Suppr超能文献

成功颈动脉内膜切除术治疗无症状狭窄后 10 年的卒中预防(ACST-1):一项多中心随机试验。

10-year stroke prevention after successful carotid endarterectomy for asymptomatic stenosis (ACST-1): a multicentre randomised trial.

机构信息

Nuffield Department of Surgical Sciences, John Radcliffe Hospital, Oxford, UK.

出版信息

Lancet. 2010 Sep 25;376(9746):1074-84. doi: 10.1016/S0140-6736(10)61197-X.

Abstract

BACKGROUND

If carotid artery narrowing remains asymptomatic (ie, has caused no recent stroke or other neurological symptoms), successful carotid endarterectomy (CEA) reduces stroke incidence for some years. We assessed the long-term effects of successful CEA.

METHODS

Between 1993 and 2003, 3120 asymptomatic patients from 126 centres in 30 countries were allocated equally, by blinded minimised randomisation, to immediate CEA (median delay 1 month, IQR 0·3-2·5) or to indefinite deferral of any carotid procedure, and were followed up until death or for a median among survivors of 9 years (IQR 6-11). The primary outcomes were perioperative mortality and morbidity (death or stroke within 30 days) and non-perioperative stroke. Kaplan-Meier percentages and logrank p values are from intention-to-treat analyses. This study is registered, number ISRCTN26156392.

FINDINGS

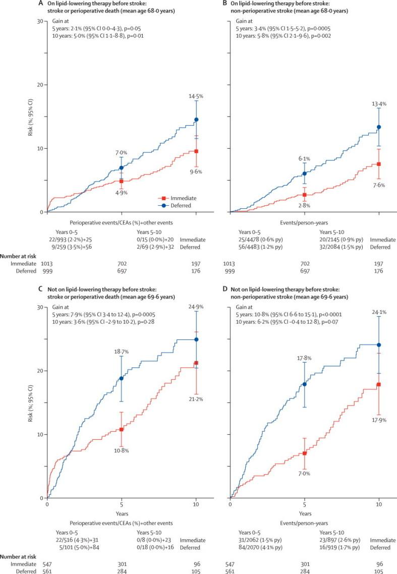
1560 patients were allocated immediate CEA versus 1560 allocated deferral of any carotid procedure. The proportions operated on while still asymptomatic were 89·7% versus 4·8% at 1 year (and 92·1%vs 16·5% at 5 years). Perioperative risk of stroke or death within 30 days was 3·0% (95% CI 2·4-3·9; 26 non-disabling strokes plus 34 disabling or fatal perioperative events in 1979 CEAs). Excluding perioperative events and non-stroke mortality, stroke risks (immediate vs deferred CEA) were 4·1% versus 10·0% at 5 years (gain 5·9%, 95% CI 4·0-7·8) and 10·8% versus 16·9% at 10 years (gain 6·1%, 2·7-9·4); ratio of stroke incidence rates 0·54, 95% CI 0·43-0·68, p<0·0001. 62 versus 104 had a disabling or fatal stroke, and 37 versus 84 others had a non-disabling stroke. Combining perioperative events and strokes, net risks were 6·9% versus 10·9% at 5 years (gain 4·1%, 2·0-6·2) and 13·4% versus 17·9% at 10 years (gain 4·6%, 1·2-7·9). Medication was similar in both groups; throughout the study, most were on antithrombotic and antihypertensive therapy. Net benefits were significant both for those on lipid-lowering therapy and for those not, and both for men and for women up to 75 years of age at entry (although not for older patients).

INTERPRETATION

Successful CEA for asymptomatic patients younger than 75 years of age reduces 10-year stroke risks. Half this reduction is in disabling or fatal strokes. Net benefit in future patients will depend on their risks from unoperated carotid lesions (which will be reduced by medication), on future surgical risks (which might differ from those in trials), and on whether life expectancy exceeds 10 years.

FUNDING

UK Medical Research Council, BUPA Foundation, Stroke Association.

摘要

背景

如果颈动脉狭窄仍然无症状(即,最近没有引起中风或其他神经症状),成功的颈动脉内膜切除术(CEA)可以在几年内降低中风的发生率。我们评估了成功的 CEA 的长期效果。

方法

1993 年至 2003 年,来自 30 个国家的 126 个中心的 3120 名无症状患者被平均分配为立即接受 CEA(中位数延迟 1 个月,IQR 0.3-2.5)或无限期推迟任何颈动脉手术,并随访至死亡或幸存者中位数随访 9 年(IQR 6-11)。主要结果是围手术期死亡率和发病率(术后 30 天内死亡或中风)和非围手术期中风。意向治疗分析中的 Kaplan-Meier 百分比和对数秩 p 值。本研究已注册,编号 ISRCTN26156392。

发现

1560 名患者被分配立即接受 CEA 治疗,1560 名患者被分配延迟任何颈动脉手术。在 1 年内仍无症状接受手术的比例为 89.7%比 4.8%(5 年内分别为 92.1%比 16.5%)。术后 30 天内中风或死亡的风险为 3.0%(95%CI 2.4-3.9;1979 例 CEA 中有 26 例非致残性中风和 34 例致残性或致命性围手术期事件)。排除围手术期事件和非中风死亡率后,5 年内中风风险(立即与延迟 CEA)为 4.1%比 10.0%(获益 5.9%,95%CI 4.0-7.8),10 年内为 10.8%比 16.9%(获益 6.1%,2.7-9.4);中风发生率比为 0.54,95%CI 0.43-0.68,p<0.0001。62 例患者发生致残性或致命性中风,104 例患者发生非致残性中风。将围手术期事件和中风合并后,5 年内净风险为 6.9%比 10.9%(获益 4.1%,2.0-6.2),10 年内为 13.4%比 17.9%(获益 4.6%,1.2-7.9)。两组的药物治疗相似;在整个研究过程中,大多数患者接受抗血栓和降压治疗。对于服用降脂药物和未服用降脂药物的患者,以及在入组时年龄在 75 岁以下的男性和女性,都有显著的净获益(尽管对于年龄较大的患者没有获益)。

结论

对于年龄小于 75 岁的无症状患者,成功的 CEA 可降低 10 年中风风险。这种风险降低的一半是由于致残性或致命性中风。未来患者的净获益将取决于未手术颈动脉病变的风险(药物治疗将降低这些风险)、未来手术风险(可能与试验中的风险不同)以及预期寿命是否超过 10 年。

资金

英国医学研究理事会、BUPA 基金会、中风协会。

https://cdn.ncbi.nlm.nih.gov/pmc/blobs/c7c3/2956884/270f0ab10024/gr1.jpg

文献检索

告别复杂PubMed语法,用中文像聊天一样搜索,搜遍4000万医学文献。AI智能推荐,让科研检索更轻松。

立即免费搜索

文件翻译

保留排版,准确专业,支持PDF/Word/PPT等文件格式,支持 12+语言互译。

免费翻译文档

深度研究

AI帮你快速写综述,25分钟生成高质量综述,智能提取关键信息,辅助科研写作。

立即免费体验