Suppr超能文献

虚拟护理中心护士的护理活动及相关工作量:一项多中心观察性研究。

Nursing activities and associated workload of nurses in virtual care centres: A multicentre observational study.

作者信息

Leenen Jobbe P L, Lok-Visser Jedidja, Vollenbroek Cindy, Sonneveld Henk, Van Houwelingen Thijs, Leeftink Gréanne

机构信息

Connected Care Center, Isala, Zwolle, The Netherlands.

Research Group IT Innovations in Healthcare, Windesheim University of Applied Sciences, Zwolle, The Netherlands.

出版信息

PLOS Digit Health. 2025 Aug 12;4(8):e0000974. doi: 10.1371/journal.pdig.0000974. eCollection 2025 Aug.

Abstract

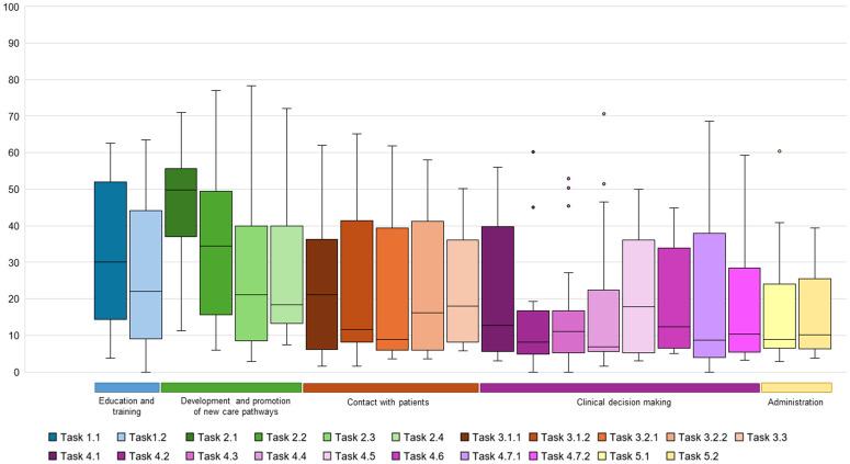
Virtual care centres (VCCs) are novel wards of hospitals and facilitate the provision of remote monitoring and home-based patient care by virtual care nurses. Whereas since the COVID-19 pandemic VCCs have rapidly emerged, there is a lack of insight in virtual care nurses' work and the associated work load. Therefore, the aim of this study was to identify the nursing activities performed in Virtual Care Centers (VCCs) and assess nurses' perceived workload associated with these activities. A multicentre descriptive, observational cross-sectional study was performed. Data collection (February - June 2024) involved three steps: establishing a list of nursing activities, defining and quantifying workload using the NASA-Task Load Index and Analytical Hierarchy Process (AHP), and measuring nursing activity-associated workload by a survey involving 19 virtual care nurses across six VCCs in the Netherlands who had been employed in VCCs for at least one year. Eventually, we identified 21 nursing activities categorized into five areas: education and training (n = 2), development and promotion of new care pathways (n = 4), patient contact (n = 4), clinical decision-making (n = 8), and administration (n = 2). The overall workload was predominantly rated as low to medium, with the development of protocols for new digital care pathways being the most demanding activity. Routine nursing activities, such as patient contact and clinical decision-making, resulted in low to very low workload ratings. In conclusion, we found VCC nurses engage in a broad spectrum of conventional and novel nursing tasks, of which we measured their associated workload using a novel approach integrating NASA-TLX and AHP. The highest associated workload suggest the need for task differentiation and/or additional training to support nurses in managing these high-demand tasks. The VCC model may offer a viable alternative for nurses experiencing high workloads in conventional wards, potentially alleviating some pressures on nursing staff in traditional healthcare settings, mostly in the shift from physical to mental demand.

摘要

虚拟护理中心(VCCs)是医院的新型病房,由虚拟护理护士提供远程监测和居家患者护理服务。自新冠疫情以来,虚拟护理中心迅速涌现,但对于虚拟护理护士的工作及相关工作量缺乏深入了解。因此,本研究旨在确定虚拟护理中心(VCCs)开展的护理活动,并评估护士对这些活动的感知工作量。开展了一项多中心描述性观察性横断面研究。数据收集(2024年2月至6月)包括三个步骤:确定护理活动清单,使用美国国家航空航天局任务负荷指数(NASA-Task Load Index)和层次分析法(AHP)定义和量化工作量,以及通过对荷兰六个虚拟护理中心的19名虚拟护理护士进行调查来测量与护理活动相关的工作量,这些护士在虚拟护理中心工作至少一年。最终,我们确定了21项护理活动,分为五个领域:教育与培训(n = 2)、新护理路径的开发与推广(n = 4)、患者接触(n = 4)、临床决策(n = 8)和管理(n = 2)。总体工作量主要评定为低到中等,为新数字护理路径制定方案是要求最高的活动。常规护理活动,如患者接触和临床决策,工作量评定为低到极低。总之,我们发现虚拟护理中心的护士从事广泛的传统和新型护理任务,我们使用一种整合了美国国家航空航天局任务负荷指数(NASA-TLX)和层次分析法(AHP)的新方法测量了这些任务的相关工作量。最高的相关工作量表明需要进行任务区分和/或额外培训,以支持护士管理这些高要求任务。虚拟护理中心模式可能为在传统病房面临高工作量的护士提供一个可行的替代方案,有可能减轻传统医疗环境中护理人员的一些压力,主要是从体力需求向脑力需求的转变。

https://cdn.ncbi.nlm.nih.gov/pmc/blobs/e469/12342328/2b714731938e/pdig.0000974.g001.jpg

文献检索

告别复杂PubMed语法,用中文像聊天一样搜索,搜遍4000万医学文献。AI智能推荐,让科研检索更轻松。

立即免费搜索

文件翻译

保留排版,准确专业,支持PDF/Word/PPT等文件格式,支持 12+语言互译。

免费翻译文档

深度研究

AI帮你快速写综述,25分钟生成高质量综述,智能提取关键信息,辅助科研写作。

立即免费体验