• 文献检索
  • 文档翻译
  • 深度研究
  • 学术资讯
  • Suppr Zotero 插件Zotero 插件
  • 邀请有礼
  • 套餐&价格
  • 历史记录
应用&插件
Suppr Zotero 插件Zotero 插件浏览器插件Mac 客户端Windows 客户端微信小程序
定价
高级版会员购买积分包购买API积分包
服务
文献检索文档翻译深度研究API 文档MCP 服务
关于我们
关于 Suppr公司介绍联系我们用户协议隐私条款
关注我们

Suppr 超能文献

核心技术专利:CN118964589B侵权必究
粤ICP备2023148730 号-1Suppr @ 2026

文献检索

告别复杂PubMed语法,用中文像聊天一样搜索,搜遍4000万医学文献。AI智能推荐,让科研检索更轻松。

立即免费搜索

文件翻译

保留排版,准确专业,支持PDF/Word/PPT等文件格式,支持 12+语言互译。

免费翻译文档

深度研究

AI帮你快速写综述,25分钟生成高质量综述,智能提取关键信息,辅助科研写作。

立即免费体验

缺氧和复氧对杂交鲶鱼(♀×♂)缺氧反应基因、生理生化指标的影响

Effects of Hypoxia and Reoxygenation on Hypoxia-Responsive Genes, Physiological and Biochemical Indices in Hybrid Catfish ( ♀ × ♂).

作者信息

Yan Jie, Zhang Faling, Liang Fenfei, Zhao Cheng, Yin Shaowu, Zhang Guosong

机构信息

College of Marine Science and Engineering, Nanjing Normal University, Nanjing 210098, China.

School of Agriculture and Bioengineering, Heze University, Heze 274015, China.

出版信息

Biology (Basel). 2025 Jul 23;14(8):915. doi: 10.3390/biology14080915.

DOI:10.3390/biology14080915
PMID:40906095
原文链接:https://pmc.ncbi.nlm.nih.gov/articles/PMC12383296/
Abstract

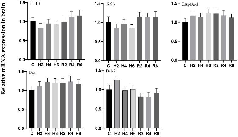
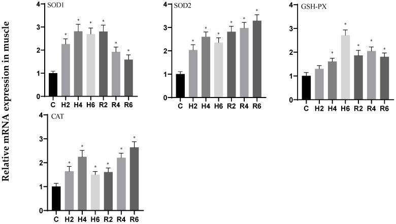
Hypoxia represents a critical environmental stressor in aquaculture, significantly disrupting aquatic organisms' physiological homeostasis and thereby constraining the sustainable development of aquaculture industries. To elucidate the mechanisms underlying hypoxia-induced metabolic regulation in aquatic species, this study employed hybrid yellow catfish ( ♀ × ♂) as a model organism to systematically investigate the multidimensional physiological responses in brain, liver, and muscle tissues under hypoxia (0.7 mg/L) and reoxygenation (7.0 mg/L) conditions. Through qRT-PCR and enzymatic activity analyses, we comprehensively assessed molecular alterations associated with oxygen sensing (HIF-1α gene), respiratory metabolism (PFKL, HK1, PK, CS, and LDHA genes and corresponding enzyme activities), oxidative stress (SOD1, SOD2, GSH-PX, and CAT genes, along with LPO, MDA, PCO, T-SOD, GSH-PX, and CAT levels), apoptosis (Caspase-3, Bax/Bcl-2), inflammatory response (IL-1β, IKKβ), and mitochondrial function (COXIV, PGC-1α, ATP5A1). Key findings demonstrated pronounced HIF-1α activation across all examined tissues. Hepatic tissues exhibited adaptive metabolic reprogramming from aerobic to anaerobic metabolism, whereas cerebral tissues displayed suppressed anaerobic glycolysis during prolonged hypoxia, and muscular tissues manifested concurrent inhibition of both glycolytic and aerobic metabolic pathways. Notably, skeletal muscle exhibited marked oxidative stress accompanied by mitochondrial dysfunction, exacerbated inflammation, and apoptosis activation during hypoxia/reoxygenation cycles. This study delineates tissue-specific adaptive mechanisms to hypoxia in yellow catfish, providing theoretical foundations for both piscine hypoxia physiology research and aquaculture practices.

