• 文献检索
  • 文档翻译
  • 深度研究
  • 学术资讯
  • Suppr Zotero 插件Zotero 插件
  • 邀请有礼
  • 套餐&价格
  • 历史记录
应用&插件
Suppr Zotero 插件Zotero 插件浏览器插件Mac 客户端Windows 客户端微信小程序
定价
高级版会员购买积分包购买API积分包
服务
文献检索文档翻译深度研究API 文档MCP 服务
关于我们
关于 Suppr公司介绍联系我们用户协议隐私条款
关注我们

Suppr 超能文献

核心技术专利:CN118964589B侵权必究
粤ICP备2023148730 号-1Suppr @ 2026

文献检索

告别复杂PubMed语法,用中文像聊天一样搜索,搜遍4000万医学文献。AI智能推荐,让科研检索更轻松。

立即免费搜索

文件翻译

保留排版,准确专业,支持PDF/Word/PPT等文件格式,支持 12+语言互译。

免费翻译文档

深度研究

AI帮你快速写综述,25分钟生成高质量综述,智能提取关键信息,辅助科研写作。

立即免费体验

运动员的全血凝血和血小板激活:马拉松、三项全能和长距离自行车的比较。

Whole blood coagulation and platelet activation in the athlete: a comparison of marathon, triathlon and long distance cycling.

机构信息

Klinik für Anästhesiologie, Klinikum der Heinrich-Heine-Universität Düsseldorf, Moorenstr. 5, 40225 Düsseldorf, Germany.

出版信息

Eur J Med Res. 2010 Feb 26;15(2):59-65. doi: 10.1186/2047-783x-15-2-59.

DOI:10.1186/2047-783x-15-2-59
PMID:20452885
原文链接:https://pmc.ncbi.nlm.nih.gov/articles/PMC3352046/
Abstract

INTRODUCTION

Serious thrombembolic events occur in otherwise healthy marathon athletes during competition. We tested the hypothesis that during heavy endurance sports coagulation and platelets are activated depending on the type of endurance sport with respect to its running fraction.

MATERIALS AND METHODS

68 healthy athletes participating in marathon (MAR, running 42 km, n = 24), triathlon (TRI, swimming 2.5 km + cycling 90 km + running 21 km, n = 22), and long distance cycling (CYC, 151 km, n = 22) were included in the study. Blood samples were taken before and immediately after completion of competition to perform rotational thrombelastometry. We assessed coagulation time (CT), maximum clot firmness (MCF) after intrinsically activation and fibrin polymerization (FIBTEM). Furthermore, platelet aggregation was tested after activation with ADP and thrombin activating peptide 6 (TRAP) by using multiple platelet function analyzer.

RESULTS

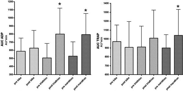
Complete data sets were obtained in 58 athletes (MAR: n = 20, TRI: n = 19, CYC: n = 19). CT significantly decreased in all groups (MAR -9.9%, TRI -8.3%, CYC -7.4%) without differences between groups. In parallel, MCF (MAR +7.4%, TRI +6.1%, CYC +8.3%) and fibrin polymerization (MAR +14.7%, TRI +6.1%, CYC +8.3%) were significantly increased in all groups. However, platelets were only activated during MAR and TRI as indicated by increased AUC during TRAP-activation (MAR +15.8%) and increased AUC during ADP-activation in MAR (+50.3%) and TRI (+57.5%).

DISCUSSION

While coagulation is activated during physical activity irrespective of type we observed significant platelet activation only during marathon and to a lesser extent during triathlon. We speculate that prolonged running may increase platelet activity, possibly, due to mechanical alteration. Thus, particularly prolonged running may increase the risk of thrombembolic incidents in running athletes.

摘要

介绍

在健康的马拉松运动员比赛中,会发生严重的血栓栓塞事件。我们检验了以下假设:在剧烈的耐力运动中,凝血和血小板会根据耐力运动的类型及其跑步比例而被激活。

材料和方法

本研究纳入了 68 名健康的马拉松运动员(MAR,跑步 42 公里,n = 24)、三项全能运动员(TRI,游泳 2.5 公里+骑自行车 90 公里+跑步 21 公里,n = 22)和长距离自行车运动员(CYC,151 公里,n = 22)。在比赛结束前后采集血液样本进行旋转血栓弹性测定。我们评估了内在激活后凝血时间(CT)、最大血凝块硬度(MCF)和纤维蛋白聚合(FIBTEM)。此外,使用多血小板功能分析仪,通过 ADP 和血栓激活肽 6(TRAP)激活后测试血小板聚集。

结果

58 名运动员(MAR:n = 20,TRI:n = 19,CYC:n = 19)获得完整的数据。所有组的 CT 均显著降低(MAR -9.9%,TRI -8.3%,CYC -7.4%),但组间无差异。同时,所有组的 MCF(MAR +7.4%,TRI +6.1%,CYC +8.3%)和纤维蛋白聚合(MAR +14.7%,TRI +6.1%,CYC +8.3%)均显著增加。然而,只有在 MAR 和 TRI 中血小板被激活,这表明在 TRAP 激活期间 AUC 增加(MAR +15.8%)和在 ADP 激活期间 AUC 增加(MAR +50.3%,TRI +57.5%)。

