• 文献检索
  • 文档翻译
  • 深度研究
  • 学术资讯
  • Suppr Zotero 插件Zotero 插件
  • 邀请有礼
  • 套餐&价格
  • 历史记录
应用&插件
Suppr Zotero 插件Zotero 插件浏览器插件Mac 客户端Windows 客户端微信小程序
定价
高级版会员购买积分包购买API积分包
服务
文献检索文档翻译深度研究API 文档MCP 服务
关于我们
关于 Suppr公司介绍联系我们用户协议隐私条款
关注我们

Suppr 超能文献

核心技术专利:CN118964589B侵权必究
粤ICP备2023148730 号-1Suppr @ 2026

文献检索

告别复杂PubMed语法,用中文像聊天一样搜索,搜遍4000万医学文献。AI智能推荐,让科研检索更轻松。

立即免费搜索

文件翻译

保留排版,准确专业,支持PDF/Word/PPT等文件格式,支持 12+语言互译。

免费翻译文档

深度研究

AI帮你快速写综述,25分钟生成高质量综述,智能提取关键信息,辅助科研写作。

立即免费体验

胰腺癌患者术前运动耐量、合并症与生存率之间的关联

Association between Preoperative Exercise Tolerance, Comorbidities, and Survival Rates in Patients with Pancreatic Cancer.

作者信息

Onji Makoto, Kozono Shingo, Nakai Asuka, Kakizoe Shinji, Naito Koichi

机构信息

Department of Rehabilitation, Kitakyushu Municipal Medical Center, Kitakyushu, Japan.

Department of Surgery, Kitakyushu Municipal Medical Center, Kitakyushu, Japan.

出版信息

JMA J. 2025 Jul 15;8(3):893-902. doi: 10.31662/jmaj.2025-0105. Epub 2025 Jun 20.

DOI:10.31662/jmaj.2025-0105
PMID:40786490
原文链接:https://pmc.ncbi.nlm.nih.gov/articles/PMC12329037/
Abstract

INTRODUCTION

Despite treatment advancements, pancreatic cancer continues to have the lowest 5-year survival rate and a high age-adjusted mortality. Limited physical and functional reserves often restrict therapeutic options. Although the 6-minute walk distance (6MWD) and the Charlson Comorbidity Index (CCI) are established prognostic markers, their combined prognostic utility remains unexplored. This study evaluated the prognostic value of a composite index (6MWD-CCI) in patients who underwent pancreatic resection.

METHODS

This retrospective study included 85 patients with pancreatic cancer who underwent resection between July 2019 and September 2022. Preoperative 6MWD (<400 m) and CCI scores were used to classify patients into three 6MWD-CCI risk groups (low, middle, and high). Physical, nutritional, and frailty parameters were also assessed. Kaplan-Meier and Cox regression analyses were performed to evaluate survival outcomes, adjusting for confounders.

RESULTS

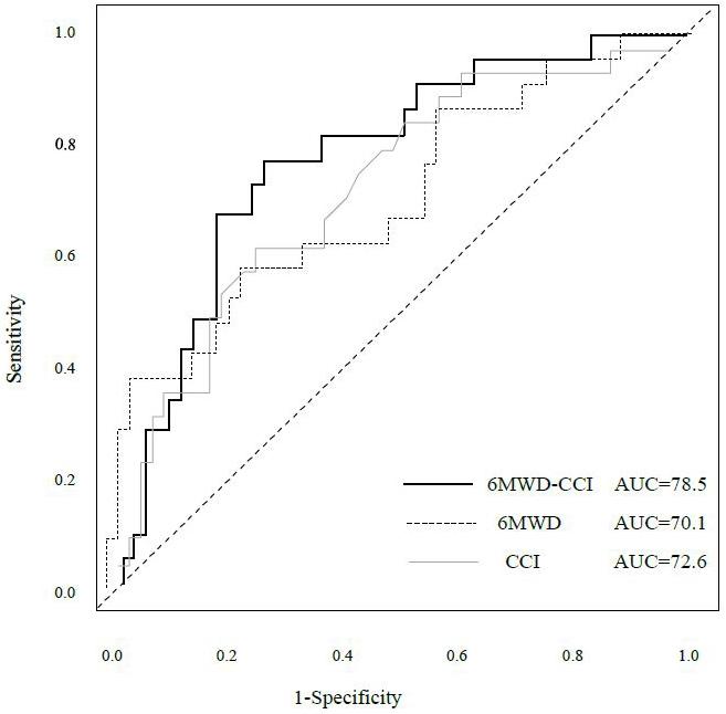
During a median follow-up of 802 days, 27 patients (31.8%) died. Low 6MWD, high CCI, and elevated 6MWD-CCI risk levels were significantly associated with reduced survival. The composite 6MWD-CCI demonstrated strong prognostic value, outperforming individual metrics even after adjustment for confounders.

CONCLUSIONS

The 6MWD-CCI is a practical and predictive tool for pancreatic cancer prognosis, integrating physical function and comorbidity burden to enhance risk stratification. Its incorporation into clinical workflows could improve preoperative planning. Validation through larger studies is recommended.

