• 文献检索
  • 文档翻译
  • 深度研究
  • 学术资讯
  • Suppr Zotero 插件Zotero 插件
  • 邀请有礼
  • 套餐&价格
  • 历史记录
应用&插件
Suppr Zotero 插件Zotero 插件浏览器插件Mac 客户端Windows 客户端微信小程序
定价
高级版会员购买积分包购买API积分包
服务
文献检索文档翻译深度研究API 文档MCP 服务
关于我们
关于 Suppr公司介绍联系我们用户协议隐私条款
关注我们

Suppr 超能文献

核心技术专利:CN118964589B侵权必究
粤ICP备2023148730 号-1Suppr @ 2026

文献检索

告别复杂PubMed语法,用中文像聊天一样搜索,搜遍4000万医学文献。AI智能推荐,让科研检索更轻松。

立即免费搜索

文件翻译

保留排版,准确专业,支持PDF/Word/PPT等文件格式,支持 12+语言互译。

免费翻译文档

深度研究

AI帮你快速写综述,25分钟生成高质量综述,智能提取关键信息,辅助科研写作。

立即免费体验

一项关于人脑视觉对比度依赖性的7T交错式功能磁共振波谱成像和功能磁共振成像研究。

A 7T interleaved fMRS and fMRI study on visual contrast dependency in the human brain.

作者信息

Schrantee Anouk, Najac Chloe, Jungerius Chris, van der Zwaag Wietske, Jbabdi Saad, Clarke William T, Ronen Itamar

机构信息

Department of Radiology and Nuclear Medicine, Amsterdam University Medical Center, University of Amsterdam, Amsterdam, The Netherlands.

C.J. Gorter MRI Center, Department of Radiology, Leiden University Medical Center, Leiden, The Netherlands.

出版信息

Imaging Neurosci (Camb). 2023 Nov 17;1. doi: 10.1162/imag_a_00031. eCollection 2023.

DOI:10.1162/imag_a_00031
PMID:40799712
原文链接:https://pmc.ncbi.nlm.nih.gov/articles/PMC12007529/
Abstract

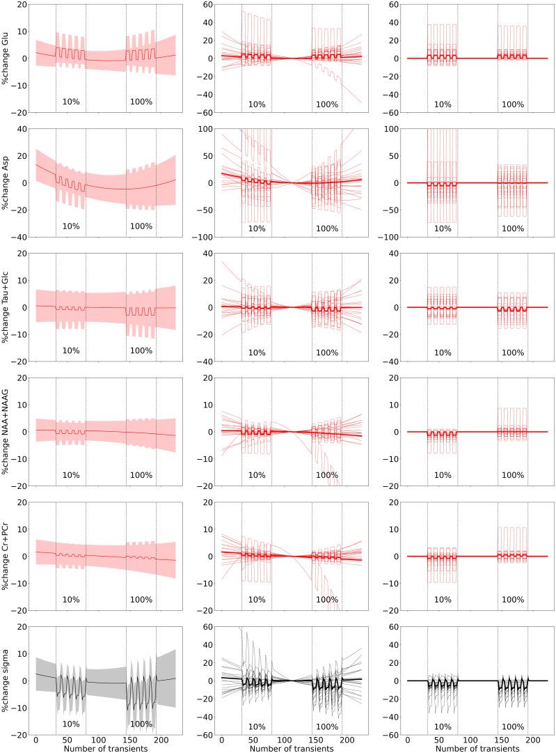
Functional magnetic resonance spectroscopy (fMRS) is a non-invasive technique for measuring dynamic changes in neurometabolites. While previous studies have observed concentration changes in metabolites during neural activation, the relationship between neurometabolite response and stimulus intensity and timing requires further investigation. To address this, we conducted an interleaved fMRS and functional magnetic resonance imaging (fMRI) experiment using a visual stimulus with varying contrast levels. A total of 20 datasets were acquired on a 7T MRI scanner. The visual task consisted of two STIM blocks (30 s/20 s ON/OFF, 4 min), with 10% or 100% contrast, interleaved with a 5 min REST block. A dynamic fitting approach was used for fMRS data analysis. For metabolite level changes, the STIM conditions were modeled in two different ways: either considering the full STIM block as active condition (full-block model) or only modeling the ON blocks as active condition (sub-block model). For linewidth changes due to the BOLD effect, STIM conditions were modeled using the sub-block model. For both models, we observed significant increases in glutamate levels for both the 10% and 100% visual contrasts, but no significant difference between the contrasts. Decreases in aspartate, and glucose, and increases in total N-acetylaspartate and total creatine were also detected, although less consistently across both 10% and 100% visual contrasts. BOLD-driven linewidth decreases and fMRI-derived BOLD increases within the MRS voxel were observed at both 10% and 100% contrasts, with larger changes at 100% compared to 10% in the fMRI-derived BOLD only. We observed a non-linear relation between visual contrast, the BOLD response, and the glutamate response. Our study highlights the potential of fMRS as a complementary technique to BOLD fMRI for investigating the complex interplay between visual contrast, neural activity, and neurometabolism. Future studies should further explore the temporal response profiles of different neurometabolites and refine the statistical models used for fMRS analysis.