讨论

尽管在运动过程中凝血被激活,但其类型并不重要,但我们观察到只有在马拉松和三项全能运动中才会发生明显的血小板激活。我们推测,长时间的跑步可能会增加血小板的活性,可能是由于机械改变所致。因此,特别是长时间的跑步可能会增加跑步运动员发生血栓栓塞事件的风险。

https://cdn.ncbi.nlm.nih.gov/pmc/blobs/cbc7/3352046/0b3f25e6095e/2047-783X-15-2-59-3.jpg
https://cdn.ncbi.nlm.nih.gov/pmc/blobs/cbc7/3352046/7d06e529141e/2047-783X-15-2-59-1.jpg
https://cdn.ncbi.nlm.nih.gov/pmc/blobs/cbc7/3352046/b8b9bc87657d/2047-783X-15-2-59-2.jpg
https://cdn.ncbi.nlm.nih.gov/pmc/blobs/cbc7/3352046/0b3f25e6095e/2047-783X-15-2-59-3.jpg
https://cdn.ncbi.nlm.nih.gov/pmc/blobs/cbc7/3352046/7d06e529141e/2047-783X-15-2-59-1.jpg
https://cdn.ncbi.nlm.nih.gov/pmc/blobs/cbc7/3352046/b8b9bc87657d/2047-783X-15-2-59-2.jpg
https://cdn.ncbi.nlm.nih.gov/pmc/blobs/cbc7/3352046/0b3f25e6095e/2047-783X-15-2-59-3.jpg

相似文献

1
Whole blood coagulation and platelet activation in the athlete: a comparison of marathon, triathlon and long distance cycling.运动员的全血凝血和血小板激活:马拉松、三项全能和长距离自行车的比较。
Eur J Med Res. 2010 Feb 26;15(2):59-65. doi: 10.1186/2047-783x-15-2-59.
2
Applied physiology of triathlon.铁人三项运动的应用生理学
Sports Med. 1995 Apr;19(4):251-67. doi: 10.2165/00007256-199519040-00003.
3
The Age-Related Performance Decline in Ironman Triathlon Starts Earlier in Swimming Than in Cycling and Running.铁人三项赛中与年龄相关的运动表现下降在游泳中比在自行车和跑步中更早开始。
J Strength Cond Res. 2018 Feb;32(2):379-395. doi: 10.1519/JSC.0000000000001796.
4
Specific aspects of contemporary triathlon: implications for physiological analysis and performance.当代铁人三项运动的具体方面:对生理分析和表现的影响
Sports Med. 2002;32(6):345-59. doi: 10.2165/00007256-200232060-00001.
5
Effects of deceptive running speed on physiology, perceptual responses, and performance during sprint-distance triathlon.短跑距离铁人三项赛中欺骗性跑步速度对生理、感知反应和成绩的影响。
Physiol Behav. 2014 Jun 22;133:45-52. doi: 10.1016/j.physbeh.2014.05.002. Epub 2014 May 11.
6
Coagulation and thrombomodulin in response to exercise of different type and duration.不同类型和持续时间运动对凝血及血栓调节蛋白的影响
Med Sci Sports Exerc. 1998 Aug;30(8):1205-10. doi: 10.1097/00005768-199808000-00004.
7
Physiological characteristics of elite short- and long-distance triathletes.优秀短距离和长距离铁人三项运动员的生理特征。
Eur J Appl Physiol. 2003 Jan;88(4-5):427-30. doi: 10.1007/s00421-002-0731-0. Epub 2002 Nov 19.
8
B-type natriuretic peptide in athletes performing an Olympic triathlon.参加奥运会铁人三项赛的运动员体内的B型利钠肽
J Sports Med Phys Fitness. 2005 Dec;45(4):529-31.
9
Effect of swimming intensity on subsequent cycling and overall triathlon performance.游泳强度对后续自行车运动及铁人三项总成绩的影响。
Br J Sports Med. 2005 Dec;39(12):960-4; discussion 964. doi: 10.1136/bjsm.2005.020370.
10
Economy during a simulated laboratory test triathlon is highly related to Olympic distance triathlon.模拟实验室测试三项全能期间的经济性与奥运距离三项全能高度相关。
Int J Sports Med. 1997 May;18(4):276-80. doi: 10.1055/s-2007-972633.

