• 文献检索
  • 文档翻译
  • 深度研究
  • 学术资讯
  • Suppr Zotero 插件Zotero 插件
  • 邀请有礼
  • 套餐&价格
  • 历史记录
应用&插件
Suppr Zotero 插件Zotero 插件浏览器插件Mac 客户端Windows 客户端微信小程序
定价
高级版会员购买积分包购买API积分包
服务
文献检索文档翻译深度研究API 文档MCP 服务
关于我们
关于 Suppr公司介绍联系我们用户协议隐私条款
关注我们

Suppr 超能文献

核心技术专利:CN118964589B侵权必究
粤ICP备2023148730 号-1Suppr @ 2026

文献检索

告别复杂PubMed语法,用中文像聊天一样搜索,搜遍4000万医学文献。AI智能推荐,让科研检索更轻松。

立即免费搜索

文件翻译

保留排版,准确专业,支持PDF/Word/PPT等文件格式,支持 12+语言互译。

免费翻译文档

深度研究

AI帮你快速写综述,25分钟生成高质量综述,智能提取关键信息,辅助科研写作。

立即免费体验

权衡选择:社区获得性肺炎重症患者的经验性抗生素使用及管理机会

Weighing options: empiric antibiotic use and stewardship opportunities in critically ill patients with community-acquired pneumonia.

作者信息

Trujillo Nalea, Diep Calvin, Ha David, Garcia Ariadna, Holubar Marisa

机构信息

Department of Pharmacy, Stanford Health Care, Stanford, CA, USA.

Division of Infectious Diseases and Geographic Medicine, Stanford University School of Medicine, Stanford, CA, USA.

出版信息

Antimicrob Steward Healthc Epidemiol. 2025 Aug 7;5(1):e180. doi: 10.1017/ash.2025.10082. eCollection 2025.

DOI:10.1017/ash.2025.10082
PMID:40808903
原文链接:https://pmc.ncbi.nlm.nih.gov/articles/PMC12345047/
Abstract

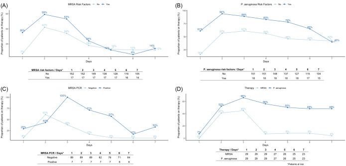
In this retrospective study, critically ill patients with community-acquired pneumonia frequently received empiric anti-methicillin-resistant Staphylococcus aureus (MRSA) and antipseudomonal antibiotics despite having few or no guidelines-endorsed risk factors. De-escalation of anti-MRSA therapy was quicker, likely aided by MRSA polymerase chain reaction assays.

摘要

在这项回顾性研究中,社区获得性肺炎的重症患者尽管几乎没有或完全没有指南认可的风险因素,但仍经常接受经验性抗耐甲氧西林金黄色葡萄球菌(MRSA)和抗假单胞菌抗生素治疗。抗MRSA治疗的降阶梯更快,这可能得益于MRSA聚合酶链反应检测。

https://cdn.ncbi.nlm.nih.gov/pmc/blobs/2260/12345047/80585f23bf11/S2732494X2510082X_fig2.jpg
https://cdn.ncbi.nlm.nih.gov/pmc/blobs/2260/12345047/776b22e4d751/S2732494X2510082X_fig1.jpg
https://cdn.ncbi.nlm.nih.gov/pmc/blobs/2260/12345047/80585f23bf11/S2732494X2510082X_fig2.jpg
https://cdn.ncbi.nlm.nih.gov/pmc/blobs/2260/12345047/776b22e4d751/S2732494X2510082X_fig1.jpg
https://cdn.ncbi.nlm.nih.gov/pmc/blobs/2260/12345047/80585f23bf11/S2732494X2510082X_fig2.jpg

