Vollenberg Richard, Schütte-Nütgen Katharina, Strauss Markus, Trebicka Jonel, Fischer Julia, Tepasse Phil-Robin
Department of Medicine B for Gastroenterology, Hepatology, Endocrinology and Clinical Infectiology, University Hospital Muenster, 48149 Muenster, Germany.
Department of Medicine D, Division of General Internal Medicine, Nephrology and Rheumatology, University Hospital of Münster, 48149 Muenster, Germany.
Int J Mol Sci. 2025 Aug 29;26(17):8403. doi: 10.3390/ijms26178403.
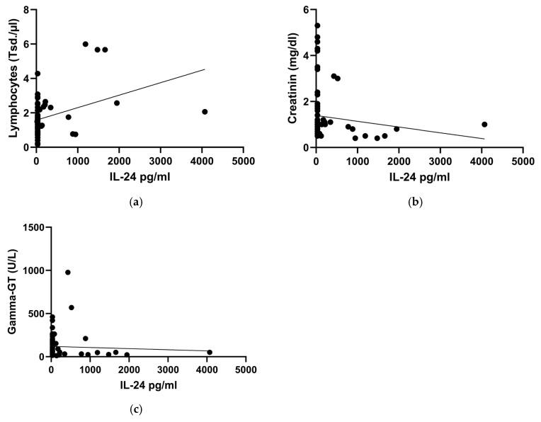
Interleukin-24 (IL-24) is a cytokine known for its role in immune regulation and apoptosis, with potential implications in viral infections like COVID-19. This study aimed to investigate the association between IL-24 serum levels and the severity of COVID-19 disease. In this prospective bi-center cross-sectional study, we enrolled 41 COVID-19 patients from two hospitals in Germany. Serial blood samples were collected from a subset of patients, resulting in 88 total blood samples. Patients were categorized into critical, severe, moderate, and mild disease groups based on WHO criteria. IL-24 serum levels were measured during the acute or convalescent phase using an ELISA assay. Inflammatory markers, and kidney and liver function parameters were also evaluated. Statistical analysis included non-parametric tests and correlation analysis. Elevated IL-24 serum levels were observed in ambulant patients (mild disease), compared to hospitalized patients (critical, severe, moderate disease, < 0.05). IL-24 levels were also significantly higher in patients without oxygenation disorder compared to those with oxygenation therapy ( < 0.05). A negative correlation was found between IL-24 levels and markers of inflammation and liver/kidney function. Elevated IL-24 serum levels were associated with milder COVID-19 courses, suggesting a protective role in modulating immune responses and promoting antiviral apoptosis. Conversely, reduced IL-24 in severe cases may reflect impaired immune regulation, highlighting its potential as a biomarker and therapeutic target.
白细胞介素-24(IL-24)是一种细胞因子,因其在免疫调节和细胞凋亡中的作用而闻名,对COVID-19等病毒感染可能有影响。本研究旨在调查IL-24血清水平与COVID-19疾病严重程度之间的关联。在这项前瞻性双中心横断面研究中,我们招募了来自德国两家医院的41名COVID-19患者。从一部分患者中采集了系列血样,共获得88份血样。根据世界卫生组织标准,将患者分为危重症、重症、中症和轻症疾病组。使用酶联免疫吸附测定法(ELISA)在急性期或恢复期测量IL-24血清水平。还评估了炎症标志物以及肾脏和肝脏功能参数。统计分析包括非参数检验和相关性分析。与住院患者(危重症、重症、中症疾病)相比,门诊患者(轻症疾病)的IL-24血清水平升高(<0.05)。与接受氧疗的患者相比,未出现氧合障碍的患者的IL-24水平也显著更高(<0.05)。发现IL-24水平与炎症标志物以及肝脏/肾脏功能之间存在负相关。IL-24血清水平升高与较轻的COVID-19病程相关,表明其在调节免疫反应和促进抗病毒细胞凋亡中具有保护作用。相反,重症病例中IL-24降低可能反映免疫调节受损,突出了其作为生物标志物和治疗靶点的潜力。