摘要

缺氧是水产养殖中的一个关键环境应激源,严重破坏水生生物的生理稳态,从而制约水产养殖业的可持续发展。为了阐明水生生物缺氧诱导的代谢调节机制,本研究以杂交黄颡鱼(♀×♂)为模式生物,系统研究了在缺氧(0.7mg/L)和复氧(7.0mg/L)条件下,脑、肝和肌肉组织的多维生理反应。通过qRT-PCR和酶活性分析,我们全面评估了与氧感应(HIF-1α基因)、呼吸代谢(PFKL、HK1、PK、CS和LDHA基因及相应酶活性)、氧化应激(SOD1、SOD2、GSH-PX和CAT基因,以及LPO、MDA、PCO、T-SOD、GSH-PX和CAT水平)、细胞凋亡(Caspase-3、Bax/Bcl-2)、炎症反应(IL-1β、IKKβ)和线粒体功能(COXIV、PGC-1α、ATP5A1)相关的分子变化。主要研究结果表明,在所有检测组织中HIF-1α均有明显激活。肝组织表现出从有氧代谢到无氧代谢的适应性代谢重编程,而脑组织在长时间缺氧期间表现出无氧糖酵解受到抑制,肌肉组织则表现出糖酵解和有氧代谢途径同时受到抑制。值得注意的是,在缺氧/复氧循环过程中,骨骼肌表现出明显的氧化应激,伴有线粒体功能障碍、炎症加剧和细胞凋亡激活。本研究阐述了黄颡鱼对缺氧的组织特异性适应机制,为鱼类缺氧生理学研究和水产养殖实践提供了理论基础。

