Orthopaedic Conditions?详细的患者层面的健康社会决定因素是否与新骨科患者就诊时的身体功能和心理健康相关?
Clin Orthop Relat Res. 2023 May 1;481(5):912-921. doi: 10.1097/CORR.0000000000002446. Epub 2022 Oct 6.

本文引用的文献

1
Relationships between capnogram parameters by mainstream and sidestream techniques at different breathing frequencies.主流和侧流技术在不同呼吸频率下呼出气二氧化碳图参数之间的关系。
Sci Rep. 2024 Oct 26;14(1):25443. doi: 10.1038/s41598-024-75808-0.
2
Prehospital ETCO is predictive of death in intubated and non-intubated patients.院前呼气末二氧化碳分压可预测插管和未插管患者的死亡情况。
Am J Surg. 2023 Dec;226(6):886-890. doi: 10.1016/j.amjsurg.2023.07.033. Epub 2023 Jul 25.
3
End-tidal carbon dioxide measured at emergency department triage outperforms standard triage vital signs in predicting in-hospital mortality and intensive care unit admission.
在急诊科分诊时测量呼气末二氧化碳优于标准分诊生命体征,可预测院内死亡率和入住重症监护病房。
Acad Emerg Med. 2023 Aug;30(8):832-841. doi: 10.1111/acem.14703. Epub 2023 Mar 20.
4
Low initial in-hospital end-tidal carbon dioxide predicts poor patient outcomes and is a useful trauma bay adjunct.初始低呼气末二氧化碳预测患者预后不良,是创伤复苏室的有用辅助手段。
Am J Emerg Med. 2022 Jun;56:45-50. doi: 10.1016/j.ajem.2022.03.034. Epub 2022 Mar 23.
5
Accuracy evaluation of mainstream and sidestream end-tidal carbon dioxide monitoring during noninvasive ventilation: a randomized crossover trial (MASCAT-NIV trial).无创通气期间主流和旁流呼气末二氧化碳监测的准确性评估:一项随机交叉试验(MASCAT-NIV试验)。
J Intensive Care. 2022 Mar 18;10(1):17. doi: 10.1186/s40560-022-00603-w.
6
Incidence and Outcomes of Nontraumatic Shock in Adults Using Emergency Medical Services in Victoria, Australia.澳大利亚维多利亚州使用紧急医疗服务的成年人非创伤性休克的发生率和结局。
JAMA Netw Open. 2022 Jan 4;5(1):e2145179. doi: 10.1001/jamanetworkopen.2021.45179.
7
Prehospital End-Tidal CO: A Superior Marker for Mortality Risk in the Acutely Injured Patient.院前呼气末 CO:急性损伤患者死亡率的优越标志物。
Am Surg. 2022 Aug;88(8):2011-2016. doi: 10.1177/00031348211023401. Epub 2021 May 28.
8
Assessing the Utility of End-Tidal Carbon Dioxide as a Marker for Fluid Responsiveness in Cardiogenic Shock.评估呼气末二氧化碳作为心源性休克液体反应性标志物的效用。
Cureus. 2021 Feb 5;13(2):e13164. doi: 10.7759/cureus.13164.
9
Prehospital end-tidal carbon dioxide predicts massive transfusion and death following trauma.创伤后院前呼气末二氧化碳预测大量输血和死亡。
J Trauma Acute Care Surg. 2020 Oct;89(4):703-707. doi: 10.1097/TA.0000000000002846.
10
Relationship between End-Tidal CO (ETCO) and Lactate and their Role in Predicting Hospital Mortality in Critically Ill Trauma Patients; A Cohort Study.呼气末一氧化碳(ETCO)与乳酸之间的关系及其在预测重症创伤患者医院死亡率中的作用;一项队列研究。
Bull Emerg Trauma. 2020 Apr;8(2):83-88. doi: 10.30476/BEAT.2020.46447.