• 文献检索
  • 文档翻译
  • 深度研究
  • 学术资讯
  • Suppr Zotero 插件Zotero 插件
  • 邀请有礼
  • 套餐&价格
  • 历史记录
应用&插件
Suppr Zotero 插件Zotero 插件浏览器插件Mac 客户端Windows 客户端微信小程序
定价
高级版会员购买积分包购买API积分包
服务
文献检索文档翻译深度研究API 文档MCP 服务
关于我们
关于 Suppr公司介绍联系我们用户协议隐私条款
关注我们

Suppr 超能文献

核心技术专利:CN118964589B侵权必究
粤ICP备2023148730 号-1Suppr @ 2026

文献检索

告别复杂PubMed语法,用中文像聊天一样搜索,搜遍4000万医学文献。AI智能推荐,让科研检索更轻松。

立即免费搜索

文件翻译

保留排版,准确专业,支持PDF/Word/PPT等文件格式,支持 12+语言互译。

免费翻译文档

深度研究

AI帮你快速写综述,25分钟生成高质量综述,智能提取关键信息,辅助科研写作。

立即免费体验

采用三种中国成年人代谢综合征定义标准,评估上海浦东新区代谢综合征的流行情况。

Prevalence of the metabolic syndrome in Pudong New Area of Shanghai using three proposed definitions among Chinese adults.

机构信息

Department of Epidemiology, School of Public Health, Fudan University, Key Laboratory of Public Health Safety, Ministry of Education (Fudan University), 138 Yi Xue Yuan Road, Shanghai 200032, China.

出版信息

BMC Public Health. 2010 May 12;10:246. doi: 10.1186/1471-2458-10-246.

DOI:10.1186/1471-2458-10-246
PMID:20459855
原文链接:https://pmc.ncbi.nlm.nih.gov/articles/PMC2889866/
Abstract

BACKGROUND

The prevalence of metabolic syndrome (MS) has been increasing in China in recent years. The aim of this study is to estimate and compare the prevalence of MS among Chinese adults in Shanghai, one of the most economic developed areas in China, using definitions proposed by World Health Organization (WHO), National Cholesterol Education Program Adult Treatment Panel (modified ATP III) and International Diabetes Federation (IDF).

METHODS

This cross-sectional study included 5,584 adults at age 20-79 randomly selected from Pudong New Area of Shanghai, China, through a three-stage sampling. All participants were interviewed in-person between April and July of 2008 to collect information on demographic and lifestyle characteristics. At the interview, anthropometry and blood pressure were measured and bio-specimens were collected.

RESULTS

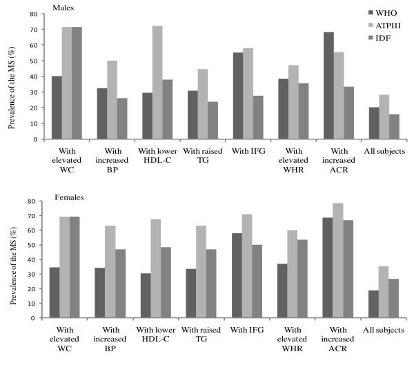
The prevalence estimates for the MS increased with age for each definition in men and women, but the estimates varied greatly between the definitions and by sex. The prevalence of the MS was higher in men (20.2%) than in women (18.7%) using WHO definition but this sex difference was reversed when using the modified ATP III (28.4% for men vs. 35.1% for women) and the IDF (15.9% for men vs. 26.7% for women) criteria. The most common metabolic disorder in this population was dyslipidaemia, regardless of the definition used. Substantial agreement, estimated using the kappa statistic, was found between the modified ATP III and IDF definition, whereas the lowest agreement was observed between the WHO and ATP III criteria.

CONCLUSIONS

The MS is highly prevalent among Chinese adults in Pudong New Area of Shanghai and the most prevalent component was dyslipidemia. These findings underscore the importance of prevention and control efforts for the MS in this area and the need for a unified predictive definition for the syndrome for use by clinical practitioners and public health agencies.

