Suppr超能文献

斑点追踪超声心动图用于预测特发性室颤中的心律失常

Speckle tracking echocardiography for prediction of arrhythmias in idiopathic ventricular fibrillation.

作者信息

Dinesen Rasmus B, Winsløw Ulrik Christian G, Vinther Michael, Philbert Berit Th, Biering-Sørensen Tor, Stampe Niels, Winkel Bo G, Tfelt-Hansen Jacob, Risum Niels

机构信息

Department of Cardiology, Copenhagen University Hospital, Rigshospitalet, Blegdamsvej 9, Copenhagen 2100, Denmark.

Cardiovascular Non-Invasive Imaging Research Laboratory, Department of Cardiology, Copenhagen University Hospital, Herlev and Gentofte, Denmark.

出版信息

Eur Heart J Imaging Methods Pract. 2025 Aug 13;3(2):qyaf099. doi: 10.1093/ehjimp/qyaf099. eCollection 2025 Jul.

Abstract

AIMS

Individuals experiencing a sudden cardiac arrest with ventricular fibrillation and no identifiable cause are diagnosed with idiopathic ventricular fibrillations (IVFs). 2D speckle tracking echocardiography (2DSTE) has been able to detect differences between IVF patients and controls. However, the association between these differences and the risk of ventricular arrhythmias (VAs) remains unknown.This study aimed to investigate whether parameters derived from myocardial deformation analysis using 2DSTE are associated with the recurrence of VA in IVF patients.

METHODS AND RESULTS

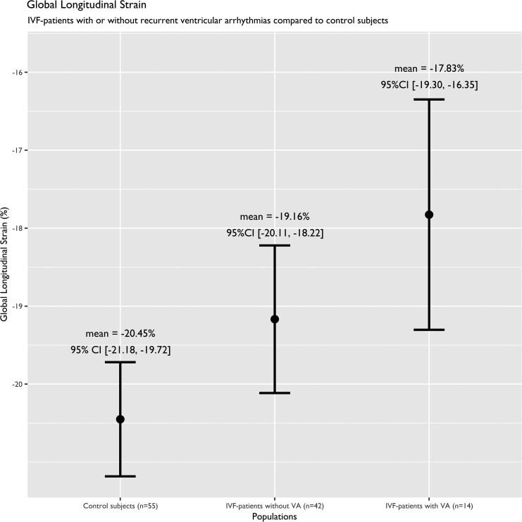
This single-centre, cross-sectional study enrolled IVF patients treated with an implantable cardioverter defibrillator. IVF patients were compared with healthy sex- and age-matched controls. Furthermore, IVF patients were categorized into two groups (IVF patients with or without recurrent VA) based on the recurrence of VA over a 5-year follow-up period. Left ventricular global longitudinal strain (LVGLS) and left ventricular mechanical dispersion (LVMD) were investigated using 2DSTE and compared across all groups. Fifty-six IVF patients, males 39 (69.9%), age 49 ± 15 years, and 55 controls were included. IVF patients showed significantly increased LVMD (35.78 ± 13.4 ms vs. 31.0 ± 9.8 ms; = 0.03) and decreased LVGLS (-18.8% ± 3.0% vs. -20.5% ± 2.7%; < 0.01) compared with controls. IVF patients with recurrent VA had significantly increased LVMD compared with IVF patients without recurrent VA (43.63 ± 13.63 vs. 33.16 ± 12.45; = 0.02).

CONCLUSION

IVF patients had an increased LVMD and decreased LVGLS compared with healthy controls. Increased LVMD was significantly associated with recurrent VA in IVF patients suggesting a potential clinical value in risk stratification of VA recurrency in IVF patients.

摘要

目的

经历心脏骤停且伴有心室颤动且无明确病因的个体被诊断为特发性心室颤动(IVF)。二维斑点追踪超声心动图(2DSTE)已能够检测出IVF患者与对照组之间的差异。然而,这些差异与室性心律失常(VA)风险之间的关联仍不清楚。本研究旨在调查使用2DSTE进行心肌变形分析得出的参数是否与IVF患者VA的复发相关。

方法与结果

这项单中心横断面研究纳入了接受植入式心脏复律除颤器治疗的IVF患者。将IVF患者与年龄和性别匹配的健康对照组进行比较。此外,根据5年随访期内VA的复发情况,将IVF患者分为两组(有或无复发性VA的IVF患者)。使用2DSTE研究左心室整体纵向应变(LVGLS)和左心室机械离散度(LVMD),并在所有组之间进行比较。纳入了56例IVF患者,其中男性39例(69.9%),年龄49±15岁,以及55例对照组。与对照组相比,IVF患者的LVMD显著增加(35.78±13.4毫秒对31.0±9.8毫秒;P=0.03),LVGLS降低(-18.8%±3.0%对-20.5%±2.7%;P<0.01)。与无复发性VA的IVF患者相比,有复发性VA的IVF患者的LVMD显著增加(43.63±13.63对33.16±12.45;P=0.02)。

结论

与健康对照组相比,IVF患者的LVMD增加,LVGLS降低。LVMD增加与IVF患者复发性VA显著相关,提示其在IVF患者VA复发风险分层中具有潜在的临床价值。

https://cdn.ncbi.nlm.nih.gov/pmc/blobs/c3e2/12344416/5fd6e66e60c4/qyaf099_ga.jpg

文献检索

告别复杂PubMed语法,用中文像聊天一样搜索,搜遍4000万医学文献。AI智能推荐,让科研检索更轻松。

立即免费搜索

文件翻译

保留排版,准确专业,支持PDF/Word/PPT等文件格式,支持 12+语言互译。

免费翻译文档

深度研究

AI帮你快速写综述,25分钟生成高质量综述,智能提取关键信息,辅助科研写作。

立即免费体验