Suppr超能文献

用于早期卵巢癌检测的多组学诊断模型的临床评估

Clinical Evaluation of a Multi-Omic Diagnostic Model for Early-Stage Ovarian Cancer Detection.

作者信息

Law Robert A, Giles Brendan M, Culp-Hill Rachel, Radnaa Enkhtuya, Goldberg Mattie, Nichols Charles M, Wong Maria, Hansen Connor, Hill Collin, Eurich Katrin, Prendergast Emily, Behbakht Kian, Bitler Benjamin G, Jeter Anna, Fa Vuna S, White James Robert, Elias Kevin, McElhinny Abigail

机构信息

AOA Dx, Denver, CO 80221, USA.

Gynecologic Oncology, UT Health San Antonio, San Antonio, TX 78229, USA.

出版信息

Diagnostics (Basel). 2025 Sep 2;15(17):2225. doi: 10.3390/diagnostics15172225.

Abstract

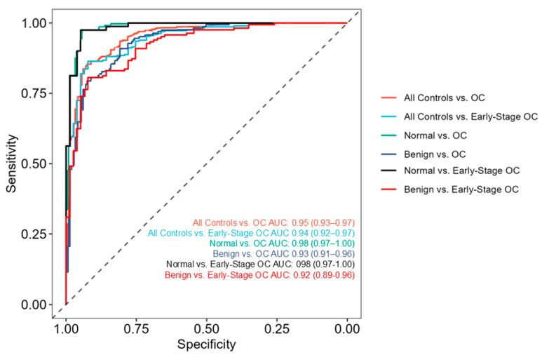
: Ovarian cancer (OC) is frequently diagnosed at an advanced stage due to the nonspecific nature of its symptoms. While population-wide screening has failed to reduce mortality, timely diagnosis in symptomatic women remains a promising and underutilized strategy to improve clinical outcomes. The aim of this study was to develop a sensitive, scalable biomarker assay to improve early-stage detection in symptomatic women. : A multi-omic diagnostic model was developed using serum samples from symptomatic women. Lipidomic profiles were generated by liquid chromatography-mass spectrometry (LC-MS), and protein levels were measured using immunoassays. Statistical and machine learning approaches were applied to assess diagnostic performance across disease stages and subtypes. : The multi-omic model demonstrated robust performance across a clinically challenging population, with both lipid and protein data necessary for detecting OC across a range of stages and subtypes. The model achieved 98.7% sensitivity in early-stage OC and 98.6% across a range of OC subtypes and stages at 70% fixed specificity, which represented significant improvements over CA125 in the same cohort. In addition, in a small subset of samples, lipid and protein profiles from OC patients undergoing treatment differed from untreated patients and controls, suggesting that this approach may also be useful in other aspects of clinical management, such as treatment monitoring. : This multi-omic assay offers a promising solution to accelerate diagnosis, improve early detection, and potentially reduce OC mortality.

摘要

卵巢癌(OC)由于其症状的非特异性,常常在晚期才被诊断出来。虽然全人群筛查未能降低死亡率,但对有症状女性进行及时诊断仍然是一种有前景且未得到充分利用的改善临床结局的策略。本研究的目的是开发一种灵敏、可扩展的生物标志物检测方法,以改善对有症状女性的早期检测。

使用有症状女性的血清样本开发了一种多组学诊断模型。通过液相色谱 - 质谱联用(LC - MS)生成脂质组学图谱,并使用免疫测定法测量蛋白质水平。应用统计和机器学习方法评估跨疾病阶段和亚型的诊断性能。

该多组学模型在具有临床挑战性的人群中表现出强大的性能,脂质和蛋白质数据对于检测一系列阶段和亚型的OC都是必需的。在固定特异性为70%时,该模型在早期OC中的灵敏度达到98.7%,在一系列OC亚型和阶段中的灵敏度为98.6%,这在同一队列中比CA125有显著提高。此外,在一小部分样本中,接受治疗的OC患者的脂质和蛋白质图谱与未治疗的患者及对照组不同,这表明该方法在临床管理的其他方面,如治疗监测中也可能有用。

这种多组学检测方法为加速诊断、改善早期检测并潜在降低OC死亡率提供了一个有前景的解决方案。

https://cdn.ncbi.nlm.nih.gov/pmc/blobs/b593/12428613/9cb1c3e6ec85/diagnostics-15-02225-g001.jpg

文献AI研究员

20分钟写一篇综述,助力文献阅读效率提升50倍。

立即体验

用中文搜PubMed

大模型驱动的PubMed中文搜索引擎

马上搜索

文档翻译

学术文献翻译模型,支持多种主流文档格式。

立即体验