Laboratory of Microbiology and Antimicrobial Substances, Faculty of Science, University of Dschang, PO Box 67 Dschang, Cameroon.
Indian J Pharmacol. 2009 Apr;41(2):60-3. doi: 10.4103/0253-7613.51340.
To identify the antimicrobial components present in Microglossa angolensis following fractionation of the methylene chloride extract of the aerial part of this plant.
The plant was dried and extracted by percolation with methylene chloride. The dry extract was fractionated and purified by silica gel column chromatography. The isolated compounds were identified by comparison of their Nuclear Magnetic Resonance (NMR) spectral data with those reported in the literature. Antimicrobial activity was assayed by broth macro dilution method.
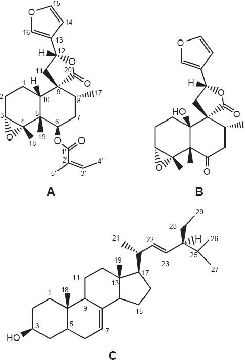
The crude extract of M. angolensis displayed significant antifungal and antibacterial activities (MIC = 312.50-1250mug/ml). 6beta-(2-methylbut-2(Z)-enoyl)-3alpha,4alpha,15,16-bis-epoxy-8beta,10betaH-ent-cleroda-13(16),14-dien-20,12-olide and spinasterol were the most active compounds (MIC = 1.56-100mug/ml) and the most sensitive microorganisms were Enterococcus faecalis and Candida tropicalis for bacteria and yeasts respectively.
The isolation of these active antibacterial and antifungal principles supports the use of M. angolensis in traditional medicine for the treatment of gastro-intestinal disorders.
从该植物地上部分的二氯甲烷提取物中分离后,确定 Microglossa angolensis 中存在的抗菌成分。
将植物干燥并用二氯甲烷渗滤提取。将干提取物通过硅胶柱色谱法进行分离和纯化。通过比较其核磁共振(NMR)谱数据与文献中的数据来鉴定分离出的化合物。通过肉汤宏观稀释法测定抗菌活性。
M. angolensis 的粗提取物显示出显著的抗真菌和抗菌活性(MIC = 312.50-1250μg/ml)。6β-(2-甲基丁-2(Z)-烯酰基)-3α,4α,15,16-双环氧-8β,10βH--ent-克氏-13(16),14-二烯-20,12-内酯和 spinasterol 是最具活性的化合物(MIC = 1.56-100μg/ml),最敏感的微生物分别是粪肠球菌和热带假丝酵母,用于细菌和酵母菌。
这些具有抗菌和抗真菌活性的原则的分离支持了在传统医学中使用 M. angolensis 治疗胃肠道疾病。