Frymark Justyna, Zabiszak Michał, Grajewski Jakub, Tylkowski Bartosz, Jastrzab Renata
Faculty of Chemistry, Adam Mickiewicz University in Poznan, Uniwersytetu Poznańskiego 8, 61-614 Poznan, Poland.
Eurecat, Centre Tecnològic de Catalunya, Unitat de Tecnologia Química, Marcellí Domingo 2, 43007 Tarragona, Spain.
Int J Mol Sci. 2025 Aug 6;26(15):7605. doi: 10.3390/ijms26157605.
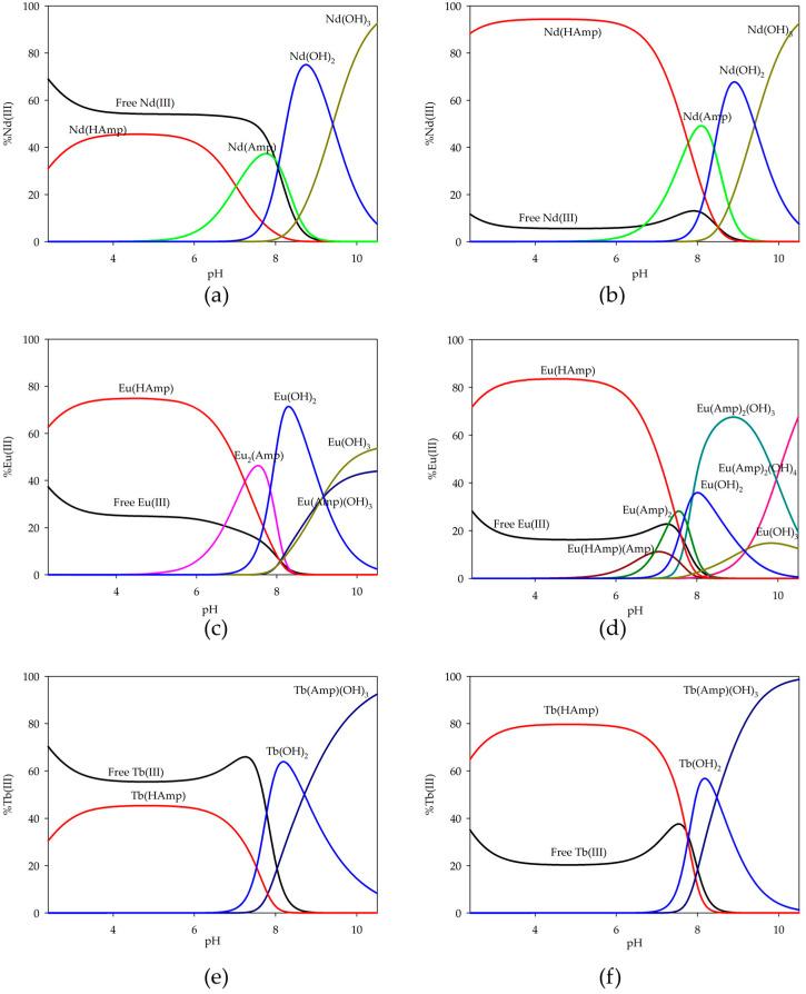
Metal ions, including Mg(II), Ca(II), Sr(II), Co(II), Ni(II), Cu(II), Nd(III), Eu(III), and Tb(III), were investigated in binary systems alongside ampicillin at molar ratios of 1:1 and 1:2. These investigations were carried out in aqueous solutions, and the formation of complexes was verified through meticulous computational analysis. Detailed stability constants for the formed complexes and equilibrium constants for the involved reactions were meticulously determined. Furthermore, a comprehensive examination of the impact of ligand concentration on the configuration of the central metal atom's coordination sphere was conducted. This investigation was complemented by spectroscopic measurements, which effectively confirmed the observed changes in the coordination sphere of the metal ions.
研究了包括Mg(II)、Ca(II)、Sr(II)、Co(II)、Ni(II)、Cu(II)、Nd(III)、Eu(III)和Tb(III)在内的金属离子与氨苄青霉素在二元体系中的摩尔比为1:1和1:2的情况。这些研究在水溶液中进行,并通过细致的计算分析验证了配合物的形成。精心测定了所形成配合物的详细稳定常数以及相关反应的平衡常数。此外,还全面考察了配体浓度对中心金属原子配位球构型的影响。这项研究通过光谱测量得到补充,光谱测量有效地证实了金属离子配位球中观察到的变化。