Suppr超能文献

新型冠状病毒肺炎中急性呼吸窘迫综合征的严重程度:实验室生物标志物与白细胞介素-10单核苷酸多态性分析的病例对照研究

ARDS severity in COVID-19: a case-control study of laboratory biomarkers and IL-10 SNP analysis.

作者信息

Smail Shukur Wasman, Albarzinji Niaz, Karim Karim Jalal, Salih Rebaz Hamza, Janson Christer

机构信息

Department of Biology, College of Science, Salahaddin University-Erbil, Erbil, Iraq.

College of Pharmacy, Cihan University-Erbil, Erbil, Iraq.

出版信息

Ups J Med Sci. 2025 Jul 7;130. doi: 10.48101/ujms.v130.11515. eCollection 2025.

Abstract

BACKGROUND

Acute respiratory distress syndrome (ARDS), which is often observed in severe cases of coronavirus disease 2019 (COVID-19), is known to be a major contributor to higher mortality rates. This study assesses how hematological parameters, inflammatory biomarkers, cytokines, and the -1,082 A/G polymorphism are associated with ARDS severity in COVID-19 patients.

METHODS

Following exclusions, a 6-month prospective case-control study included 82 healthy controls (HCs) and 158 COVID-19 patients with varying severities of ARDS (mild: 73, moderate: 53, and severe: 32). Blood samples were collected at admission, and laboratory biomarkers were assessed using various methods. Statistical analyses included one-way analysis of variance with Tukey's test for group comparisons, Pearson correlation, and receiver operating characteristic curve for analyzing independent associations with COVID-19 severity. Multiple linear regression and chi-square tests were used to evaluate quantitative outcomes and categorical associations, respectively.

RESULTS

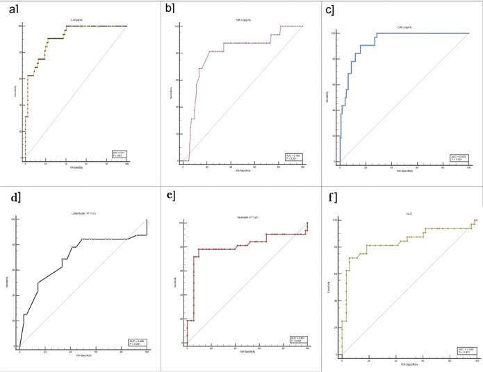
Severe ARDS patients exhibited higher C-reactive protein (CRP) levels compared to HCs. Compared to HCs, patients with moderate and severe ARDS had higher neutrophil to lymphocyte ratio (NLR), neutrophil counts, tumor necrosis factor-alpha, and interleukin-10 (IL-10), as well as lower lymphocyte counts and reduced partial pressure of oxygen/fraction of inspired oxygen (PaO/FiO) ratio. IL-10, body mass index, CRP, and NLR were associated with reduced PaO/FiO ratio. IL-10 and CRP had the highest area under curve values toward ARDS severity. COVID-19 patients possessing the -1,082 A/G single nucleotide IL-10 GG and GA genotypes and the G allele presented with less severe ARDS.

CONCLUSION

Hematological indices (neutrophil count and NLR), CRP, and serum IL-10 hold promise in monitoring ARDS severity in COVID-19 patients. In addition, COVID-19 patients with GG and AG genotypes and the G allele of the IL-10 gene's-1,082 A/G polymorphism experience less severe ARDS. This highlights the potential protective role of IL-10 genetic variation in modulating the severity of inflammatory responses during severe acute respiratory syndrome-coronavirus-2 infection and may serve as a useful genetic marker for risk stratification in clinical settings.

摘要

背景

急性呼吸窘迫综合征(ARDS)在2019冠状病毒病(COVID-19)重症病例中经常出现,是导致死亡率升高的主要因素。本研究评估血液学参数、炎症生物标志物、细胞因子以及-1082 A/G基因多态性与COVID-19患者ARDS严重程度之间的关联。

方法

在排除相关病例后,一项为期6个月的前瞻性病例对照研究纳入了82名健康对照者(HCs)和158名患有不同严重程度ARDS的COVID-19患者(轻度:73例,中度:53例,重度:32例)。入院时采集血样,并使用多种方法评估实验室生物标志物。统计分析包括用于组间比较的单因素方差分析及Tukey检验、Pearson相关性分析以及用于分析与COVID-19严重程度独立关联的受试者工作特征曲线分析。分别使用多元线性回归和卡方检验来评估定量结果和分类关联。

结果

与健康对照者相比,重度ARDS患者的C反应蛋白(CRP)水平更高。与健康对照者相比,中度和重度ARDS患者的中性粒细胞与淋巴细胞比值(NLR)、中性粒细胞计数、肿瘤坏死因子-α和白细胞介素-10(IL-10)更高,而淋巴细胞计数以及氧分压/吸入氧分数(PaO/FiO)比值更低。IL-10、体重指数、CRP和NLR与PaO/FiO比值降低有关。IL-10和CRP在预测ARDS严重程度方面曲线下面积值最高。携带-1082 A/G单核苷酸IL-10 GG和GA基因型以及G等位基因的COVID-19患者ARDS病情较轻。

结论

血液学指标(中性粒细胞计数和NLR)、CRP和血清IL-10有望用于监测COVID-19患者的ARDS严重程度。此外,具有IL-10基因-1082 A/G多态性的GG和AG基因型以及G等位基因的COVID-19患者ARDS病情较轻。这突出了IL-10基因变异在调节严重急性呼吸综合征冠状病毒2感染期间炎症反应严重程度方面的潜在保护作用,并且可能作为临床环境中风险分层的有用遗传标志物。

https://cdn.ncbi.nlm.nih.gov/pmc/blobs/f71f/12320925/9671a2afb566/UJMS-130-11515-g001.jpg

文献检索

告别复杂PubMed语法,用中文像聊天一样搜索,搜遍4000万医学文献。AI智能推荐,让科研检索更轻松。

立即免费搜索

文件翻译

保留排版,准确专业,支持PDF/Word/PPT等文件格式,支持 12+语言互译。

免费翻译文档

深度研究

AI帮你快速写综述,25分钟生成高质量综述,智能提取关键信息,辅助科研写作。

立即免费体验