• 文献检索
  • 文档翻译
  • 深度研究
  • 学术资讯
  • Suppr Zotero 插件Zotero 插件
  • 邀请有礼
  • 套餐&价格
  • 历史记录
应用&插件
Suppr Zotero 插件Zotero 插件浏览器插件Mac 客户端Windows 客户端微信小程序
定价
高级版会员购买积分包购买API积分包
服务
文献检索文档翻译深度研究API 文档MCP 服务
关于我们
关于 Suppr公司介绍联系我们用户协议隐私条款
关注我们

Suppr 超能文献

核心技术专利:CN118964589B侵权必究
粤ICP备2023148730 号-1Suppr @ 2026

文献检索

告别复杂PubMed语法,用中文像聊天一样搜索,搜遍4000万医学文献。AI智能推荐,让科研检索更轻松。

立即免费搜索

文件翻译

保留排版,准确专业,支持PDF/Word/PPT等文件格式,支持 12+语言互译。

免费翻译文档

深度研究

AI帮你快速写综述,25分钟生成高质量综述,智能提取关键信息,辅助科研写作。

立即免费体验

比较转录组分析揭示了温度诱导种子休眠解除的基因调控。

Comparative transcriptome analysis reveal gene regulation of dormancy release in seeds induced by temperature.

作者信息

Li Yefang, Li Xuejiao, Li Fengrong, Wang Lele, Li Hongling, Zhao Yan, Guan Wenling

机构信息

College of Landscape and Horticulture, Yunnan Agricultural University, Kunming, China.

The Graduate School, Kunming Medical University, Kunming, China.

出版信息

Front Plant Sci. 2025 Jul 17;16:1591781. doi: 10.3389/fpls.2025.1591781. eCollection 2025.

DOI:10.3389/fpls.2025.1591781
PMID:40747520
原文链接:https://pmc.ncbi.nlm.nih.gov/articles/PMC12310627/
Abstract

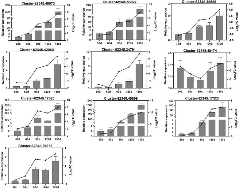
The is a bulbous plant with extremely high ornamental and economic values. The study revealed that seeds require an extended period of variable temperature stratification treatment to overcome dormancy and initiate germination, yet the molecular mechanisms underlying embryo dormancy release remain unclear. In this research, transcriptome profiles at different germination stages of seeds subjected to variable temperature stratification were systematically analyzed and compared, while the embryo length of corresponding seed samples was quantitatively measured. The results demonstrated that within the initial 60 days of stratification, the embryo scarcely grew. After 90 days of stratification, the embryo elongated conspicuously, and germination initiated at 130 days of stratification. The transcriptome sequencing outcomes demonstrated that the differentially expressed genes (DEGs) identified in the three comparative groups were predominantly associated with plant hormone signal transduction, carbohydrate metabolic pathways, and phenylpropanoid biosynthesis metabolic pathways. Notably, genes associated with auxin, abscisic acid (ABA), brassinosteroid (BR), ethylene, and gibberellin signaling pathways were significantly upregulated during the stratification period from 30 d to 60 d, while these genes exhibited varying degrees of significant differential expression from 90 d to 130 d. Multiple key enzymes in carbohydrate metabolic pathways exhibited marked upregulation after 90d of stratification. Notably, β-glucosidase () genes associated with polysaccharide hydrolysis (Cluster-62345.33620, Cluster-62345.31435, and Cluster-62345.35688) showed 6.68-, 5.08-, and 6.85-fold upregulation, respectively, at 130 d of stratification. Concurrently, the glycolytic pathway was upregulated throughout the process. The majority of genes involved in phenylpropanoid biosynthesis, particularly those encoding peroxidases, were activated during stratification. The reliability and accuracy of 10 genes closely associated with seed germination were validated using RT-qPCR. The results demonstrated that plant hormone signal transduction, carbohydrate metabolism pathways, and phenylpropanoid biosynthesis collectively participate in the post-maturation development and germination processes of the embryo. The potential roles of certain genes in these developmental and germination stages require further investigation. These findings provide novel insights into the transcriptional regulatory mechanisms underlying dormancy release in seeds. The candidate genes identified in this study warrant functional characterization and may contribute to advancing the understanding of seed dormancy and germination in plants.