摘要

背景

近年来,中国代谢综合征(MS)的患病率呈上升趋势。本研究旨在采用世界卫生组织(WHO)、美国国家胆固醇教育计划成人治疗专家组(改良 ATPIII)和国际糖尿病联盟(IDF)的定义,评估和比较中国上海经济发达地区成年人的 MS 患病率。

方法

本横断面研究纳入了来自中国上海浦东新区的 5584 名 20-79 岁的成年人,采用三阶段抽样方法随机选择。所有参与者于 2008 年 4 月至 7 月间进行了面对面访谈,以收集人口统计学和生活方式特征信息。访谈时,测量了人体测量学和血压,并采集了生物标本。

结果

在男性和女性中,每种定义的 MS 患病率均随年龄增长而增加,但各定义之间以及性别之间的估计值差异很大。采用 WHO 定义时,MS 在男性(20.2%)中的患病率高于女性(18.7%),但采用改良 ATPIII 定义时,男女之间的这种性别差异则相反(男性为 28.4%,女性为 35.1%),而采用 IDF 定义时,男性(15.9%)的患病率低于女性(26.7%)。无论采用哪种定义,该人群最常见的代谢紊乱都是血脂异常。使用 Kappa 统计量估计,改良 ATPIII 和 IDF 定义之间具有显著一致性,而 WHO 和 ATPIII 标准之间的一致性最低。

结论

上海浦东新区的中国成年人中 MS 的患病率很高,最常见的组成部分是血脂异常。这些发现强调了该地区对 MS 进行预防和控制的重要性,以及临床医生和公共卫生机构对该综合征采用统一预测定义的必要性。

https://cdn.ncbi.nlm.nih.gov/pmc/blobs/a8b5/2889866/874d8e37dbe3/1471-2458-10-246-2.jpg
https://cdn.ncbi.nlm.nih.gov/pmc/blobs/a8b5/2889866/854c9589fbdc/1471-2458-10-246-1.jpg
https://cdn.ncbi.nlm.nih.gov/pmc/blobs/a8b5/2889866/874d8e37dbe3/1471-2458-10-246-2.jpg
https://cdn.ncbi.nlm.nih.gov/pmc/blobs/a8b5/2889866/854c9589fbdc/1471-2458-10-246-1.jpg
https://cdn.ncbi.nlm.nih.gov/pmc/blobs/a8b5/2889866/874d8e37dbe3/1471-2458-10-246-2.jpg

相似文献

1
Prevalence of the metabolic syndrome in Pudong New Area of Shanghai using three proposed definitions among Chinese adults.采用三种中国成年人代谢综合征定义标准,评估上海浦东新区代谢综合征的流行情况。
BMC Public Health. 2010 May 12;10:246. doi: 10.1186/1471-2458-10-246.
2
Prevalence and determinants of metabolic syndrome according to three definitions in middle-aged Chinese men.中年中国男性中三种定义的代谢综合征的患病率及其决定因素。
Metab Syndr Relat Disord. 2009 Feb;7(1):37-45. doi: 10.1089/met.2008.0042.
3
Prevalence and determinants of metabolic syndrome among adults in a rural area of Northwest China.中国西北农村地区成年人代谢综合征的患病率及影响因素
PLoS One. 2014 Mar 10;9(3):e91578. doi: 10.1371/journal.pone.0091578. eCollection 2014.
4
The prevalence and characteristics of metabolic syndrome according to different definitions in China: a nationwide cross-sectional study, 2012-2015.根据不同定义,中国代谢综合征的流行情况和特征:一项全国性横断面研究,2012-2015 年。
BMC Public Health. 2022 Oct 7;22(1):1869. doi: 10.1186/s12889-022-14263-w.
5
Comparison of metabolic syndrome prevalence and characteristics using five different definitions in China: a population-based retrospective study.基于人群的回顾性研究:使用五种不同定义在中国比较代谢综合征的患病率和特征。
Front Public Health. 2024 Feb 19;12:1333910. doi: 10.3389/fpubh.2024.1333910. eCollection 2024.
6
An evaluation of the International Diabetes Federation definition of metabolic syndrome in Chinese patients older than 30 years and diagnosed with type 2 diabetes mellitus.对国际糖尿病联盟代谢综合征定义在30岁以上2型糖尿病中国患者中的评估。
Metabolism. 2006 Aug;55(8):1088-96. doi: 10.1016/j.metabol.2006.04.003.
7
Prevalence of metabolic syndrome in Qazvin Metabolic Diseases Study (QMDS), Iran: a comparative analysis of six definitions.伊朗加兹温代谢疾病研究(QMDS)中代谢综合征的患病率:六种定义的比较分析
Endocr Regul. 2013 Jul;47(3):111-20. doi: 10.4149/endo_2013_03_111.
8
Famine Exposure in Early Life and Risk of Metabolic Syndrome in Adulthood: Comparisons of Different Metabolic Syndrome Definitions.早期生活中的饥荒暴露与成年期代谢综合征风险:不同代谢综合征定义的比较。
J Diabetes Res. 2019 Dec 6;2019:7954856. doi: 10.1155/2019/7954856. eCollection 2019.
9
Geographic variations of the International Diabetes Federation and the National Cholesterol Education Program-Adult Treatment Panel III definitions of the metabolic syndrome in nondiabetic subjects.国际糖尿病联盟与美国国家胆固醇教育计划成人治疗组第三次报告中关于非糖尿病患者代谢综合征定义的地域差异。
Diabetes Care. 2006 Mar;29(3):685-91. doi: 10.2337/diacare.29.03.06.dc05-1796.
10
Comparative analysis of IDF, ATPIII and CDS in the diagnosis of metabolic syndrome among adult inhabitants in Jiangxi Province, China.中国江西省成年居民中IDF、ATPIII和CDS在代谢综合征诊断中的比较分析
PLoS One. 2017 Dec 7;12(12):e0189046. doi: 10.1371/journal.pone.0189046. eCollection 2017.

