Suppr超能文献

结合全基因组关联研究(GWAS)的多性状岭回归最佳线性无偏预测(BLUP)方法可提高对玉米单倍体诱导系单倍体诱导能力的基因组预测。

Multi-trait ridge regression BLUP with GWAS improves genomic prediction for haploid induction ability of haploid inducers in maize.

作者信息

Chen Yu-Ru, Frei Ursula K, Lübberstedt Thomas

机构信息

Department of Agronomy, Iowa State University, Ames, IA, United States.

出版信息

Front Plant Sci. 2025 Aug 19;16:1614457. doi: 10.3389/fpls.2025.1614457. eCollection 2025.

Abstract

INTRODUCTION

Ridge regression BLUP (rrBLUP) is a widely used model for genomic selection. Different genomic prediction (GP) models have their own niches depending on the genetic architecture of traits and computational complexity. Haploid inducers have unique trait performances, relevant for doubled haploid (DH) technology in maize ().

METHODS

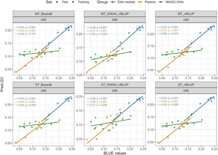
We evaluated the performance of single-trait (ST) and multi-trait (MT) GP models, which include rrBLUP, BayesB, Random Forest, and xGBoost, using data from multifamily DH inducers (DHIs). We integrated multi-trait and genome-wide association studies (GWAS) within the rrBLUP framework to model four target traits: days to flowering (DTF), haploid induction rate (HIR), plant height (PHT), and primary branch length (PBL). Predictive ability (PA) was assessed through five-fold cross-validation and further validated in multi-parent advanced generation intercross (MAGIC) DHIs.

RESULTS

The average PAs of different GP methods across traits were 0.51 to 0.69. ST/MT GWAS rrBLUP methods increased PA of HIR. In addition, MT GP models improved PA by 12% on average across traits relative to ST GP models in MAGIC DHIs.

DISCUSSION

These findings highlight the potential benefits of integrating multi-trait modeling or GWAS into the rrBLUP framework. Such GP approaches in this study enhance PAs and provide empirical evidence for accelerating the genetic improvement of maize haploid inducers.

摘要

引言

岭回归最佳线性无偏预测(rrBLUP)是一种广泛应用于基因组选择的模型。不同的基因组预测(GP)模型根据性状的遗传结构和计算复杂性各有其适用范围。单倍体诱导系具有独特的性状表现,这与玉米的双单倍体(DH)技术相关。

方法

我们使用多家族双单倍体诱导系(DHI)的数据,评估了单性状(ST)和多性状(MT)GP模型的性能,这些模型包括rrBLUP、贝叶斯B、随机森林和极端梯度提升(xGBoost)。我们在rrBLUP框架内整合了多性状和全基因组关联研究(GWAS),以对四个目标性状进行建模:开花天数(DTF)、单倍体诱导率(HIR)、株高(PHT)和一级分枝长度(PBL)。通过五折交叉验证评估预测能力(PA),并在多亲本高代杂交(MAGIC)DHI中进一步验证。

结果

不同GP方法在各性状上的平均PA为0.51至0.69。ST/MT GWAS rrBLUP方法提高了HIR的PA。此外,在MAGIC DHI中,MT GP模型相对于ST GP模型在各性状上的平均PA提高了12%。

讨论

这些发现突出了将多性状建模或GWAS整合到rrBLUP框架中的潜在益处。本研究中的此类GP方法提高了PA,并为加速玉米单倍体诱导系的遗传改良提供了实证依据。

https://cdn.ncbi.nlm.nih.gov/pmc/blobs/4f61/12401904/f6c05e202df9/fpls-16-1614457-g001.jpg

文献AI研究员

20分钟写一篇综述,助力文献阅读效率提升50倍。

立即体验

用中文搜PubMed

大模型驱动的PubMed中文搜索引擎

马上搜索

文档翻译

学术文献翻译模型,支持多种主流文档格式。

立即体验