Louhelainen Noora, Rytilä Paula, Haahtela Tari, Kinnula Vuokko L, Djukanović Ratko
Department of Medicine, Division of Pulmonary Medicine, University of Helsinki, Finland.
BMC Pulm Med. 2009 May 27;9:25. doi: 10.1186/1471-2466-9-25.
Oxidative stress is associated with the pathogenesis of cigarette smoke related lung diseases, but longitudinal effects of smoking cessation on oxidant markers in the airways are unknown.
This study included 61 smokers; 21 with chronic bronchitis or COPD, 15 asthmatics and 25 asymptomatic smokers followed up for 3 months after smoking cessation. Fractional exhaled nitric oxide (FeNO), sputum neutrophil counts, sputum 8-isoprostane, nitrotyrosine and matrix metalloproteinase-8 (MMP-8) were investigated at baseline and 1 and 3 months after smoking cessation.
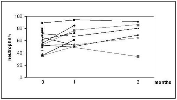
After 3 months 15 subjects had succeeded in quitting of smoking and in these subjects symptoms improved significantly. Unexpectedly, however, sputum neutrophils increased (p = 0.046) after smoking cessation in patients with chronic bronchitis/COPD. At baseline, the other markers did not differ between the three groups so these results were combined for further analysis. Sputum 8-isoprostane declined significantly during the follow-up at 3 months (p = 0.035), but levels still remained significantly higher than in non-smokers. The levels of FeNO, nitrotyrosine and MMP-8 did not change significantly during the 3 months after smoking cessation.
Whilst symptoms improve after smoking cessation, the oxidant and protease burden in the airways continues for months.
氧化应激与吸烟相关肺部疾病的发病机制有关,但戒烟对气道中氧化标志物的长期影响尚不清楚。
本研究纳入61名吸烟者;其中21例患有慢性支气管炎或慢性阻塞性肺疾病(COPD),15例哮喘患者,25例无症状吸烟者,在戒烟后进行3个月的随访。在基线期、戒烟后1个月和3个月时,分别检测呼出气一氧化氮分数(FeNO)、痰液中性粒细胞计数、痰液8-异前列腺素、硝基酪氨酸和基质金属蛋白酶-8(MMP-8)。
3个月后,15名受试者成功戒烟,且这些受试者的症状明显改善。然而,出乎意料的是,慢性支气管炎/COPD患者在戒烟后痰液中性粒细胞增加(p = 0.046)。在基线期,三组之间的其他标志物无差异,因此将这些结果合并进行进一步分析。在3个月的随访期间,痰液8-异前列腺素显著下降(p = 0.035),但仍显著高于非吸烟者。在戒烟后的3个月内,FeNO、硝基酪氨酸和MMP-8的水平没有显著变化。
虽然戒烟后症状有所改善,但气道中的氧化剂和蛋白酶负担会持续数月。