Suppr超能文献

饮食模式对心血管疾病患者生存结局的影响。

Impact of dietary patterns on the survival outcomes of patients with cardiovascular disease.

作者信息

Sun Jinyu, Jiang Xingyu, Li Zheng, Shen Yang

机构信息

Department of Cardiology, Suzhou Ninth People's Hospital, Suzhou Ninth Hospital Affiliated to Soochow University, Suzhou, China.

Gusu School, Nanjing Medical University, Suzhou, China.

出版信息

Front Nutr. 2025 Jul 30;12:1535174. doi: 10.3389/fnut.2025.1535174. eCollection 2025.

Abstract

BACKGROUND

This study examines the association between dietary patterns and survival outcomes in patients with cardiovascular disease (CVD).

METHODS

A total of 9,101 adults with CVD from the 2005-2018 National Health and Nutrition Examination Survey were included. Dietary patterns were evaluated using five indices: the Alternative Healthy Eating Index (AHEI), Dietary Approaches to Stop Hypertension (DASH), Dietary Inflammatory Index (DII), Healthy Eating Index-2020 (HEI-2020), and the Alternative Mediterranean Diet Score (aMED). Associations between dietary indices and all-cause mortality were assessed using Kaplan-Meier survival analysis, weighted Cox regression models, and restricted cubic spline analyses. Predictive performance was evaluated using time-dependent receiver operating characteristic (Time-ROC) curves.

RESULTS

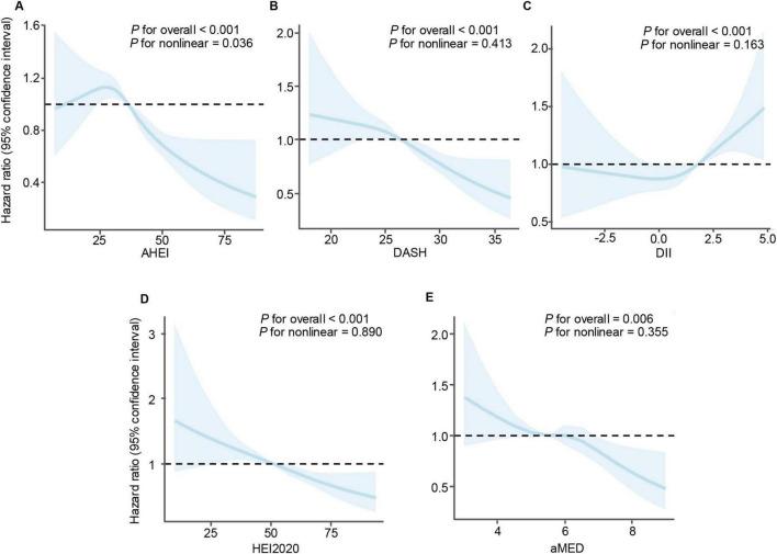
After a median follow-up of 7 years, 1,225 deaths were recorded. Survivors had higher AHEI, DASH scores, and lower DII scores. Kaplan-Meier analysis suggested better survival outcomes associated with higher adherence to healthier dietary patterns (AHEI, DASH, HEI-2020, aMED) and lower adherence to pro-inflammatory diets (DII). Weighted Cox regression revealed significant associations between higher scores on AHEI, DASH, HEI-2020, and aMED and reduced mortality risk (highest vs. lowest tertile HRs: 0.59, 0.73, 0.65, and 0.75, respectively; all < 0.05). Conversely, higher DII scores were associated with increased mortality risk, with the highest tertile showing significantly elevated risk compared to the lowest tertile (HR = 1.58, 95% CI: 1.21-2.06; < 0.001). Restricted cubic spline analyses identified a significant non-linear relationship between AHEI scores and mortality (P = 0.036), while other indices exhibited linear associations. Time-ROC analysis indicated that dietary indices maintain relatively consistent predictive effectiveness for mortality risk over time.

CONCLUSION

Improved healthy dietary patterns could potentially reduce mortality risk in CVD patients, underscoring the need for dietary quality enhancement in managing CVD.

摘要

背景

本研究探讨心血管疾病(CVD)患者的饮食模式与生存结局之间的关联。

方法

纳入了2005 - 2018年国家健康与营养检查调查中的9101名患有CVD的成年人。使用五个指标评估饮食模式:替代健康饮食指数(AHEI)、终止高血压饮食方法(DASH)、饮食炎症指数(DII)、健康饮食指数 - 2020(HEI - 2020)和替代地中海饮食评分(aMED)。使用Kaplan - Meier生存分析、加权Cox回归模型和受限立方样条分析评估饮食指标与全因死亡率之间的关联。使用时间依赖性受试者工作特征(Time - ROC)曲线评估预测性能。

结果

中位随访7年后,记录了1225例死亡病例。存活者的AHEI、DASH评分较高,DII评分较低。Kaplan - Meier分析表明,更严格遵循更健康的饮食模式(AHEI、DASH、HEI - 2020、aMED)和更低程度遵循促炎饮食(DII)与更好的生存结局相关。加权Cox回归显示,AHEI、DASH、HEI - 2020和aMED得分较高与死亡风险降低之间存在显著关联(最高三分位数与最低三分位数的HR分别为:0.59、0.73、0.65和0.75;均P < 0.05)。相反,DII得分较高与死亡风险增加相关,最高三分位数与最低三分位数相比风险显著升高(HR = 1.58,95% CI:1.21 - 2.06;P < 0.001)。受限立方样条分析确定AHEI得分与死亡率之间存在显著的非线性关系(P = 0.036),而其他指标呈现线性关联。Time - ROC分析表明,饮食指标对死亡风险的预测有效性随时间保持相对一致。

结论

改善健康饮食模式可能潜在降低CVD患者的死亡风险,强调在管理CVD时提高饮食质量的必要性。

https://cdn.ncbi.nlm.nih.gov/pmc/blobs/535c/12343251/6011485f0ae2/fnut-12-1535174-g001.jpg

文献AI研究员

20分钟写一篇综述,助力文献阅读效率提升50倍。

立即体验

用中文搜PubMed

大模型驱动的PubMed中文搜索引擎

马上搜索

文档翻译

学术文献翻译模型,支持多种主流文档格式。

立即体验