https://cdn.ncbi.nlm.nih.gov/pmc/blobs/5c50/12383296/d0f1bf5b0709/biology-14-00915-g018.jpg
https://cdn.ncbi.nlm.nih.gov/pmc/blobs/5c50/12383296/30e1771b5d1e/biology-14-00915-g001.jpg
https://cdn.ncbi.nlm.nih.gov/pmc/blobs/5c50/12383296/6d1c09f16651/biology-14-00915-g002.jpg
https://cdn.ncbi.nlm.nih.gov/pmc/blobs/5c50/12383296/851e582d1870/biology-14-00915-g003.jpg
https://cdn.ncbi.nlm.nih.gov/pmc/blobs/5c50/12383296/744aa6bc1c86/biology-14-00915-g004.jpg
https://cdn.ncbi.nlm.nih.gov/pmc/blobs/5c50/12383296/8b09b4dfc6ed/biology-14-00915-g005.jpg
https://cdn.ncbi.nlm.nih.gov/pmc/blobs/5c50/12383296/703298454582/biology-14-00915-g006.jpg
https://cdn.ncbi.nlm.nih.gov/pmc/blobs/5c50/12383296/651b9334daf4/biology-14-00915-g007.jpg
https://cdn.ncbi.nlm.nih.gov/pmc/blobs/5c50/12383296/8044e4077006/biology-14-00915-g008.jpg
https://cdn.ncbi.nlm.nih.gov/pmc/blobs/5c50/12383296/78c0b9bac974/biology-14-00915-g009.jpg
https://cdn.ncbi.nlm.nih.gov/pmc/blobs/5c50/12383296/fb83a9aae39a/biology-14-00915-g010.jpg
https://cdn.ncbi.nlm.nih.gov/pmc/blobs/5c50/12383296/bbe25df94511/biology-14-00915-g011.jpg
https://cdn.ncbi.nlm.nih.gov/pmc/blobs/5c50/12383296/7bf44674f676/biology-14-00915-g012.jpg
https://cdn.ncbi.nlm.nih.gov/pmc/blobs/5c50/12383296/3cbe8830d0c6/biology-14-00915-g013.jpg
https://cdn.ncbi.nlm.nih.gov/pmc/blobs/5c50/12383296/f9aae0a53545/biology-14-00915-g014.jpg
https://cdn.ncbi.nlm.nih.gov/pmc/blobs/5c50/12383296/9dcd8a74defc/biology-14-00915-g015.jpg
https://cdn.ncbi.nlm.nih.gov/pmc/blobs/5c50/12383296/d602330cc203/biology-14-00915-g016.jpg
https://cdn.ncbi.nlm.nih.gov/pmc/blobs/5c50/12383296/86729bf4c192/biology-14-00915-g017.jpg
https://cdn.ncbi.nlm.nih.gov/pmc/blobs/5c50/12383296/d0f1bf5b0709/biology-14-00915-g018.jpg
https://cdn.ncbi.nlm.nih.gov/pmc/blobs/5c50/12383296/30e1771b5d1e/biology-14-00915-g001.jpg
https://cdn.ncbi.nlm.nih.gov/pmc/blobs/5c50/12383296/6d1c09f16651/biology-14-00915-g002.jpg
https://cdn.ncbi.nlm.nih.gov/pmc/blobs/5c50/12383296/851e582d1870/biology-14-00915-g003.jpg
https://cdn.ncbi.nlm.nih.gov/pmc/blobs/5c50/12383296/744aa6bc1c86/biology-14-00915-g004.jpg
https://cdn.ncbi.nlm.nih.gov/pmc/blobs/5c50/12383296/8b09b4dfc6ed/biology-14-00915-g005.jpg
https://cdn.ncbi.nlm.nih.gov/pmc/blobs/5c50/12383296/703298454582/biology-14-00915-g006.jpg
https://cdn.ncbi.nlm.nih.gov/pmc/blobs/5c50/12383296/651b9334daf4/biology-14-00915-g007.jpg
https://cdn.ncbi.nlm.nih.gov/pmc/blobs/5c50/12383296/8044e4077006/biology-14-00915-g008.jpg
https://cdn.ncbi.nlm.nih.gov/pmc/blobs/5c50/12383296/78c0b9bac974/biology-14-00915-g009.jpg
https://cdn.ncbi.nlm.nih.gov/pmc/blobs/5c50/12383296/fb83a9aae39a/biology-14-00915-g010.jpg
https://cdn.ncbi.nlm.nih.gov/pmc/blobs/5c50/12383296/bbe25df94511/biology-14-00915-g011.jpg
https://cdn.ncbi.nlm.nih.gov/pmc/blobs/5c50/12383296/7bf44674f676/biology-14-00915-g012.jpg
https://cdn.ncbi.nlm.nih.gov/pmc/blobs/5c50/12383296/3cbe8830d0c6/biology-14-00915-g013.jpg
https://cdn.ncbi.nlm.nih.gov/pmc/blobs/5c50/12383296/f9aae0a53545/biology-14-00915-g014.jpg
https://cdn.ncbi.nlm.nih.gov/pmc/blobs/5c50/12383296/9dcd8a74defc/biology-14-00915-g015.jpg
https://cdn.ncbi.nlm.nih.gov/pmc/blobs/5c50/12383296/d602330cc203/biology-14-00915-g016.jpg
https://cdn.ncbi.nlm.nih.gov/pmc/blobs/5c50/12383296/86729bf4c192/biology-14-00915-g017.jpg
https://cdn.ncbi.nlm.nih.gov/pmc/blobs/5c50/12383296/d0f1bf5b0709/biology-14-00915-g018.jpg

