Okura Yuji, Tanabe Naohito, Kashimura Takeshi, Ishiguro Takuro, Ikarashi Mayuko, Kanbayashi Chizuko, Kaneko Koji, Sakata Eiko, Tsuchida Keiichi, Kikuchi Akira, Ogawa Atsushi, Moriyama Masato, Tanaka Hiroshi, Inomata Takayuki
Department of Onco-Cardiology, Niigata Cancer Center Hospital Niigata Japan.
Department of Health and Nutrition, Faculty of Human Life Studies, University of Niigata Prefecture Niigata Japan.
Circ Rep. 2025 Jun 28;7(8):627-638. doi: 10.1253/circrep.CR-24-0185. eCollection 2025 Aug 8.
Collaboration between cardiologists and oncologists was recommended as part of Japan's Basic Plan to Promote Disease Control Programs in 2023. We evaluated the extent of this collaboration regarding anthracycline-related cardiomyopathy (ARCM).
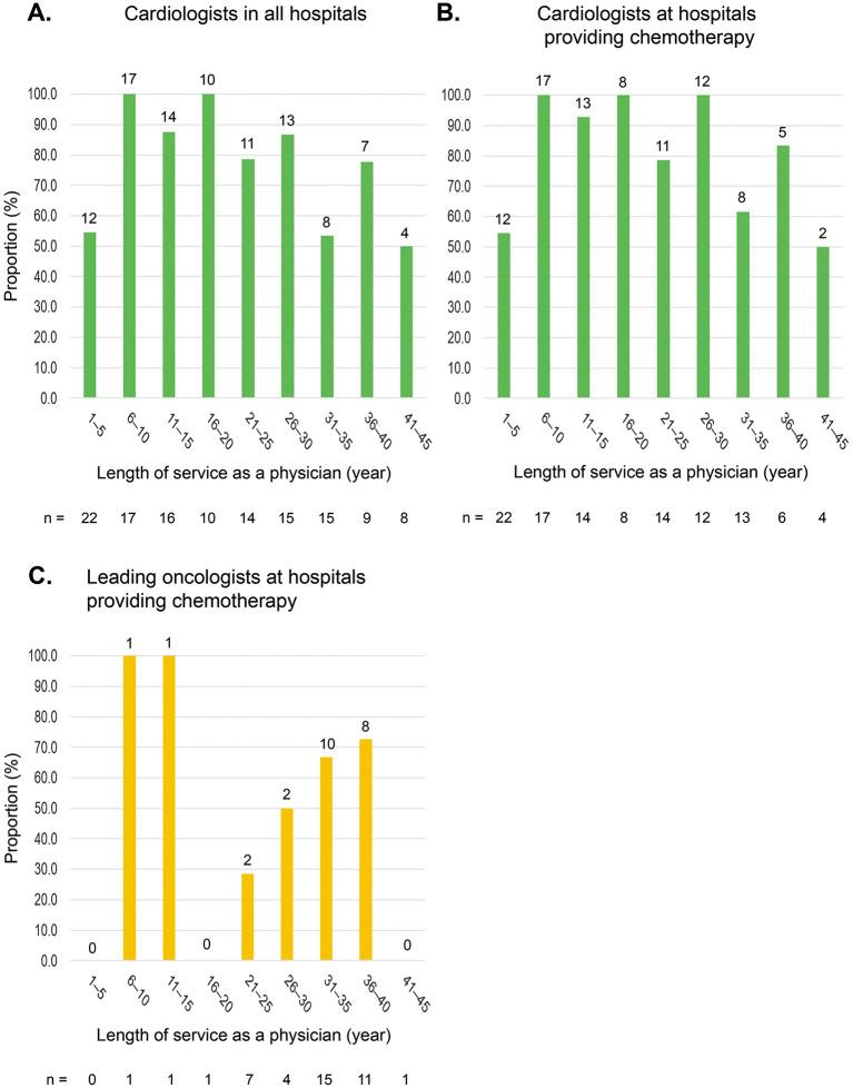
Self-administered questionnaires on ARCM were distributed to all cardiologists and leading oncologists in hospitals across the Niigata Prefecture. Overall, 126 cardiologists and 41 leading oncologists from 29 hospitals responded to the survey. Clinical experience with ARCM was reported by 76.2% of cardiologists and 58.5% of leading oncologists (P=0.044). Guideline recommendations for the early detection and treatment of ARCM were known by 89.1% of cardiologists and 87.8% of leading oncologists. Among the 20 hospitals providing chemotherapy, 12 (60%) had matching answers for 'post-event consultation' or 'pre-event consultation' between the cardiology and oncology departments. Regarding 'pre-event consultation', 4 hospitals had consistent responses for the most proactive response, whereas only 1 hospital had consistent responses from both departments for the majority response. The agreement of responses between the 2 departments was significant for the most proactive response (k=0.485; P=0.005), but not for the majority response (k=0.059; P=0.675).
The importance of early detection and treatment of ARCM was understood at the individual level; however, increased emphasis on 'pre-event consultation' is necessary to establish an interdepartmental early detection system.
心脏病专家与肿瘤专家之间的合作被推荐作为日本2023年促进疾病控制计划基本方案的一部分。我们评估了在蒽环类药物相关心肌病(ARCM)方面这种合作的程度。
关于ARCM的自填式问卷被分发给新潟县各医院的所有心脏病专家和主要肿瘤专家。总体而言,来自29家医院的126名心脏病专家和41名主要肿瘤专家回复了调查。76.2%的心脏病专家和58.5%的主要肿瘤专家报告有ARCM的临床经验(P = 0.044)。89.1%的心脏病专家和87.8%的主要肿瘤专家了解ARCM早期检测和治疗的指南建议。在提供化疗的20家医院中,12家(60%)在心脏病科和肿瘤科之间对于“事件后咨询”或“事件前咨询”有匹配的答案。关于“事件前咨询”,4家医院对于最积极的回应有一致的回答,而只有1家医院两个科室对于多数回应有一致的回答。两个科室之间对于最积极回应的回答一致性显著(k = 0.485;P = 0.005),但对于多数回应则不显著(k = 0.059;P = 0.675)。
ARCM早期检测和治疗的重要性在个体层面得到了理解;然而,有必要更加强调“事件前咨询”以建立部门间早期检测系统。