相似文献

1
Weighing options: empiric antibiotic use and stewardship opportunities in critically ill patients with community-acquired pneumonia.权衡选择:社区获得性肺炎重症患者的经验性抗生素使用及管理机会
Antimicrob Steward Healthc Epidemiol. 2025 Aug 7;5(1):e180. doi: 10.1017/ash.2025.10082. eCollection 2025.
2
Trends in Empiric Broad-Spectrum Antibiotic Use for Suspected Community-Onset Sepsis in US Hospitals.美国医院疑似社区获得性败血症经验性广谱抗生素使用趋势。
JAMA Netw Open. 2024 Jun 3;7(6):e2418923. doi: 10.1001/jamanetworkopen.2024.18923.
3
Implementation of Methicillin-Resistant (MRSA) Nasal Polymerase Chain Reaction (PCR) Screening in Pediatric Patients for De-escalation of Antibiotics.在儿科患者中实施耐甲氧西林金黄色葡萄球菌(MRSA)鼻腔聚合酶链反应(PCR)筛查以降低抗生素使用级别
J Pediatr Pharmacol Ther. 2025 Jun;30(3):347-351. doi: 10.5863/JPPT-24-00062. Epub 2025 Jun 9.
4
Community-acquired pneumonia caused by methicillin-resistant Staphylococcus aureus in critically-ill patients: systematic review.重症患者中耐甲氧西林金黄色葡萄球菌引起的社区获得性肺炎:系统评价
Farm Hosp. 2017 Mar 1;41(2):187-203. doi: 10.7399/fh.2017.41.2.10591.
5
Fatal Influenza B-MRSA Coinfection in a Healthy Adolescent: Necrotizing Pneumonia, Cytokine Storm, and Multi-Organ Failure.一名健康青少年的致命性乙型流感-耐甲氧西林金黄色葡萄球菌合并感染:坏死性肺炎、细胞因子风暴和多器官功能衰竭
Children (Basel). 2025 Jun 13;12(6):766. doi: 10.3390/children12060766.
6
Improving Empiric Antibiotic Selection for Patients Hospitalized With Skin and Soft Tissue Infection: The INSPIRE 3 Skin and Soft Tissue Randomized Clinical Trial.改善皮肤和软组织感染住院患者的经验性抗生素选择:INSPIRE 3皮肤和软组织随机临床试验
JAMA Intern Med. 2025 Apr 10. doi: 10.1001/jamainternmed.2025.0887.
7
Antibiotic de-escalation in pneumonia with pharmacist education and ordering of methicillin-resistant nasal swabs.肺炎患者的抗生素降阶梯治疗:药师教育和耐甲氧西林金黄色葡萄球菌鼻拭子的送检。
Eur J Hosp Pharm. 2024 Jun 21;31(4):327-331. doi: 10.1136/ejhpharm-2022-003504.
8
Ventilator-Associated Methicillin-Resistant Staphylococcus aureus (MRSA) Pneumonia in a Patient with a Negative MRSA Nasal Swab.呼吸机相关性耐甲氧西林金黄色葡萄球菌(MRSA)肺炎在 MRSA 鼻拭子阴性患者中的发生。
Am J Case Rep. 2023 Oct 14;24:e941088. doi: 10.12659/AJCR.941088.
9
Target Trial Emulation of Empiric Antibiotics on Clinical Outcomes in Moderately Immunocompromised Patients Hospitalized with Pneumonia.
Clin Infect Dis. 2025 Jul 2. doi: 10.1093/cid/ciaf344.
10
Antibiotic therapy for the treatment of methicillin-resistant Staphylococcus aureus (MRSA) in non surgical wounds.用于治疗非手术伤口耐甲氧西林金黄色葡萄球菌(MRSA)感染的抗生素疗法。
Cochrane Database Syst Rev. 2013 Nov 18;2013(11):CD010427. doi: 10.1002/14651858.CD010427.pub2.

本文引用的文献

1
Prevention and Treatment of Cancer-Related Infections, Version 3.2024, NCCN Clinical Practice Guidelines in Oncology.癌症相关感染的预防和治疗,第 3.2024 版,NCCN 肿瘤学临床实践指南。
J Natl Compr Canc Netw. 2024 Nov;22(9):617-644. doi: 10.6004/jnccn.2024.0056.
2
Effect of rapid methicillin-resistant Staphylococcus aureus nasal polymerase chain reaction screening on vancomycin use in the intensive care unit.快速检测耐甲氧西林金黄色葡萄球菌鼻拭子聚合酶链反应对重症监护病房万古霉素使用的影响。
Am J Health Syst Pharm. 2021 Dec 9;78(24):2236-2244. doi: 10.1093/ajhp/zxab296.
3
Risk Factor Evaluation for Methicillin-Resistant and in Community-Acquired Pneumonia.
社区获得性肺炎耐甲氧西林金黄色葡萄球菌和 感染的危险因素评估。
Ann Pharmacother. 2021 Jan;55(1):36-43. doi: 10.1177/1060028020935106. Epub 2020 Jun 16.
4
Determinants of empirical antipseudomonal antibiotic prescription for adults with pneumonia in the emergency department.急诊科成人肺炎患者经验性抗假单胞菌抗生素处方的决定因素。
BMC Pulm Med. 2020 Apr 3;20(1):83. doi: 10.1186/s12890-020-1115-0.
5
De-escalation of Empiric Antibiotics Following Negative Cultures in Hospitalized Patients With Pneumonia: Rates and Outcomes.肺炎住院患者培养结果为阴性后经验性抗生素的降阶梯治疗:发生率及结局
Clin Infect Dis. 2021 Apr 26;72(8):1314-1322. doi: 10.1093/cid/ciaa212.
6
Empirical Anti-MRSA vs Standard Antibiotic Therapy and Risk of 30-Day Mortality in Patients Hospitalized for Pneumonia.经验性抗耐甲氧西林金黄色葡萄球菌(MRSA)治疗与肺炎住院患者 30 天死亡率的关系。
JAMA Intern Med. 2020 Apr 1;180(4):552-560. doi: 10.1001/jamainternmed.2019.7495.
7
Diagnosis and Treatment of Adults with Community-acquired Pneumonia. An Official Clinical Practice Guideline of the American Thoracic Society and Infectious Diseases Society of America.成人社区获得性肺炎诊断和治疗。美国胸科学会和美国传染病学会的官方临床实践指南。
Am J Respir Crit Care Med. 2019 Oct 1;200(7):e45-e67. doi: 10.1164/rccm.201908-1581ST.
8
Variation in Empiric Coverage Versus Detection of Methicillin-Resistant Staphylococcus aureus and Pseudomonas aeruginosa in Hospitalizations for Community-Onset Pneumonia Across 128 US Veterans Affairs Medical Centers.美国128家退伍军人事务医疗中心社区获得性肺炎住院患者中,经验性抗菌覆盖范围与耐甲氧西林金黄色葡萄球菌和铜绿假单胞菌检测率的差异
Infect Control Hosp Epidemiol. 2017 Aug;38(8):937-944. doi: 10.1017/ice.2017.98. Epub 2017 Jun 21.
9
Antibiotic Therapy for Adults Hospitalized With Community-Acquired Pneumonia: A Systematic Review.成人社区获得性肺炎住院患者的抗生素治疗:系统评价。
JAMA. 2016 Feb 9;315(6):593-602. doi: 10.1001/jama.2016.0115.