相似文献

1
Effects of Hypoxia and Reoxygenation on Hypoxia-Responsive Genes, Physiological and Biochemical Indices in Hybrid Catfish ( ♀ × ♂).缺氧和复氧对杂交鲶鱼(♀×♂)缺氧反应基因、生理生化指标的影响
Biology (Basel). 2025 Jul 23;14(8):915. doi: 10.3390/biology14080915.
2
Effects of acute hypoxia and reoxygenation on oxygen sensors, respiratory metabolism, oxidative stress, and apoptosis in hybrid yellow catfish "Huangyou-1".急性缺氧和复氧对杂交黄颡鱼“黄优 1 号”氧传感器、呼吸代谢、氧化应激和细胞凋亡的影响。
Fish Physiol Biochem. 2021 Oct;47(5):1429-1448. doi: 10.1007/s10695-021-00989-8. Epub 2021 Jul 27.
3
Low-Temperature Stress-Induced Hepatic Injury in Darkbarbel Catfish (): Mediated by Gut-Liver Axis Dysregulation.低温胁迫诱导的暗纹东方鲀肝脏损伤():由肠-肝轴失调介导 。 (注:原文括号处内容缺失)
Antioxidants (Basel). 2025 Jun 21;14(7):762. doi: 10.3390/antiox14070762.
4
Identical sequence types of Yersinia ruckeri associated with lethal disease in wild-caught invasive Blue Catfish and cultured hybrid catfish (Channel Catfish ♀ × Blue Catfish ♂) from disparate aquatic ecosystems.鲁氏耶尔森菌的相同序列类型与野生捕获的入侵蓝鲶以及来自不同水生生态系统的养殖杂交鲶鱼(沟鲶♀×蓝鲶♂)中的致死疾病有关。
J Aquat Anim Health. 2025 Apr 28;37(1):21-33. doi: 10.1093/jahafs/vsae004.
5
Identification of HIF-1 signaling pathway in Pelteobagrus vachelli using RNA-Seq: effects of acute hypoxia and reoxygenation on oxygen sensors, respiratory metabolism, and hematology indices.利用RNA测序技术鉴定瓦氏黄颡鱼中的HIF-1信号通路:急性缺氧和复氧对氧传感器、呼吸代谢及血液学指标的影响
J Comp Physiol B. 2017 Oct;187(7):931-943. doi: 10.1007/s00360-017-1083-8. Epub 2017 Mar 28.
6
Selenium alleviates the effects of cadmium on growth performance, oxidative stress, cholesterol synthesis and ferroptosis of hybrid yellow catfish, Pelteobagrus fulvidraco ♀ × Pelteobagrus vachelli ♂.硒减轻镉对杂交黄颡鱼(黄颡鱼♀×瓦氏黄颡鱼♂)生长性能、氧化应激、胆固醇合成和铁死亡的影响。
Comp Biochem Physiol C Toxicol Pharmacol. 2025 Dec;298:110290. doi: 10.1016/j.cbpc.2025.110290. Epub 2025 Jul 12.
7
A systematic review of p53 regulation of oxidative stress in skeletal muscle.p53 调控骨骼肌氧化应激的系统评价
Redox Rep. 2018 Dec;23(1):100-117. doi: 10.1080/13510002.2017.1416773. Epub 2018 Jan 3.
8
Modulated expression and enzymatic activities of Darkbarbel catfish, Pelteobagrus vachelli for oxidative stress induced by acute hypoxia and reoxygenation.暗纹东方鲀在急性缺氧和复氧应激下的调制表达和酶活性。
Chemosphere. 2016 May;151:271-9. doi: 10.1016/j.chemosphere.2016.02.072. Epub 2016 Mar 15.
9
Prescription of Controlled Substances: Benefits and Risks管制药品的处方:益处与风险
10
Study on the modulation of kidney and liver function of rats with diabetic nephropathy by Huidouba through metabolomics.回豆巴通过代谢组学对糖尿病肾病大鼠肝肾功 能的调节作用研究
J Ethnopharmacol. 2025 Jun 11;351:120136. doi: 10.1016/j.jep.2025.120136.