摘要

引言

尽管治疗取得了进展,但胰腺癌的5年生存率仍然是所有癌症中最低的,且年龄调整死亡率很高。有限的身体和功能储备常常限制了治疗选择。虽然6分钟步行距离(6MWD)和查尔森合并症指数(CCI)是已确立的预后标志物,但其联合预后效用仍未得到探索。本研究评估了复合指数(6MWD-CCI)在接受胰腺切除术患者中的预后价值。

方法

这项回顾性研究纳入了2019年7月至2022年9月期间接受切除术的85例胰腺癌患者。术前6MWD(<400 m)和CCI评分用于将患者分为三个6MWD-CCI风险组(低、中、高)。还评估了身体、营养和虚弱参数。进行了Kaplan-Meier和Cox回归分析以评估生存结果,并对混杂因素进行了调整。

结果

在中位随访802天期间,27例患者(31.8%)死亡。低6MWD、高CCI和升高的6MWD-CCI风险水平与生存率降低显著相关。复合6MWD-CCI显示出很强的预后价值,即使在对混杂因素进行调整后,其表现也优于个体指标。

结论

6MWD-CCI是一种用于胰腺癌预后的实用且具有预测性的工具,它整合了身体功能和合并症负担以加强风险分层。将其纳入临床工作流程可改善术前规划。建议通过更大规模的研究进行验证。

https://cdn.ncbi.nlm.nih.gov/pmc/blobs/83e1/12329037/f98d7b192bb2/2433-3298-8-3-0893-g005.jpg
https://cdn.ncbi.nlm.nih.gov/pmc/blobs/83e1/12329037/75decfa49681/2433-3298-8-3-0893-g001.jpg
https://cdn.ncbi.nlm.nih.gov/pmc/blobs/83e1/12329037/33c300db93c6/2433-3298-8-3-0893-g002.jpg
https://cdn.ncbi.nlm.nih.gov/pmc/blobs/83e1/12329037/8b09f527f879/2433-3298-8-3-0893-g003.jpg
https://cdn.ncbi.nlm.nih.gov/pmc/blobs/83e1/12329037/1c5c9aea402d/2433-3298-8-3-0893-g004.jpg
https://cdn.ncbi.nlm.nih.gov/pmc/blobs/83e1/12329037/f98d7b192bb2/2433-3298-8-3-0893-g005.jpg
https://cdn.ncbi.nlm.nih.gov/pmc/blobs/83e1/12329037/75decfa49681/2433-3298-8-3-0893-g001.jpg
https://cdn.ncbi.nlm.nih.gov/pmc/blobs/83e1/12329037/33c300db93c6/2433-3298-8-3-0893-g002.jpg
https://cdn.ncbi.nlm.nih.gov/pmc/blobs/83e1/12329037/8b09f527f879/2433-3298-8-3-0893-g003.jpg
https://cdn.ncbi.nlm.nih.gov/pmc/blobs/83e1/12329037/1c5c9aea402d/2433-3298-8-3-0893-g004.jpg
https://cdn.ncbi.nlm.nih.gov/pmc/blobs/83e1/12329037/f98d7b192bb2/2433-3298-8-3-0893-g005.jpg

相似文献

1
Association between Preoperative Exercise Tolerance, Comorbidities, and Survival Rates in Patients with Pancreatic Cancer.胰腺癌患者术前运动耐量、合并症与生存率之间的关联
JMA J. 2025 Jul 15;8(3):893-902. doi: 10.31662/jmaj.2025-0105. Epub 2025 Jun 20.
2
Phosphodiesterase type 5 inhibitor plus endothelin receptor antagonist compared to either alone for group 1 pulmonary arterial hypertension.与单独使用相比,5型磷酸二酯酶抑制剂加内皮素受体拮抗剂用于1型肺动脉高压的治疗
Cochrane Database Syst Rev. 2025 Aug 4;8(8):CD015824. doi: 10.1002/14651858.CD015824.pub2.
3
Are Current Survival Prediction Tools Useful When Treating Subsequent Skeletal-related Events From Bone Metastases?当前的生存预测工具在治疗骨转移后的骨骼相关事件时有用吗?
Clin Orthop Relat Res. 2024 Sep 1;482(9):1710-1721. doi: 10.1097/CORR.0000000000003030. Epub 2024 Mar 22.
4
Impact of comorbidity on immune-related adverse events and survival in older cancer patients treated with immunotherapy.合并症对接受免疫治疗的老年癌症患者免疫相关不良事件和生存的影响。
Future Oncol. 2025 Jun;21(14):1787-1796. doi: 10.1080/14796694.2025.2502313. Epub 2025 May 27.
5
Cost-effectiveness of using prognostic information to select women with breast cancer for adjuvant systemic therapy.利用预后信息为乳腺癌患者选择辅助性全身治疗的成本效益
Health Technol Assess. 2006 Sep;10(34):iii-iv, ix-xi, 1-204. doi: 10.3310/hta10340.
6
The preoperative HELPP score can be used as a prognostic assessment tool for resectable pancreatic cancer patients, and may be applicable to patients in China as well.术前HELPP评分可作为可切除胰腺癌患者的预后评估工具,在中国患者中可能也适用。
Gland Surg. 2025 Jun 30;14(6):1112-1127. doi: 10.21037/gs-2025-132. Epub 2025 Jun 11.
7
The association of neutrophil-lymphocyte ratio and prognostic nutritional index with the development to chronic critical illness and their prognosis.中性粒细胞与淋巴细胞比值和预后营养指数与慢性危重病发生及其预后的相关性。
Front Nutr. 2025 Jul 23;12:1505404. doi: 10.3389/fnut.2025.1505404. eCollection 2025.
8
Charlson comorbidity index has no incremental value for mortality risk prediction in nursing home residents with COVID-19 disease.查尔森合并症指数对预测感染新冠肺炎的养老院居民的死亡风险没有额外价值。
BMC Geriatr. 2025 Jan 30;25(1):67. doi: 10.1186/s12877-025-05721-2.
9
Does the Presence of Missing Data Affect the Performance of the SORG Machine-learning Algorithm for Patients With Spinal Metastasis? Development of an Internet Application Algorithm.缺失数据的存在是否会影响 SORG 机器学习算法在脊柱转移瘤患者中的性能?开发一种互联网应用算法。
Clin Orthop Relat Res. 2024 Jan 1;482(1):143-157. doi: 10.1097/CORR.0000000000002706. Epub 2023 Jun 12.
10
Physical exercise training interventions for children and young adults during and after treatment for childhood cancer.针对儿童癌症治疗期间及治疗后的儿童和青少年的体育锻炼训练干预措施。
Cochrane Database Syst Rev. 2016 Mar 31;3(3):CD008796. doi: 10.1002/14651858.CD008796.pub3.