摘要

该植物是一种球根植物,具有极高的观赏价值和经济价值。研究表明,种子需要经过长时间的变温层积处理来打破休眠并启动萌发,然而胚胎休眠解除的分子机制仍不清楚。在本研究中,系统地分析和比较了经过变温层积处理的种子在不同萌发阶段的转录组图谱,同时对相应种子样本的胚长度进行了定量测量。结果表明,在层积处理的最初60天内,胚几乎没有生长。层积90天后,胚显著伸长,在层积130天时开始萌发。转录组测序结果表明,在三个比较组中鉴定出的差异表达基因(DEGs)主要与植物激素信号转导、碳水化合物代谢途径和苯丙烷类生物合成代谢途径相关。值得注意的是,与生长素、脱落酸(ABA)、油菜素内酯(BR)、乙烯和赤霉素信号通路相关的基因在30天至60天的层积期显著上调,而这些基因在90天至130天表现出不同程度的显著差异表达。碳水化合物代谢途径中的多种关键酶在层积90天后显著上调。值得注意的是,与多糖水解相关的β-葡萄糖苷酶()基因(Cluster-62345.33620、Cluster-62345.31435和Cluster-62345.35688)在层积130天时分别上调了6.68倍、5.08倍和6.85倍。同时,糖酵解途径在整个过程中上调。参与苯丙烷类生物合成的大多数基因,特别是那些编码过氧化物酶的基因,在层积过程中被激活。使用RT-qPCR验证了与该植物种子萌发密切相关的10个基因的可靠性和准确性。结果表明,植物激素信号转导、碳水化合物代谢途径和苯丙烷类生物合成共同参与了胚的成熟后发育和萌发过程。某些基因在这些发育和萌发阶段的潜在作用需要进一步研究。这些发现为该植物种子休眠解除的转录调控机制提供了新的见解。本研究中鉴定出的候选基因值得进行功能表征,并可能有助于推进对植物种子休眠和萌发的理解。

https://cdn.ncbi.nlm.nih.gov/pmc/blobs/0d9c/12310627/20b926d4c980/fpls-16-1591781-g014.jpg
https://cdn.ncbi.nlm.nih.gov/pmc/blobs/0d9c/12310627/60b1d50d1ef7/fpls-16-1591781-g001.jpg
https://cdn.ncbi.nlm.nih.gov/pmc/blobs/0d9c/12310627/661a55005565/fpls-16-1591781-g002.jpg
https://cdn.ncbi.nlm.nih.gov/pmc/blobs/0d9c/12310627/b81dc8f790ad/fpls-16-1591781-g003.jpg
https://cdn.ncbi.nlm.nih.gov/pmc/blobs/0d9c/12310627/5ebfe394bc1b/fpls-16-1591781-g004.jpg
https://cdn.ncbi.nlm.nih.gov/pmc/blobs/0d9c/12310627/1427c371276a/fpls-16-1591781-g005.jpg
https://cdn.ncbi.nlm.nih.gov/pmc/blobs/0d9c/12310627/ecc724bb2b26/fpls-16-1591781-g006.jpg
https://cdn.ncbi.nlm.nih.gov/pmc/blobs/0d9c/12310627/34bf687f4b59/fpls-16-1591781-g007.jpg
https://cdn.ncbi.nlm.nih.gov/pmc/blobs/0d9c/12310627/a93921c6cbc1/fpls-16-1591781-g008.jpg
https://cdn.ncbi.nlm.nih.gov/pmc/blobs/0d9c/12310627/4bbf1962a546/fpls-16-1591781-g009.jpg
https://cdn.ncbi.nlm.nih.gov/pmc/blobs/0d9c/12310627/c960dde34866/fpls-16-1591781-g010.jpg
https://cdn.ncbi.nlm.nih.gov/pmc/blobs/0d9c/12310627/409d433b91f6/fpls-16-1591781-g011.jpg
https://cdn.ncbi.nlm.nih.gov/pmc/blobs/0d9c/12310627/cc8b8c5eb362/fpls-16-1591781-g012.jpg
https://cdn.ncbi.nlm.nih.gov/pmc/blobs/0d9c/12310627/81839cf3b97c/fpls-16-1591781-g013.jpg
https://cdn.ncbi.nlm.nih.gov/pmc/blobs/0d9c/12310627/20b926d4c980/fpls-16-1591781-g014.jpg
https://cdn.ncbi.nlm.nih.gov/pmc/blobs/0d9c/12310627/60b1d50d1ef7/fpls-16-1591781-g001.jpg
https://cdn.ncbi.nlm.nih.gov/pmc/blobs/0d9c/12310627/661a55005565/fpls-16-1591781-g002.jpg
https://cdn.ncbi.nlm.nih.gov/pmc/blobs/0d9c/12310627/b81dc8f790ad/fpls-16-1591781-g003.jpg
https://cdn.ncbi.nlm.nih.gov/pmc/blobs/0d9c/12310627/5ebfe394bc1b/fpls-16-1591781-g004.jpg
https://cdn.ncbi.nlm.nih.gov/pmc/blobs/0d9c/12310627/1427c371276a/fpls-16-1591781-g005.jpg
https://cdn.ncbi.nlm.nih.gov/pmc/blobs/0d9c/12310627/ecc724bb2b26/fpls-16-1591781-g006.jpg
https://cdn.ncbi.nlm.nih.gov/pmc/blobs/0d9c/12310627/34bf687f4b59/fpls-16-1591781-g007.jpg
https://cdn.ncbi.nlm.nih.gov/pmc/blobs/0d9c/12310627/a93921c6cbc1/fpls-16-1591781-g008.jpg
https://cdn.ncbi.nlm.nih.gov/pmc/blobs/0d9c/12310627/4bbf1962a546/fpls-16-1591781-g009.jpg
https://cdn.ncbi.nlm.nih.gov/pmc/blobs/0d9c/12310627/c960dde34866/fpls-16-1591781-g010.jpg
https://cdn.ncbi.nlm.nih.gov/pmc/blobs/0d9c/12310627/409d433b91f6/fpls-16-1591781-g011.jpg
https://cdn.ncbi.nlm.nih.gov/pmc/blobs/0d9c/12310627/cc8b8c5eb362/fpls-16-1591781-g012.jpg
https://cdn.ncbi.nlm.nih.gov/pmc/blobs/0d9c/12310627/81839cf3b97c/fpls-16-1591781-g013.jpg
https://cdn.ncbi.nlm.nih.gov/pmc/blobs/0d9c/12310627/20b926d4c980/fpls-16-1591781-g014.jpg

