• 文献检索
  • 文档翻译
  • 深度研究
  • 学术资讯
  • Suppr Zotero 插件Zotero 插件
  • 邀请有礼
  • 套餐&价格
  • 历史记录
应用&插件
Suppr Zotero 插件Zotero 插件浏览器插件Mac 客户端Windows 客户端微信小程序
定价
高级版会员购买积分包购买API积分包
服务
文献检索文档翻译深度研究API 文档MCP 服务
关于我们
关于 Suppr公司介绍联系我们用户协议隐私条款
关注我们

Suppr 超能文献

核心技术专利:CN118964589B侵权必究
粤ICP备2023148730 号-1Suppr @ 2026

文献检索

告别复杂PubMed语法,用中文像聊天一样搜索,搜遍4000万医学文献。AI智能推荐,让科研检索更轻松。

立即免费搜索

文件翻译

保留排版,准确专业,支持PDF/Word/PPT等文件格式,支持 12+语言互译。

免费翻译文档

深度研究

AI帮你快速写综述,25分钟生成高质量综述,智能提取关键信息,辅助科研写作。

立即免费体验

从临床角度评估马胃溃疡的唾液生物标志物

Assessment of Salivary Biomarkers of Gastric Ulcer in Horses from a Clinical Perspective.

作者信息

Matas-Quintanilla Marta, Whitacre Lynsey, Ipharraguerre Ignacio R, Gutiérrez-Panizo Cándido, Gutiérrez Ana M

机构信息

Department of Animal Medicine and Surgery, Regional Campus of International Excellence "Campus Mare Nostrum", University of Murcia, Espinardo, 30100 Murcia, Spain.

BioZyme Inc., St. Joseph, MO 64504, USA.

出版信息

Animals (Basel). 2025 Jul 31;15(15):2251. doi: 10.3390/ani15152251.

DOI:10.3390/ani15152251
PMID:40805041
原文链接:https://pmc.ncbi.nlm.nih.gov/articles/PMC12345524/
Abstract

