Suppr超能文献

强效SARS-CoV 3CL(蛋白酶)抑制剂的设计、合成及生物学评价的新进展

New developments for the design, synthesis and biological evaluation of potent SARS-CoV 3CL(pro) inhibitors.

作者信息

Regnier Thomas, Sarma Diganta, Hidaka Koushi, Bacha Usman, Freire Ernesto, Hayashi Yoshio, Kiso Yoshiaki

机构信息

Department of Medicinal Chemistry, Center for Frontier Research in Medicinal Science, Kyoto Pharmaceutical University, Japan.

出版信息

Bioorg Med Chem Lett. 2009 May 15;19(10):2722-7. doi: 10.1016/j.bmcl.2009.03.118. Epub 2009 Mar 28.

Abstract

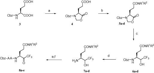
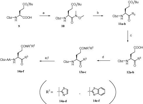
A series of trifluoromethyl, benzothiazolyl or thiazolyl ketone-containing peptidic compounds as SARS-CoV 3CL protease inhibitors were developed and their potency was evaluated by in vitro protease inhibitory assays. Three candidates had encouraging results for the development of new anti-SARS compounds.

摘要

开发了一系列含三氟甲基、苯并噻唑基或噻唑基酮的肽类化合物作为严重急性呼吸综合征冠状病毒3CL蛋白酶抑制剂,并通过体外蛋白酶抑制试验评估了它们的效力。有三种化合物在新型抗SARS化合物的开发方面取得了令人鼓舞的结果。

https://cdn.ncbi.nlm.nih.gov/pmc/blobs/f70d/7126350/6a30929ca48e/fx1.jpg

文献AI研究员

20分钟写一篇综述,助力文献阅读效率提升50倍。

立即体验

用中文搜PubMed

大模型驱动的PubMed中文搜索引擎

马上搜索

文档翻译

学术文献翻译模型,支持多种主流文档格式。

立即体验