本文引用的文献

1
Geriatric Nutritional Risk Index Combined with Calf Circumference Can be a Good Predictor of Prognosis in Patients Undergoing Surgery for Gastric or Colorectal Cancer.老年营养风险指数联合小腿围可作为胃肠癌患者手术预后的良好预测指标。
Cancer Control. 2024 Jan-Dec;31:10732748241230888. doi: 10.1177/10732748241230888.
2
The survival in octogenarians undergoing surgery for pancreatic cancer and its association with the nutritional status.80 岁以上胰腺癌患者手术治疗的生存情况及其与营养状况的关系。
Surg Today. 2024 Jul;54(7):734-742. doi: 10.1007/s00595-023-02782-x. Epub 2023 Dec 19.
3
Prevalence and Impact of Frailty in Pancreatic Cancer: A Systematic Review and Meta-Analysis Based on 35,191 Patients.
衰弱在胰腺癌中的流行情况及影响:基于 35191 例患者的系统评价和荟萃分析。
Ann Surg Oncol. 2024 Jan;31(1):535-544. doi: 10.1245/s10434-023-14426-y. Epub 2023 Oct 29.
4
Preoperative frailty as a predictive factor for postoperative complications in patients with pancreatic cancer.术前衰弱作为预测胰腺癌患者术后并发症的一个因素。
Nagoya J Med Sci. 2023 Aug;85(3):518-527. doi: 10.18999/nagjms.85.3.518.
5
The combination of hand grip strength and modified Glasgow prognostic score predicts clinical outcomes in patients with liver cancer.握力与改良格拉斯哥预后评分相结合可预测肝癌患者的临床结局。
Front Nutr. 2023 Feb 27;10:1062117. doi: 10.3389/fnut.2023.1062117. eCollection 2023.
6
Impact of preoperative skeletal muscle mass and physical performance on short-term and long-term postoperative outcomes in patients with esophageal cancer after esophagectomy.术前骨骼肌质量和身体机能对食管癌患者食管切除术后短期和长期预后的影响。
Ann Gastroenterol Surg. 2022 Mar 8;6(5):623-632. doi: 10.1002/ags3.12560. eCollection 2022 Sep.
7
Charlson Comorbidity Index: A Critical Review of Clinimetric Properties.Charlson 共病指数:临床计量特性的批判性评价。
Psychother Psychosom. 2022;91(1):8-35. doi: 10.1159/000521288. Epub 2022 Jan 6.
8
Impact of preoperative 6-minute walk distance on long-term prognosis after esophagectomy in patients with esophageal cancer.术前 6 分钟步行距离对食管癌患者食管切除术长期预后的影响。
Esophagus. 2022 Jan;19(1):95-104. doi: 10.1007/s10388-021-00871-9. Epub 2021 Aug 12.
9
Does Cardiopulmonary Testing Help Predict Long-Term Survival After Esophagectomy?心肺测试能否预测食管癌手术后的长期生存?
Ann Surg Oncol. 2021 Nov;28(12):7291-7297. doi: 10.1245/s10434-021-10136-5. Epub 2021 May 26.
10
A scoping review of the Clinical Frailty Scale.临床虚弱量表的范围综述。
BMC Geriatr. 2020 Oct 7;20(1):393. doi: 10.1186/s12877-020-01801-7.