摘要

功能磁共振波谱成像(fMRS)是一种用于测量神经代谢物动态变化的非侵入性技术。虽然先前的研究已经观察到神经激活过程中代谢物浓度的变化,但神经代谢物反应与刺激强度和时间之间的关系仍需进一步研究。为了解决这个问题,我们使用具有不同对比度水平的视觉刺激进行了一项交错式fMRS和功能磁共振成像(fMRI)实验。在一台7T磁共振成像扫描仪上共采集了20个数据集。视觉任务由两个刺激块(开启/关闭时间为30秒/20秒,共4分钟)组成,对比度为10%或100%,并与一个5分钟的静息块交错进行。采用动态拟合方法对fMRS数据进行分析。对于代谢物水平变化,刺激条件以两种不同方式建模:要么将整个刺激块视为活动条件(全块模型),要么仅将开启块建模为活动条件(子块模型)。对于由于血氧水平依赖(BOLD)效应导致的线宽变化,刺激条件使用子块模型进行建模。对于这两种模型,我们观察到在10%和100%视觉对比度下谷氨酸水平均显著升高,但对比度之间无显著差异。还检测到天冬氨酸和葡萄糖水平降低,以及总N-乙酰天门冬氨酸和总肌酸水平升高,不过在10%和100%视觉对比度下的一致性较差。在10%和100%对比度下均观察到MRS体素内BOLD驱动的线宽减小和fMRI衍生的BOLD增加,仅fMRI衍生的BOLD在100%对比度下的变化比10%时更大。我们观察到视觉对比度、BOLD反应和谷氨酸反应之间存在非线性关系。我们的研究突出了fMRS作为BOLD fMRI的补充技术在研究视觉对比度、神经活动和神经代谢之间复杂相互作用方面的潜力。未来的研究应进一步探索不同神经代谢物的时间反应特征,并完善用于fMRS分析的统计模型。

https://cdn.ncbi.nlm.nih.gov/pmc/blobs/05b3/12007529/99175f57684e/imag_a_00031_fig5.jpg
https://cdn.ncbi.nlm.nih.gov/pmc/blobs/05b3/12007529/96d6916adfb2/imag_a_00031_fig1.jpg
https://cdn.ncbi.nlm.nih.gov/pmc/blobs/05b3/12007529/830709210fbd/imag_a_00031_fig2.jpg
https://cdn.ncbi.nlm.nih.gov/pmc/blobs/05b3/12007529/be0110534ea4/imag_a_00031_fig3.jpg
https://cdn.ncbi.nlm.nih.gov/pmc/blobs/05b3/12007529/c6e2481f88c5/imag_a_00031_fig4.jpg
https://cdn.ncbi.nlm.nih.gov/pmc/blobs/05b3/12007529/99175f57684e/imag_a_00031_fig5.jpg
https://cdn.ncbi.nlm.nih.gov/pmc/blobs/05b3/12007529/96d6916adfb2/imag_a_00031_fig1.jpg
https://cdn.ncbi.nlm.nih.gov/pmc/blobs/05b3/12007529/830709210fbd/imag_a_00031_fig2.jpg
https://cdn.ncbi.nlm.nih.gov/pmc/blobs/05b3/12007529/be0110534ea4/imag_a_00031_fig3.jpg
https://cdn.ncbi.nlm.nih.gov/pmc/blobs/05b3/12007529/c6e2481f88c5/imag_a_00031_fig4.jpg
https://cdn.ncbi.nlm.nih.gov/pmc/blobs/05b3/12007529/99175f57684e/imag_a_00031_fig5.jpg

