Suppr超能文献

蛋白质序列中的低复杂度区域具有位置依赖性作用。

Low-complexity regions within protein sequences have position-dependent roles.

作者信息

Coletta Alain, Pinney John W, Solís David Y Weiss, Marsh James, Pettifer Steve R, Attwood Teresa K

机构信息

Faculty of Life Sciences, University of Manchester, Manchester M13 9PL, UK.

出版信息

BMC Syst Biol. 2010 Apr 13;4:43. doi: 10.1186/1752-0509-4-43.

Abstract

BACKGROUND

Regions of protein sequences with biased amino acid composition (so-called Low-Complexity Regions (LCRs)) are abundant in the protein universe. A number of studies have revealed that i) these regions show significant divergence across protein families; ii) the genetic mechanisms from which they arise lends them remarkable degrees of compositional plasticity. They have therefore proved difficult to compare using conventional sequence analysis techniques, and functions remain to be elucidated for most of them. Here we undertake a systematic investigation of LCRs in order to explore their possible functional significance, placed in the particular context of Protein-Protein Interaction (PPI) networks and Gene Ontology (GO)-term analysis.

RESULTS

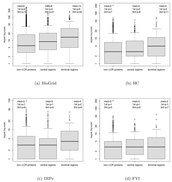
In keeping with previous results, we found that LCR-containing proteins tend to have more binding partners across different PPI networks than proteins that have no LCRs. More specifically, our study suggests i) that LCRs are preferentially positioned towards the protein sequence extremities and, in contrast with centrally-located LCRs, such terminal LCRs show a correlation between their lengths and degrees of connectivity, and ii) that centrally-located LCRs are enriched with transcription-related GO terms, while terminal LCRs are enriched with translation and stress response-related terms.

CONCLUSIONS

Our results suggest not only that LCRs may be involved in flexible binding associated with specific functions, but also that their positions within a sequence may be important in determining both their binding properties and their biological roles.

摘要

背景

在蛋白质世界中,氨基酸组成具有偏向性的蛋白质序列区域(即所谓的低复杂性区域,LCRs)广泛存在。多项研究表明:i)这些区域在不同蛋白质家族之间存在显著差异;ii)其产生的遗传机制赋予了它们显著的组成可塑性。因此,使用传统序列分析技术对它们进行比较具有一定难度,并且它们中的大多数功能仍有待阐明。在此,我们对LCRs进行了系统研究,以探讨其在蛋白质-蛋白质相互作用(PPI)网络和基因本体(GO)术语分析的特定背景下可能具有的功能意义。

结果

与先前的研究结果一致,我们发现与不含LCRs 的蛋白质相比,含LCRs 的蛋白质在不同的PPI网络中往往具有更多的结合伴侣。更具体地说,我们的研究表明:i)LCRs优先位于蛋白质序列的末端,与位于序列中心的LCRs相比,这种末端LCRs的长度与其连接程度之间存在相关性;ii)位于序列中心的LCRs富含与转录相关的GO术语,而末端LCRs则富含与翻译和应激反应相关的术语。

结论

我们的研究结果表明,LCRs不仅可能参与与特定功能相关的灵活结合,而且它们在序列中的位置可能对确定其结合特性和生物学作用都很重要。

https://cdn.ncbi.nlm.nih.gov/pmc/blobs/c7af/2873317/5342ba5a7a0c/1752-0509-4-43-1.jpg

文献AI研究员

20分钟写一篇综述,助力文献阅读效率提升50倍。

立即体验

用中文搜PubMed

大模型驱动的PubMed中文搜索引擎

马上搜索

文档翻译

学术文献翻译模型,支持多种主流文档格式。

立即体验