相似文献

1
Comparative transcriptome analysis reveal gene regulation of dormancy release in seeds induced by temperature.比较转录组分析揭示了温度诱导种子休眠解除的基因调控。
Front Plant Sci. 2025 Jul 17;16:1591781. doi: 10.3389/fpls.2025.1591781. eCollection 2025.
2
Comparative transcriptome analysis reveals the potential mechanism of seed germination promoted by trametenolic acid in Gastrodia elata Blume.比较转录组分析揭示了猪苓酸促进天麻种子萌发的潜在机制。
Sci Rep. 2025 Jul 24;15(1):26869. doi: 10.1038/s41598-025-12269-z.
3
Brassinosteroid-related acyltransferase1 mediates crosstalk between gibberellin signaling and brassinosteroids to regulate primary seed dormancy.油菜素类固醇相关酰基转移酶1介导赤霉素信号与油菜素类固醇之间的相互作用,以调节种子初始休眠。
Plant Cell Rep. 2025 Aug 1;44(8):188. doi: 10.1007/s00299-025-03582-y.
4
Integrated transcriptome, GWAS, and metabolome revealed the mechanism of seed germination in sorghum.整合转录组、全基因组关联研究和代谢组揭示了高粱种子萌发的机制。
Front Plant Sci. 2025 Jul 17;16:1601899. doi: 10.3389/fpls.2025.1601899. eCollection 2025.
5
Seed dormancy types and germination characteristics of six plants in the dry-warm valley of Jinshajiang River, SW China.中国西南部金沙江干热河谷六种植物的种子休眠类型与萌发特性
PeerJ. 2025 Jun 18;13:e19559. doi: 10.7717/peerj.19559. eCollection 2025.
6
TaPP2C-a6 interacts with TaDOG1Ls and regulates seed dormancy and germination in wheat.TaPP2C-a6与TaDOG1Ls相互作用并调控小麦种子的休眠与萌发。
Plant Biotechnol J. 2025 Aug;23(8):3313-3329. doi: 10.1111/pbi.70144. Epub 2025 May 26.
7
Unveiling the molecular mechanisms of human platelet lysate in enhancing endometrial receptivity.揭示人血小板裂解物增强子宫内膜容受性的分子机制。
Hum Reprod. 2025 Jul 15. doi: 10.1093/humrep/deaf118.
8
Genome-Wide Identification of the Gene Family in Pepper () and Its Expression Profiles During Seed Germination.辣椒()中基因家族的全基因组鉴定及其种子萌发过程中的表达谱
Plants (Basel). 2025 Jun 22;14(13):1913. doi: 10.3390/plants14131913.
9
Seed germination compromises expansion pressure, cell wall alterations, and the cuticular layer: New insights.种子萌发涉及膨压、细胞壁改变和角质层:新见解。
Plant Sci. 2025 Jun 13;359:112612. doi: 10.1016/j.plantsci.2025.112612.
10
Morphological and anatomical changes during dormancy break of the seeds of .种子休眠解除过程中的形态和解剖学变化。
Plant Signal Behav. 2023 Dec 31;18(1):2194748. doi: 10.1080/15592324.2023.2194748.