相似文献

1
A 7T interleaved fMRS and fMRI study on visual contrast dependency in the human brain.一项关于人脑视觉对比度依赖性的7T交错式功能磁共振波谱成像和功能磁共振成像研究。
Imaging Neurosci (Camb). 2023 Nov 17;1. doi: 10.1162/imag_a_00031. eCollection 2023.
2
Prescription of Controlled Substances: Benefits and Risks管制药品的处方:益处与风险
3
Combining frequency navigator and optical prospective motion correction for functional MRS during motor activation at 3 T: A feasibility study.3T下运动激活期间用于功能磁共振波谱成像的频率导航器与光学前瞻性运动校正相结合:一项可行性研究。
Med Phys. 2025 Jul;52(7):e17861. doi: 10.1002/mp.17861. Epub 2025 May 2.
4
Magnetic resonance perfusion for differentiating low-grade from high-grade gliomas at first presentation.首次就诊时磁共振灌注成像用于鉴别低级别与高级别胶质瘤
Cochrane Database Syst Rev. 2018 Jan 22;1(1):CD011551. doi: 10.1002/14651858.CD011551.pub2.
5
Systemic pharmacological treatments for chronic plaque psoriasis: a network meta-analysis.慢性斑块状银屑病的全身药理学治疗:一项网状荟萃分析。
Cochrane Database Syst Rev. 2017 Dec 22;12(12):CD011535. doi: 10.1002/14651858.CD011535.pub2.
6
Sympathetic nerve blocks for persistent pain in adults with inoperable abdominopelvic cancer.成人无法手术的腹盆腔癌症持续性疼痛的交感神经阻滞。
Cochrane Database Syst Rev. 2024 Jun 6;6(6):CD015229. doi: 10.1002/14651858.CD015229.pub2.
7
Systemic pharmacological treatments for chronic plaque psoriasis: a network meta-analysis.系统性药理学治疗慢性斑块状银屑病:网络荟萃分析。
Cochrane Database Syst Rev. 2021 Apr 19;4(4):CD011535. doi: 10.1002/14651858.CD011535.pub4.
8
Systemic pharmacological treatments for chronic plaque psoriasis: a network meta-analysis.慢性斑块状银屑病的全身药理学治疗:一项网状Meta分析。
Cochrane Database Syst Rev. 2020 Jan 9;1(1):CD011535. doi: 10.1002/14651858.CD011535.pub3.
9
Functional magnetic resonance spectroscopy of prolonged motor activation using conventional and spectral GLM analyses.使用传统和频谱广义线性模型分析对长时间运动激活进行功能磁共振波谱分析。
Imaging Neurosci (Camb). 2025 Jan 24;3. doi: 10.1162/imag_a_00452. eCollection 2025.
10
Functional Magnetic Resonance Spectroscopy of Prolonged Motor Activation using Conventional and Spectral GLM Analyses.使用传统和频谱广义线性模型分析对长时间运动激活进行功能磁共振波谱分析。
bioRxiv. 2024 May 15:2024.05.15.594270. doi: 10.1101/2024.05.15.594270.

引用本文的文献

1
Inhibitory mechanisms in the prefrontal-cortex differentially mediate Putamen activity during valence-based learning.前额叶皮质中的抑制机制在基于效价的学习过程中差异介导壳核活动。
bioRxiv. 2024 Sep 26:2024.07.29.605168. doi: 10.1101/2024.07.29.605168.

本文引用的文献

1
Event-related functional magnetic resonance spectroscopy.事件相关功能磁共振波谱。
Neuroimage. 2023 Aug 1;276:120194. doi: 10.1016/j.neuroimage.2023.120194. Epub 2023 May 26.
2
A mean-field model of glutamate and GABA synaptic dynamics for functional MRS.用于功能磁共振波谱学的谷氨酸和 GABA 突触动力学的平均场模型。
Neuroimage. 2023 Feb 1;266:119813. doi: 10.1016/j.neuroimage.2022.119813. Epub 2022 Dec 14.
3
The future is 2D: spectral-temporal fitting of dynamic MRS data provides exponential gains in precision over conventional approaches.
未来是二维的:动态 MRS 数据的光谱-时间拟合比传统方法提供了指数级的精度增益。
Magn Reson Med. 2023 Feb;89(2):499-507. doi: 10.1002/mrm.29456. Epub 2022 Sep 19.
4
NIfTI-MRS: A standard data format for magnetic resonance spectroscopy.NIfTI-MRS:磁共振波谱的标准数据格式。
Magn Reson Med. 2022 Dec;88(6):2358-2370. doi: 10.1002/mrm.29418. Epub 2022 Sep 11.
5
Novel materials in magnetic resonance imaging: high permittivity ceramics, metamaterials, metasurfaces and artificial dielectrics.磁共振成像中的新型材料:高介电常数陶瓷、超材料、超表面和人工电介质。
MAGMA. 2022 Dec;35(6):875-894. doi: 10.1007/s10334-022-01007-5. Epub 2022 Apr 26.
6
Perception is associated with the brain's metabolic response to sensory stimulation.感知与大脑对感官刺激的代谢反应有关。
Elife. 2022 Feb 28;11:e71016. doi: 10.7554/eLife.71016.
7
Human brain functional MRS reveals interplay of metabolites implicated in neurotransmission and neuroenergetics.人体大脑功能磁共振波谱揭示了神经递质和神经能量代谢物之间相互作用。
J Cereb Blood Flow Metab. 2022 Jun;42(6):911-934. doi: 10.1177/0271678X221076570. Epub 2022 Jan 26.
8
High temporal resolution functional magnetic resonance spectroscopy in the mouse upon visual stimulation.在视觉刺激下对小鼠进行高时间分辨率功能磁共振波谱成像。
Neuroimage. 2021 Jul 1;234:117973. doi: 10.1016/j.neuroimage.2021.117973. Epub 2021 Mar 21.
9
Minimum Reporting Standards for in vivo Magnetic Resonance Spectroscopy (MRSinMRS): Experts' consensus recommendations.体内磁共振波谱学(MRSinMRS)最低报告标准:专家共识建议。
NMR Biomed. 2021 May;34(5):e4484. doi: 10.1002/nbm.4484. Epub 2021 Feb 9.
10
FSL-MRS: An end-to-end spectroscopy analysis package.FSL-MRS:一个端到端的光谱分析软件包。
Magn Reson Med. 2021 Jun;85(6):2950-2964. doi: 10.1002/mrm.28630. Epub 2020 Dec 6.