引用本文的文献

1
Physiology and Pathophysiology of Marathon Running: A narrative Review.马拉松跑的生理学与病理生理学:一篇叙述性综述
Sports Med Open. 2025 Jan 27;11(1):10. doi: 10.1186/s40798-025-00810-3.
2
Thrombosis and Thrombotic Risk in Athletes.运动员的血栓形成与血栓形成风险
J Clin Med. 2024 Aug 19;13(16):4881. doi: 10.3390/jcm13164881.
3
Impact of Physical Exercise on Platelets: Focus on Its Effects in Metabolic Chronic Diseases.体育锻炼对血小板的影响:聚焦其在慢性代谢性疾病中的作用

本文引用的文献

1
Calf pain in runners may be caused by venous insufficiency.跑步者的小腿疼痛可能是由静脉功能不全引起的。
Eur J Med Res. 2008 May 26;13(5):218-20.
2
Beyond hemostasis: the role of platelets in inflammation, malignancy and infection.超越止血作用:血小板在炎症、恶性肿瘤及感染中的作用
Cardiovasc Hematol Disord Drug Targets. 2008 Jun;8(2):99-117. doi: 10.2174/187152908784533739.
3
[Blood clotting studies with Thrombus stressography; a new Investigation procedure].[血栓应力成像的凝血研究;一种新的研究方法]
Antioxidants (Basel). 2023 Aug 14;12(8):1609. doi: 10.3390/antiox12081609.
4
Causal relationship between moderate to vigorous physical activity and venous thromboembolism.中等至剧烈体力活动与静脉血栓栓塞症的因果关系。
J Thromb Thrombolysis. 2023 Apr;55(3):576-583. doi: 10.1007/s11239-022-02754-x. Epub 2023 Jan 3.
5
Interaction of a genetic risk score with physical activity, physical inactivity, and body mass index in relation to venous thromboembolism risk.与静脉血栓栓塞风险相关的遗传风险评分与体力活动、缺乏体力活动及体重指数之间的相互作用。
Genet Epidemiol. 2018 Jun;42(4):354-365. doi: 10.1002/gepi.22118. Epub 2018 Mar 8.
6
Effect of Regular Aerobic Activity in Young Healthy Athletes on Profile of Endothelial Function and Platelet Activity.规律有氧运动对年轻健康运动员内皮功能和血小板活性特征的影响。
Biomed Res Int. 2017;2017:8715909. doi: 10.1155/2017/8715909. Epub 2017 May 29.
7
Effects of Physical (In)activity on Platelet Function.体力活动(或缺乏体力活动)对血小板功能的影响。
Biomed Res Int. 2015;2015:165078. doi: 10.1155/2015/165078. Epub 2015 Oct 18.
8
Venous Thromboembolism in Physically Active People: Considerations for Risk Assessment, Mainstream Awareness and Future Research.身体活动人群中的静脉血栓栓塞:风险评估、主流认知及未来研究的考量
Sports Med. 2015 Oct;45(10):1365-72. doi: 10.1007/s40279-015-0360-5.
9
Effect of cycling in the heat for 164 km on procoagulant and fibrinolytic parameters.164公里热环境骑行对凝血和纤溶参数的影响。
Eur J Appl Physiol. 2015 Jun;115(6):1295-303. doi: 10.1007/s00421-015-3107-y. Epub 2015 Jan 22.
10
The impact of triathlon training and racing on athletes' general health.铁人三项训练和比赛对运动员总体健康的影响。
Sports Med. 2014 Dec;44(12):1659-92. doi: 10.1007/s40279-014-0244-0.
Klin Wochenschr. 1948 Oct 1;26(37-38):577-83. doi: 10.1007/BF01697545.
4
Platelet activation and atherothrombosis.血小板活化与动脉粥样硬化血栓形成。
N Engl J Med. 2007 Dec 13;357(24):2482-94. doi: 10.1056/NEJMra071014.
5
Blood coagulation activation and fibrinolysis during a downhill marathon run.下坡马拉松跑过程中的血液凝固激活与纤维蛋白溶解
Blood Coagul Fibrinolysis. 2007 Jul;18(5):435-40. doi: 10.1097/MBC.0b013e328136c19b.
6
Marathon cardiac deaths : the london experience.
Sports Med. 2007;37(4-5):448-50. doi: 10.2165/00007256-200737040-00046.
7
Platelet activity, coagulation, and fibrinolysis during exercise in healthy males: effects of thrombin inhibition by argatroban and enoxaparin.健康男性运动期间的血小板活性、凝血和纤维蛋白溶解:阿加曲班和依诺肝素对凝血酶抑制的影响
Arterioscler Thromb Vasc Biol. 2007 Feb;27(2):407-13. doi: 10.1161/01.ATV.0000253906.19648.ac. Epub 2006 Nov 30.
8
Cardiopulmonary bypass in revascularization and fluid management of exercise-induced acute myocardial infarction.运动诱发急性心肌梗死血运重建中的体外循环及液体管理
J Card Surg. 2006 Sep-Oct;21(5):480-3. doi: 10.1111/j.1540-8191.2006.00291.x.
9
Intravascular hemolysis and mean red blood cell age in athletes.运动员的血管内溶血与平均红细胞年龄
Med Sci Sports Exerc. 2006 Mar;38(3):480-3. doi: 10.1249/01.mss.0000188448.40218.4c.
10
Coagulation parameters in senior athletes practicing endurance sporting activity.从事耐力体育活动的老年运动员的凝血参数
J Sports Med Phys Fitness. 2005 Dec;45(4):576-9.