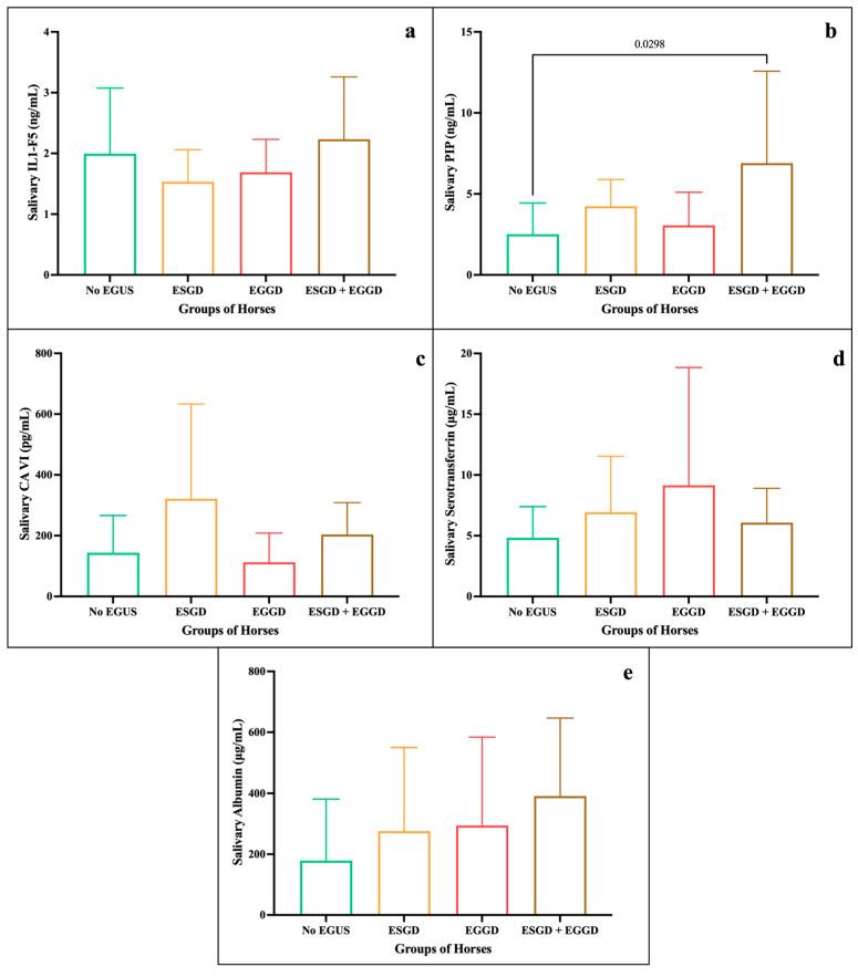
This study arises from the search for non-invasive diagnostic alternatives for equine gastric ulceration (EGUS), which is prevalent, clinically variable and only confirmed by gastroscopy. The aim is to quantify five salivary biomarkers (IL1-F5, PIP, CA VI, serotransferrin, albumin) under clinical conditions by validated assays and analyse their diagnostic value. Horses were grouped in No EGUS (neither clinical signs of EGUS nor gastric lesions), EGUS non-clinical (apparently no clinical signs of EGUS but with gastric lesions), and EGUS clinical (obvious clinical signs of EGUS and with gastric lesions). The concentration of 5 analytes could be quantified using sandwich ELISA assays, with high precision (CV: 6.79-12.38%) and accuracy (>95%). Mean salivary levels of IL1-F5, CA-VI, serotransferrin and albumin were significantly higher in EGUS clinical horses compared to No EGUS horses, whereas PIP showed no statistical significance. EGUS non-clinical horses showed statistical differences with No EGUS horses for PIP and albumin. In addition, IL1-F5, CA-VI, serotransferrin and albumin showed moderate accuracy to distinguish between No EGUS and EGUS clinical horses (AUC ≥ 0.8), with sensitivity and specificity greater than 77% and 65%, respectively. Therefore, these biomarkers could be a promising starting point for screening horse that might have EGUS in practice.

摘要

本研究源于对马胃溃疡(EGUS)非侵入性诊断方法的探索,EGUS较为常见,临床表现多样,且仅能通过胃镜检查确诊。目的是通过经过验证的检测方法,在临床条件下对五种唾液生物标志物(IL1-F5、PIP、CA VI、血清转铁蛋白、白蛋白)进行定量,并分析其诊断价值。马匹被分为无EGUS组(既无EGUS的临床症状,也无胃部病变)、非临床EGUS组(表面上无EGUS的临床症状,但有胃部病变)和临床EGUS组(有明显的EGUS临床症状且有胃部病变)。使用夹心ELISA检测法可以对5种分析物的浓度进行定量,具有高精度(变异系数:6.79 - 12.38%)和高准确度(>95%)。与无EGUS组的马匹相比,临床EGUS组马匹的IL1-F5、CA-VI、血清转铁蛋白和白蛋白的唾液平均水平显著更高,而PIP则无统计学意义。非临床EGUS组马匹在PIP和白蛋白方面与无EGUS组马匹存在统计学差异。此外,IL1-F5、CA-VI、血清转铁蛋白和白蛋白在区分无EGUS组和临床EGUS组马匹方面显示出中等准确度(曲线下面积≥0.8),敏感性和特异性分别大于77%和65%。因此,这些生物标志物可能是在实践中筛查可能患有EGUS马匹的一个有前景的起点。