引用本文的文献

1
Dynamic changes in metabolic health status in Chinese adults: Multiple population-based surveys in Shanghai, China.中国成年人代谢健康状况的动态变化:中国上海市的多项基于人群的调查。
J Diabetes Investig. 2021 Oct;12(10):1784-1796. doi: 10.1111/jdi.13556. Epub 2021 Jun 5.
2
Associations of unhealthy lifestyles with metabolic syndrome in Chinese rural aged females.中国农村老年女性不健康生活方式与代谢综合征的关系。
Sci Rep. 2020 Feb 17;10(1):2718. doi: 10.1038/s41598-020-59607-x.
3
Prevalence of Metabolic Syndrome and its Associated Factors among Multi-ethnic Adults in Rural Areas in Xinjiang, China.

本文引用的文献

1
Ethnic differences in triglyceride levels and high-density lipoprotein lead to underdiagnosis of the metabolic syndrome in black children and adults.甘油三酯水平和高密度脂蛋白的种族差异导致黑人儿童和成人代谢综合征的诊断不足。
J Pediatr. 2009 Sep;155(3):S7.e7-11. doi: 10.1016/j.jpeds.2009.04.049.
2
Components of metabolic syndrome and their combinations as predictors of cardiovascular disease in Japanese patients with type 2 diabetes. Implications for improved definition. Analysis from Japan Diabetes Complications Study (JDCS).日本2型糖尿病患者代谢综合征的组成成分及其组合作为心血管疾病预测指标。对改进定义的启示。来自日本糖尿病并发症研究(JDCS)的分析
J Atheroscler Thromb. 2009 Aug;16(4):380-7. doi: 10.5551/jat.no117. Epub 2009 Aug 11.
3
中国新疆农村多民族成年人代谢综合征的患病率及其相关因素
Sci Rep. 2017 Dec 15;7(1):17643. doi: 10.1038/s41598-017-17870-5.
4
Peripheral neuropathy in prediabetes and the metabolic syndrome.糖尿病前期和代谢综合征中的周围神经病变。
J Diabetes Investig. 2017 Sep;8(5):646-655. doi: 10.1111/jdi.12650. Epub 2017 May 3.
5
Prevalence of metabolic syndrome and its risk factors among rural adults in Nantong, China.中国南通农村成年人代谢综合征及其危险因素的流行情况。
Sci Rep. 2016 Nov 30;6:38089. doi: 10.1038/srep38089.
6
Status of cardiovascular health among adults in a rural area of Northwest China: Results from a cross-sectional study.中国西北农村地区成年人的心血管健康状况:一项横断面研究的结果
Medicine (Baltimore). 2016 Jul;95(28):e4245. doi: 10.1097/MD.0000000000004245.
7
Prevalence and Determinants of Metabolic Syndrome-identified by Three Criteria among Men in Rural China: A Population-based Cross-sectional Study Conducted during 2007-2008.中国农村男性中代谢综合征的患病率及三种诊断标准的决定因素:一项2007 - 2008年基于人群的横断面研究
J Nutr Health Aging. 2016;20(5):574-82. doi: 10.1007/s12603-015-0615-8.
8
An update on the prevalence of metabolic syndrome and its associated factors in rural northeast China.中国东北农村地区代谢综合征患病率及其相关因素的最新情况
BMC Public Health. 2014 Aug 26;14:877. doi: 10.1186/1471-2458-14-877.
9