本文引用的文献

1
Comparative Effects of Dietary Supplementations with Microencapsulated Sodium Butyrate, Glycerol Monolaurate and Tributyrin on Growth, Immunity, and Gut Health in Black Sea Bream.微囊化丁酸钠、月桂酸单甘油酯和三丁酸甘油酯日粮添加对黑鲷生长、免疫和肠道健康的比较影响
Animals (Basel). 2025 Mar 12;15(6):810. doi: 10.3390/ani15060810.
2
Hypoxia-induced physiological responses in fish: From organism to tissue to molecular levels.鱼类低氧诱导的生理反应:从机体到组织再到分子水平
Ecotoxicol Environ Saf. 2023 Oct 27;267:115609. doi: 10.1016/j.ecoenv.2023.115609.
3
New Insights into the Mechanism by Which the Pituitary Gland Copes with Hypoxia Stress Based on a Transcriptomic Analysis of .
基于. 的转录组分析,揭示垂体应对低氧应激的机制新见解
Genes (Basel). 2024 Jul 26;15(8):987. doi: 10.3390/genes15080987.
4
Structural basis for allosteric regulation of human phosphofructokinase-1.别构调控人磷酸果糖激酶-1的结构基础。
Nat Commun. 2024 Aug 25;15(1):7323. doi: 10.1038/s41467-024-51808-6.
5
Evolution of Key Oxygen-Sensing Genes Is Associated with Hypoxia Tolerance in Fishes.关键氧感应基因的进化与鱼类的耐缺氧能力有关。
Genome Biol Evol. 2024 Sep 3;16(9). doi: 10.1093/gbe/evae183.
6
Effects of acute hypoxia and reoxygenation on histological structure, antioxidant response, and apoptosis in razor clam Sinonovacula constricta.急性缺氧和复氧对刀额新对虾组织学结构、抗氧化反应和细胞凋亡的影响。
Fish Shellfish Immunol. 2024 Feb;145:109310. doi: 10.1016/j.fsi.2023.109310. Epub 2023 Dec 22.
7
Deep scRNA sequencing reveals a broadly applicable Regeneration Classifier and implicates antioxidant response in corticospinal axon regeneration.深度单细胞 RNA 测序揭示了一种广泛适用的再生分类器,并表明抗氧化反应与皮质脊髓轴突再生有关。
Neuron. 2023 Dec 20;111(24):3953-3969.e5. doi: 10.1016/j.neuron.2023.09.019. Epub 2023 Oct 16.
8
Hepatic transcriptomic analysis reveals that Hif1α/ldha signal is involved in the regulation of hypoxia stress in black rockfish Sebastes schlegelii.肝转录组分析表明,Hif1α/ldha 信号参与调控青石斑鱼缺氧应激。
Comp Biochem Physiol Part D Genomics Proteomics. 2023 Sep;47:101098. doi: 10.1016/j.cbd.2023.101098. Epub 2023 May 18.
9
Activation of HIF-1α C-terminal transactivation domain protects against hypoxia-induced kidney injury through hexokinase 2-mediated mitophagy.HIF-1α C 端转录激活结构域的激活通过己糖激酶 2 介导的线粒体自噬来保护肾脏免受低氧诱导的损伤。
Cell Death Dis. 2023 May 24;14(5):339. doi: 10.1038/s41419-023-05854-5.
10
Integrated analysis revealed hypoxia signatures and LDHA related to tumor cell dedifferentiation and unfavorable prognosis in pancreatic adenocarcinoma: Hypoxia in PDAC.综合分析揭示了与胰腺导管腺癌中肿瘤细胞去分化和不良预后相关的缺氧特征及乳酸脱氢酶A:胰腺导管腺癌中的缺氧情况
Transl Oncol. 2023 Jul;33:101692. doi: 10.1016/j.tranon.2023.101692. Epub 2023 May 12.