https://cdn.ncbi.nlm.nih.gov/pmc/blobs/67ac/12345524/dbb04761d023/animals-15-02251-g005.jpg
https://cdn.ncbi.nlm.nih.gov/pmc/blobs/67ac/12345524/d41d1ab3f3c5/animals-15-02251-g001.jpg
https://cdn.ncbi.nlm.nih.gov/pmc/blobs/67ac/12345524/812ec3ea0c4f/animals-15-02251-g002.jpg
https://cdn.ncbi.nlm.nih.gov/pmc/blobs/67ac/12345524/d46396715af6/animals-15-02251-g003.jpg
https://cdn.ncbi.nlm.nih.gov/pmc/blobs/67ac/12345524/9819edacb2c3/animals-15-02251-g004.jpg
https://cdn.ncbi.nlm.nih.gov/pmc/blobs/67ac/12345524/dbb04761d023/animals-15-02251-g005.jpg
https://cdn.ncbi.nlm.nih.gov/pmc/blobs/67ac/12345524/d41d1ab3f3c5/animals-15-02251-g001.jpg
https://cdn.ncbi.nlm.nih.gov/pmc/blobs/67ac/12345524/812ec3ea0c4f/animals-15-02251-g002.jpg
https://cdn.ncbi.nlm.nih.gov/pmc/blobs/67ac/12345524/d46396715af6/animals-15-02251-g003.jpg
https://cdn.ncbi.nlm.nih.gov/pmc/blobs/67ac/12345524/9819edacb2c3/animals-15-02251-g004.jpg
https://cdn.ncbi.nlm.nih.gov/pmc/blobs/67ac/12345524/dbb04761d023/animals-15-02251-g005.jpg

相似文献

1
Assessment of Salivary Biomarkers of Gastric Ulcer in Horses from a Clinical Perspective.从临床角度评估马胃溃疡的唾液生物标志物
Animals (Basel). 2025 Jul 31;15(15):2251. doi: 10.3390/ani15152251.
2
Prescription of Controlled Substances: Benefits and Risks管制药品的处方:益处与风险
3
Signs and symptoms to determine if a patient presenting in primary care or hospital outpatient settings has COVID-19.在基层医疗机构或医院门诊环境中,如果患者出现以下症状和体征,可判断其是否患有 COVID-19。
Cochrane Database Syst Rev. 2022 May 20;5(5):CD013665. doi: 10.1002/14651858.CD013665.pub3.
4
Blood biomarkers for the non-invasive diagnosis of endometriosis.用于子宫内膜异位症无创诊断的血液生物标志物。
Cochrane Database Syst Rev. 2016 May 1;2016(5):CD012179. doi: 10.1002/14651858.CD012179.
5
Automated devices for identifying peripheral arterial disease in people with leg ulceration: an evidence synthesis and cost-effectiveness analysis.用于识别下肢溃疡患者外周动脉疾病的自动化设备:证据综合和成本效益分析。
Health Technol Assess. 2024 Aug;28(37):1-158. doi: 10.3310/TWCG3912.
6
Comparison of Two Modern Survival Prediction Tools, SORG-MLA and METSSS, in Patients With Symptomatic Long-bone Metastases Who Underwent Local Treatment With Surgery Followed by Radiotherapy and With Radiotherapy Alone.两种现代生存预测工具 SORG-MLA 和 METSSS 在接受手术联合放疗和单纯放疗治疗有症状长骨转移患者中的比较。
Clin Orthop Relat Res. 2024 Dec 1;482(12):2193-2208. doi: 10.1097/CORR.0000000000003185. Epub 2024 Jul 23.
7
Diagnostic accuracy of endoscopic ultrasonography (EUS) for the preoperative locoregional staging of primary gastric cancer.内镜超声检查(EUS)对原发性胃癌术前局部区域分期的诊断准确性。
Cochrane Database Syst Rev. 2015 Feb 6;2015(2):CD009944. doi: 10.1002/14651858.CD009944.pub2.
8
Systemic pharmacological treatments for chronic plaque psoriasis: a network meta-analysis.系统性药理学治疗慢性斑块状银屑病:网络荟萃分析。
Cochrane Database Syst Rev. 2021 Apr 19;4(4):CD011535. doi: 10.1002/14651858.CD011535.pub4.
9
[Volume and health outcomes: evidence from systematic reviews and from evaluation of Italian hospital data].[容量与健康结果:来自系统评价和意大利医院数据评估的证据]
Epidemiol Prev. 2013 Mar-Jun;37(2-3 Suppl 2):1-100.
10
Systemic pharmacological treatments for chronic plaque psoriasis: a network meta-analysis.慢性斑块状银屑病的全身药理学治疗:一项网状荟萃分析。
Cochrane Database Syst Rev. 2017 Dec 22;12(12):CD011535. doi: 10.1002/14651858.CD011535.pub2.

