Suppr超能文献

一种基于模型的优化框架,用于利用时间进程DNA微阵列表达数据推断调控相互作用。

A model-based optimization framework for the inference of regulatory interactions using time-course DNA microarray expression data.

作者信息

Thomas Reuben, Paredes Carlos J, Mehrotra Sanjay, Hatzimanikatis Vassily, Papoutsakis Eleftherios T

机构信息

Laboratory of Molecular Toxicology, National Institute of Environmental Health Sciences, National Institutes of Health, Research Triangle Park, North Carolina, USA.

出版信息

BMC Bioinformatics. 2007 Jun 29;8:228. doi: 10.1186/1471-2105-8-228.

Abstract

BACKGROUND

Proteins are the primary regulatory agents of transcription even though mRNA expression data alone, from systems like DNA microarrays, are widely used. In addition, the regulation process in genetic systems is inherently non-linear in nature, and most studies employ a time-course analysis of mRNA expression. These considerations should be taken into account in the development of methods for the inference of regulatory interactions in genetic networks.

RESULTS

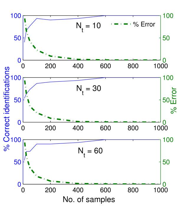
We use an S-system based model for the transcription and translation process. We propose an optimization-based regulatory network inference approach that uses time-varying data from DNA microarray analysis. Currently, this seems to be the only model-based method that can be used for the analysis of time-course "relative" expressions (expression ratios). We perform an analysis of the dynamic behavior of the system when the number of experimental samples available is varied, when there are different levels of noise in the data and when there are genes that are not considered by the experimenter. Our studies show that the principal factor affecting the ability of a method to infer interactions correctly is the similarity in the time profiles of some or all the genes. The less similar the profiles are to each other the easier it is to infer the interactions. We propose a heuristic method for resolving networks and show that it displays reasonable performance on a synthetic network. Finally, we validate our approach using real experimental data for a chosen subset of genes involved in the sporulation cascade of Bacillus anthracis. We show that the method captures most of the important known interactions between the chosen genes.

CONCLUSION

The performance of any inference method for regulatory interactions between genes depends on the noise in the data, the existence of unknown genes affecting the network genes, and the similarity in the time profiles of some or all genes. Though subject to these issues, the inference method proposed in this paper would be useful because of its ability to infer important interactions, the fact that it can be used with time-course DNA microarray data and because it is based on a non-linear model of the process that explicitly accounts for the regulatory role of proteins.

摘要

背景

尽管仅来自DNA微阵列等系统的mRNA表达数据被广泛使用,但蛋白质是转录的主要调节因子。此外,遗传系统中的调节过程本质上是固有的非线性,并且大多数研究采用mRNA表达的时间进程分析。在开发用于推断遗传网络中调节相互作用的方法时应考虑这些因素。

结果

我们使用基于S-系统的转录和翻译过程模型。我们提出了一种基于优化的调节网络推断方法,该方法使用来自DNA微阵列分析的时变数据。目前,这似乎是唯一可用于分析时间进程“相对”表达(表达比率)的基于模型的方法。当可用实验样本数量变化时、数据中存在不同噪声水平时以及存在实验者未考虑的基因时,我们对系统的动态行为进行了分析。我们的研究表明,影响一种方法正确推断相互作用能力的主要因素是部分或所有基因的时间分布的相似性。分布彼此越不相似,就越容易推断相互作用。我们提出了一种用于解析网络的启发式方法,并表明它在合成网络上表现出合理的性能。最后,我们使用涉及炭疽芽孢杆菌孢子形成级联的选定基因子集的真实实验数据验证了我们的方法。我们表明该方法捕获了所选基因之间的大多数重要已知相互作用。

结论

任何用于推断基因之间调节相互作用的推断方法的性能都取决于数据中的噪声、影响网络基因的未知基因的存在以及部分或所有基因的时间分布的相似性。尽管存在这些问题,但本文提出实的推断方法因其能够推断重要相互作用、可用于时间进程DNA微阵列数据以及基于明确考虑蛋白质调节作用的过程非线性模型而将是有用的。

https://cdn.ncbi.nlm.nih.gov/pmc/blobs/f981/1940027/30383c9fdb69/1471-2105-8-228-1.jpg

文献AI研究员

20分钟写一篇综述,助力文献阅读效率提升50倍。

立即体验

用中文搜PubMed

大模型驱动的PubMed中文搜索引擎

马上搜索

文档翻译

学术文献翻译模型,支持多种主流文档格式。

立即体验