本文引用的文献

1
Assembly and comparative analysis of the complete mitochondrial genome of Cardiocrinum giganteum: a primitive Liliaceae group with significant scientific research value.大百合完整线粒体基因组的组装与比较分析:一个具有重要科研价值的原始百合科类群
BMC Genomics. 2025 Jul 1;26(1):602. doi: 10.1186/s12864-025-11817-1.
2
[Transcriptome sequencing reveals molecular mechanism of seed dormancy release of Zanthoxylum nitidum].转录组测序揭示两面针种子休眠解除的分子机制
Zhongguo Zhong Yao Za Zhi. 2025 Jan;50(1):102-110. doi: 10.19540/j.cnki.cjcmm.20241014.103.
3
Comparative transcriptome analysis reveals the potential mechanism of GA-induced dormancy release in black seeds.
比较转录组分析揭示了赤霉素诱导黑籽休眠解除的潜在机制。
Front Plant Sci. 2024 Jun 11;15:1354141. doi: 10.3389/fpls.2024.1354141. eCollection 2024.
4
Advancing Sustainable Malting Practices: Aquaporins as Potential Breeding Targets for Improved Water Uptake during Controlled Germination of Barley ( L.).推进可持续麦芽制作实践:水通道蛋白作为潜在的育种目标,以提高大麦(L.)控制发芽过程中的水分吸收。
J Agric Food Chem. 2024 May 1;72(17):10149-10161. doi: 10.1021/acs.jafc.4c00884. Epub 2024 Apr 18.
5
Lipid transfer protein, OsLTPL18, is essential for grain weight and seed germination in rice.脂质转移蛋白 OsLTPL18 对水稻粒重和种子萌发至关重要。
Gene. 2023 Oct 20;883:147671. doi: 10.1016/j.gene.2023.147671. Epub 2023 Jul 26.
6
Red LED Light Improves Pepper ( L.) Seed Radicle Emergence and Growth through the Modulation of Aquaporins, Hormone Homeostasis, and Metabolite Remobilization.红光提高辣椒(L.)种子胚根萌发和生长,通过调节水通道蛋白、激素平衡和代谢物再利用。
Int J Mol Sci. 2023 Mar 1;24(5):4779. doi: 10.3390/ijms24054779.
7
Rice lipid transfer protein, OsLTPL23, controls seed germination by regulating starch-sugar conversion and ABA homeostasis.水稻脂质转移蛋白OsLTPL23通过调节淀粉-糖转化和脱落酸稳态来控制种子萌发。
Front Genet. 2023 Jan 16;14:1111318. doi: 10.3389/fgene.2023.1111318. eCollection 2023.
8
β-Glucosidases as dominant dose-dependent regulators of Oryza sativa L. in response to typical organic pollutant exposures.β-葡萄糖苷酶作为典型有机污染物暴露下调控水稻响应的主要剂量依赖型调控因子。
Environ Pollut. 2022 Sep 15;309:119709. doi: 10.1016/j.envpol.2022.119709. Epub 2022 Jul 13.
9
Dynamic Changes in Seed Germination under Low-Temperature Stress in Maize.玉米在低温胁迫下种子萌发的动态变化。
Int J Mol Sci. 2022 May 14;23(10):5495. doi: 10.3390/ijms23105495.
10
Seed germination and vigor: ensuring crop sustainability in a changing climate.种子萌发与活力:确保气候变化下的作物可持续性。
Heredity (Edinb). 2022 Jun;128(6):450-459. doi: 10.1038/s41437-022-00497-2. Epub 2022 Jan 10.