本文引用的文献

1
Assessing the inflammatory response in horses undergoing gastric ulceration using salivary ADA and S100A12 as biomarkers.使用唾液ADA和S100A12作为生物标志物评估患胃溃疡马匹的炎症反应。
Res Vet Sci. 2025 Jul;190:105667. doi: 10.1016/j.rvsc.2025.105667. Epub 2025 Apr 22.
2
Iron-related markers of inflammation in horses with colic.患急腹症马匹中与铁相关的炎症标志物。
J Equine Vet Sci. 2024 Mar;134:105010. doi: 10.1016/j.jevs.2024.105010. Epub 2024 Jan 28.
3
Changes in the saliva proteome analysed by gel-proteomics in horses diagnosed with equine gastric ulcer syndrome (EGUS) at diagnosis and after successful treatment.
通过凝胶蛋白质组学分析,在诊断为马属动物溃疡综合征(EGUS)和成功治疗后的马的唾液蛋白质组中发生的变化。
Res Vet Sci. 2024 Feb;167:105112. doi: 10.1016/j.rvsc.2023.105112. Epub 2023 Dec 15.
4
Prognostic Role of Prolactin-Induced Protein (PIP) in Breast Cancer.催乳素诱导蛋白(PIP)在乳腺癌中的预后作用
Cells. 2023 Sep 11;12(18):2252. doi: 10.3390/cells12182252.
5
Equine Gastric Ulcer Syndrome affects fitness parameters in poorly performing Standardbred racehorses.马胃溃疡综合征影响表现不佳的标准赛马的健康参数。
Front Vet Sci. 2022 Nov 25;9:1014619. doi: 10.3389/fvets.2022.1014619. eCollection 2022.
6
Changes in Proteins in Saliva and Serum in Equine Gastric Ulcer Syndrome Using a Proteomic Approach.采用蛋白质组学方法研究马胃溃疡综合征唾液和血清中的蛋白质变化
Animals (Basel). 2022 May 2;12(9):1169. doi: 10.3390/ani12091169.
7
Equine gastric ulcer syndrome in adult horses.马属动物成年动物的胃溃疡综合征。
Vet J. 2022 May-Jun;283-284:105830. doi: 10.1016/j.tvjl.2022.105830. Epub 2022 Apr 25.
8
The Contribution of Specific and Nonspecific Biomarkers in Diagnosis of Equine Gastric Ulcer Syndrome (EGUS) Under Field Condition.特定和非特定生物标志物在野外条件下对马胃溃疡综合征(EGUS)诊断中的作用。
J Equine Vet Sci. 2020 Jan;84:102853. doi: 10.1016/j.jevs.2019.102853. Epub 2019 Nov 14.
9
Searching for serum protein markers of equine squamous gastric disease using gel electrophoresis and mass spectrometry.采用凝胶电泳和质谱技术筛选马属动物鳞状胃疾病的血清蛋白标志物。
Equine Vet J. 2019 Sep;51(5):581-586. doi: 10.1111/evj.13068. Epub 2019 Feb 7.
10
Blood contamination in salivary diagnostics: current methods and their limitations.唾液诊断中的血液污染:当前方法及其局限性。
Clin Chem Lab Med. 2019 Jul 26;57(8):1115-1124. doi: 10.1515/cclm-2018-0739.