Suppr超能文献

年轻患者II型齿状突骨折治疗结果的比较——手术是否被高估了?

Comparison of outcomes in the management of Type II odontoid fractures in young patients - Is surgery overrated?

作者信息

Manghwani Jitesh, Kumar Ganesh, Venishetty Nagaraju, Mundra Anuj

机构信息

Department of Spine Services, Indian Spinal Injuries Centre, Vasant Kunj, New Delhi, India.

出版信息

J Craniovertebr Junction Spine. 2025 Apr-Jun;16(2):224-231. doi: 10.4103/jcvjs.jcvjs_34_25. Epub 2025 Jul 3.

Abstract

INTRODUCTION

The options for the management of type II odontoid fractures in young patients include anterior screw fixation, posterior spinal fusion, or halo-vest immobilization (HVI). However, there is a recent trend away from nonoperative management and an increase in primary operative stabilization across several centers. Hence, our study aims to compare the functional and radiological outcomes of type II odontoid fractures in young patients managed with HVI and surgery.

MATERIALS AND METHODS

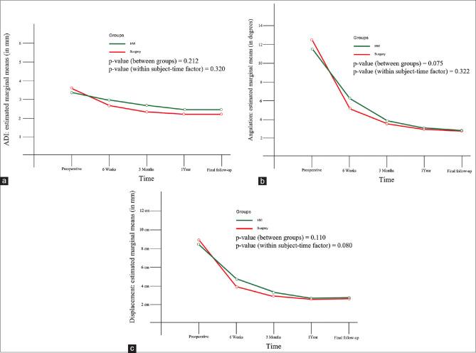
A retrospective analysis of 70 patients with type II odontoid fracture who were managed in our institution with a mean age of 47 years was included in our study. The clinical details included the Neck Disability Index (NDI), Visual Analog Scale (VAS) for neck pain, and S-Range of Movement (ROM)-Neck score. Radiological details included union status, atlanto-dens interval, amount of displacement and angulation, and transverse ligament injury. Both the clinical and radiological parameters were compared between the patients who underwent HVI ( = 28) and surgery ( = 42).

RESULTS

The mean ± standard deviation follow-up duration was 4.2 ± 2.5 years in the HVI group and 3.8 ± 2.7 years in the surgery group. Of the clinical parameters, the S-ROM-Neck score was significantly better in the HVI group than in the surgery group ( < 0.001). The length of hospitalization was much shorter in the HVI group ( < 0.001). There were no differences in NDI, VAS for neck pain, and other radiological parameters.

CONCLUSION

For type II odontoid fractures in young patients, HVI had better clinical outcomes compared to the surgery and should be considered the first line of management.

摘要

引言

年轻患者II型齿状突骨折的治疗选择包括前路螺钉固定、后路脊柱融合或头环背心固定(HVI)。然而,最近几个中心出现了远离非手术治疗的趋势,一期手术稳定治疗有所增加。因此,我们的研究旨在比较采用HVI和手术治疗的年轻患者II型齿状突骨折的功能和影像学结果。

材料与方法

我们对在我院接受治疗的70例II型齿状突骨折患者进行了回顾性分析,患者平均年龄为47岁。临床细节包括颈部残疾指数(NDI)、颈部疼痛视觉模拟量表(VAS)和颈部活动范围(ROM)评分。影像学细节包括愈合情况、寰齿间距、移位和成角量以及横韧带损伤情况。对接受HVI治疗(n = 28)和手术治疗(n = 42)的患者的临床和影像学参数进行了比较。

结果

HVI组的平均随访时间±标准差为4.2±2.5年,手术组为3.8±2.7年。在临床参数方面,HVI组的颈部ROM评分明显优于手术组(P < 0.001)。HVI组的住院时间短得多(P < 0.001)。NDI、颈部疼痛VAS及其他影像学参数无差异。

结论

对于年轻患者的II型齿状突骨折,与手术相比,HVI具有更好的临床效果,应被视为一线治疗方法。

https://cdn.ncbi.nlm.nih.gov/pmc/blobs/55ca/12313038/082cb8e0f4da/JCVJS-16-224-g001.jpg

文献检索

告别复杂PubMed语法,用中文像聊天一样搜索,搜遍4000万医学文献。AI智能推荐,让科研检索更轻松。

立即免费搜索

文件翻译

保留排版,准确专业,支持PDF/Word/PPT等文件格式,支持 12+语言互译。

免费翻译文档

深度研究

AI帮你快速写综述,25分钟生成高质量综述,智能提取关键信息,辅助科研写作。

立即免费体验