Suppr超能文献

关于水的化学和物理性质改变以及通过可见光谱颜色范围透射的阳光对其生物学功能调节的证据——一项新研究。

Evidence for alteration in chemical and physical properties of water and modulation of its biological functions by sunlight transmitted through color ranges of the visible spectrum-a novel study.

作者信息

Cohly Hari H P, Panja Asit, Reno William L, Obenhuber Don, Koelle Margot S, Das Suman K, Angel Michael F, Rao M Rajeswara

机构信息

Department of Surgery, University of Mississippi Medical Center, 2500 North State Street, Jackson, Mississippi, 39216-4505, USA.

出版信息

Int J Environ Res Public Health. 2005 Aug;2(2):219-27. doi: 10.3390/ijerph2005020004.

Abstract

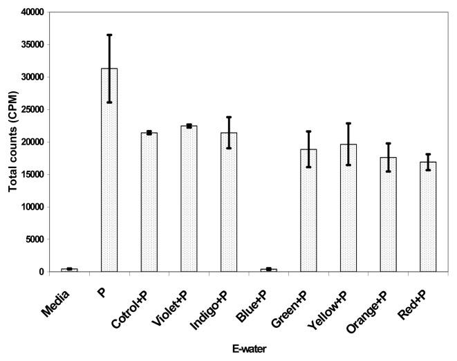
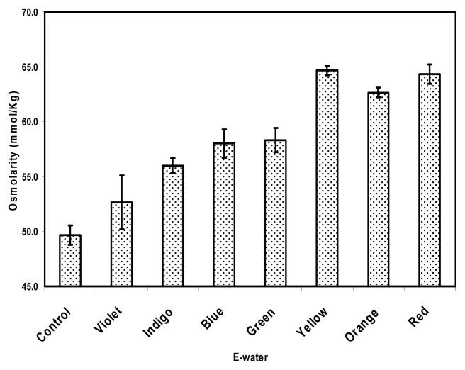
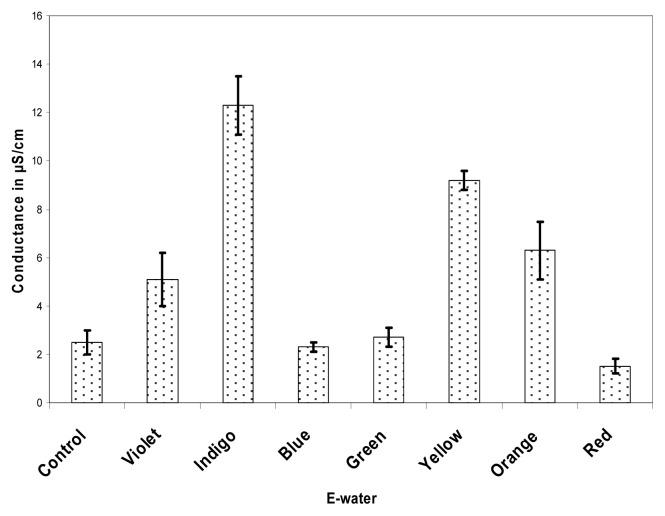
We investigated the changes in the properties of water when exposed to sunlight for 40 days. We hypothesize and prove that solar irradiation to water entraps electromagnetic radiation as potential energy, which becomes kinetic energy in various systems. It is postulated that photochemically-induced energy transfers, associated with individual spectral emission of visible spectrum of solar light, exert diverse influences on biological systems. Bottles of distilled water, individually wrapped in spectral-colored cellophane were exposed to sunlight and compared to an unwrapped bottle to determine chemical and physical changes as well as modifications of biological properties. Each bottle of water was named according to the color of cellophane paper with letter E (stands for exposed) as a prefix with (E-violet, E-indigo, E-blue, E-green, E-yellow, E-orange, and E-red). E-control (without wrap) was exposed to polychromatic sunlight. This study addresses two main issues viz., the chemical and physical changes in E-water and its effect on biological activities. Chemical and physical composition analysis using inductively coupled plasma atomic emission spectrometry; physical conductance by a Wheatstone Bridge type conductivity meter; osmolarity by a vapor pressure osmometer; and, salt solubility profile of 10% sodium bicarbonate were determined. Furthermore, testing the effect of E-waters on human lymphocyte proliferation, mosquito larvae hatching and seed germination determined the functional role of solar radiation through specific spectrum/s of visible light on various biological processes. We found that water exposed to visible spectral emissions of sunlight had an altered elemental composition, electrical conductance, osmolarity and salt-solubility, as well as differences in bio-modulatory effects. A gradual increase in leaching of Boron from E-violet to E-red was noted. E-indigo showed maximal increase in electrical conductance and maximal salt solubility of sodium bicarbonate. E-blue inhibited phyto-hemagglutinin-induced immune cell proliferation and mosquito larvae hatching. E-orange stimulated root elongation in seed germination. We conclude that 40-day exposure of water to specific solar spectrum changes chemical and physical properties and influences on biological activity.

摘要

我们研究了水在暴露于阳光下40天后性质的变化。我们假设并证明,对水的太阳辐射会将电磁辐射捕获为势能,而这种势能在各种系统中会转化为动能。据推测,与太阳光可见光谱的各个光谱发射相关的光化学诱导的能量转移,会对生物系统产生不同的影响。将分别用光谱色玻璃纸包裹的蒸馏水样品瓶暴露于阳光下,并与未包裹的瓶子进行比较,以确定化学和物理变化以及生物学特性的改变。每个水瓶根据玻璃纸的颜色命名,前缀为字母E(代表暴露),分别为(E-紫色、E-靛色、E-蓝色、E-绿色、E-黄色、E-橙色和E-红色)。E-对照(未包裹)暴露于多色阳光下。本研究主要探讨了两个问题,即E-水的化学和物理变化及其对生物活性的影响。使用电感耦合等离子体原子发射光谱法进行化学和物理成分分析;用惠斯通电桥型电导率仪测量物理电导率;用蒸气压渗透压计测量渗透压;并测定10%碳酸氢钠的盐溶解度曲线。此外,测试E-水对人类淋巴细胞增殖、蚊虫幼虫孵化和种子萌发的影响,确定了太阳辐射通过特定可见光光谱对各种生物过程的功能作用。我们发现,暴露于太阳光可见光谱下的水的元素组成、电导率、渗透压和盐溶解度发生了改变,生物调节作用也存在差异。从E-紫色到E-红色,硼的浸出量逐渐增加。E-靛色的电导率增加最大,碳酸氢钠的盐溶解度也最大。E-蓝色抑制植物血凝素诱导的免疫细胞增殖和蚊虫幼虫孵化。E-橙色刺激种子萌发中的根伸长。我们得出结论,水暴露于特定太阳光谱40天会改变其化学和物理性质,并影响生物活性。

https://cdn.ncbi.nlm.nih.gov/pmc/blobs/67dc/3810624/9f3316b0b639/ijerph-02-00219f1.jpg

文献AI研究员

20分钟写一篇综述,助力文献阅读效率提升50倍。

立即体验

用中文搜PubMed

大模型驱动的PubMed中文搜索引擎

马上搜索

文档翻译

学术文献翻译模型,支持多种主流文档格式。

立即体验