Association between hepatitis B virus infection and metabolic syndrome: a retrospective cohort study in Shanghai, China.乙型肝炎病毒感染与代谢综合征之间的关联:一项在中国上海进行的回顾性队列研究。
BMC Public Health. 2014 May 28;14:516. doi: 10.1186/1471-2458-14-516.
10
Prevalence and determinants of metabolic syndrome among adults in a rural area of Northwest China.中国西北农村地区成年人代谢综合征的患病率及影响因素
PLoS One. 2014 Mar 10;9(3):e91578. doi: 10.1371/journal.pone.0091578. eCollection 2014.
Prevalence of metabolic syndrome and its relationship with leisure time physical activity among Peruvian adults.秘鲁成年人代谢综合征的患病率及其与闲暇时间体力活动的关系。
Eur J Clin Invest. 2009 Oct;39(10):891-8. doi: 10.1111/j.1365-2362.2009.02191.x. Epub 2009 Jun 26.
4
A comparison of the prevalence of the MS and its complications using three proposed definitions in Korean subjects.使用三种提议的定义对韩国受试者中代谢综合征(MS)及其并发症的患病率进行比较。
Am J Cardiol. 2009 Jun 15;103(12):1732-5. doi: 10.1016/j.amjcard.2009.02.027. Epub 2009 Apr 16.
5
Metabolic syndrome increases the risk of stroke: a 5-year follow-up study in a Chinese population.代谢综合征增加中风风险:一项针对中国人群的5年随访研究
J Neurol. 2009 Sep;256(9):1493-9. doi: 10.1007/s00415-009-5150-2. Epub 2009 Jun 16.
6
Prevalence of metabolic syndrome and factors associated with its components in Chinese adults.中国成年人代谢综合征的患病率及其各组分相关因素
Metabolism. 2009 Aug;58(8):1102-8. doi: 10.1016/j.metabol.2009.04.008. Epub 2009 Jun 18.
7
Community-based population data indicates the significant alterations of insulin resistance, chronic inflammation and urine ACR in IFG combined IGT group among prediabetic population.基于社区的人群数据表明,在糖尿病前期人群中,空腹血糖受损合并糖耐量受损组的胰岛素抵抗、慢性炎症和尿ACR有显著变化。
Diabetes Res Clin Pract. 2009 Jun;84(3):319-24. doi: 10.1016/j.diabres.2009.03.002.
8
Metabolic syndrome and diabetes, alone and in combination, as predictors of cardiovascular disease mortality among men.代谢综合征和糖尿病单独及联合作为男性心血管疾病死亡率的预测因素。
Diabetes Care. 2009 Jul;32(7):1289-94. doi: 10.2337/dc08-1871. Epub 2009 Apr 14.
9
Prevalence of metabolic syndrome according to Adult Treatment Panel III and International Diabetes Federation criteria: a population-based study.根据成人治疗小组III和国际糖尿病联盟标准的代谢综合征患病率:一项基于人群的研究。
Metab Syndr Relat Disord. 2009 Jun;7(3):221-9. doi: 10.1089/met.2008.0077.
10
Prevalence and determinants of metabolic syndrome according to three definitions in middle-aged Chinese men.中年中国男性中三种定义的代谢综合征的患病率及其决定因素。
Metab Syndr Relat Disord. 2009 Feb;7(1):37-45. doi: 10.1089/met.2008.0042.