Suppr超能文献

寒冷环境对大鼠线粒体基因组表达的影响:肝脏中存在组织特异性增加的证据,且与线粒体基因丰度变化无关。

Effects of cold environment on mitochondrial genome expression in the rat: evidence for a tissue-specific increase in the liver, independent of changes in mitochondrial gene abundance.

作者信息

Martin I, Viñas O, Mampel T, Iglesias R, Villarroya F

机构信息

Departament de Bioquímica i Fisiologia, Universitat de Barcelona, Spain.

出版信息

Biochem J. 1993 Nov 15;296 ( Pt 1)(Pt 1):231-4. doi: 10.1042/bj2960231.

Abstract

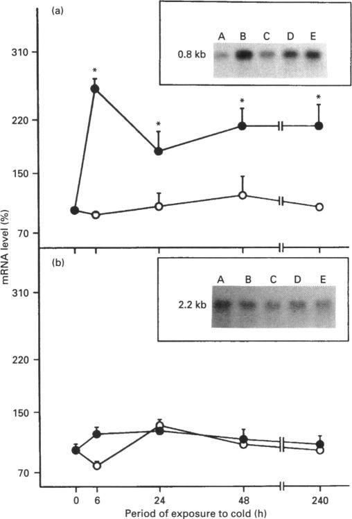
The abundance of the mitochondrially encoded mRNA for subunit II of cytochrome c oxidase (COII mRNA) increases in the liver of rats exposed to environmental cold stress (4 degrees C ambient temperature). Only transient increases or no changes in COII mRNA levels were observed in brown fat and soleus muscle respectively. The time course of the liver COII mRNA increase was compared with the effects of cold stress on mitochondrial 16S ribosomal RNA expression and indicated that cold induces a rapid (few hours) increase in the liver mitochondrial mRNA levels and high levels of both messenger and ribosomal RNA mitochondrial transcripts are present after a few days of cold exposure. No changes in mitochondrial DNA abundance relative to total cellular DNA were observed in the liver of rats at any time during cold stress. It is concluded that mitochondrial genome expression is specifically increased in the liver of cold-exposed rats through different mechanisms, independent of changes in mitochondrial genome abundance.

摘要

暴露于环境冷应激(环境温度4摄氏度)的大鼠肝脏中,细胞色素c氧化酶亚基II的线粒体编码mRNA(COII mRNA)丰度增加。在棕色脂肪和比目鱼肌中,分别仅观察到COII mRNA水平的短暂增加或无变化。将肝脏COII mRNA增加的时间进程与冷应激对线粒体16S核糖体RNA表达的影响进行比较,结果表明,寒冷诱导肝脏线粒体mRNA水平迅速(数小时)增加,冷暴露几天后,信使RNA和核糖体RNA线粒体转录本均处于高水平。在冷应激期间的任何时候,大鼠肝脏中相对于总细胞DNA的线粒体DNA丰度均未观察到变化。得出的结论是,通过不同机制,冷暴露大鼠肝脏中线粒体基因组表达特异性增加,这与线粒体基因组丰度的变化无关。

https://cdn.ncbi.nlm.nih.gov/pmc/blobs/9feb/1137678/1a809932a4ba/biochemj00099-0224-a.jpg

文献检索

告别复杂PubMed语法,用中文像聊天一样搜索,搜遍4000万医学文献。AI智能推荐,让科研检索更轻松。

立即免费搜索

文件翻译

保留排版,准确专业,支持PDF/Word/PPT等文件格式,支持 12+语言互译。

免费翻译文档

深度研究

AI帮你快速写综述,25分钟生成高质量综述,智能提取关键信息,辅助科研写作。

立即免费体验