• 文献检索
  • 文档翻译
  • 深度研究
  • 学术资讯
  • Suppr Zotero 插件Zotero 插件
  • 邀请有礼
  • 套餐&价格
  • 历史记录
应用&插件
Suppr Zotero 插件Zotero 插件浏览器插件Mac 客户端Windows 客户端微信小程序
定价
高级版会员购买积分包购买API积分包
服务
文献检索文档翻译深度研究API 文档MCP 服务
关于我们
关于 Suppr公司介绍联系我们用户协议隐私条款
关注我们

Suppr 超能文献

核心技术专利:CN118964589B侵权必究
粤ICP备2023148730 号-1Suppr @ 2026

文献检索

告别复杂PubMed语法,用中文像聊天一样搜索,搜遍4000万医学文献。AI智能推荐,让科研检索更轻松。

立即免费搜索

文件翻译

保留排版,准确专业,支持PDF/Word/PPT等文件格式,支持 12+语言互译。

免费翻译文档

深度研究

AI帮你快速写综述,25分钟生成高质量综述,智能提取关键信息,辅助科研写作。

立即免费体验

一个统计学上有意义的趋势的操作定义。

An operational definition of a statistically meaningful trend.

机构信息

Department of Earth Sciences, Uppsala University, Uppsala, Sweden.

出版信息

PLoS One. 2011 Apr 28;6(4):e19241. doi: 10.1371/journal.pone.0019241.

DOI:10.1371/journal.pone.0019241
PMID:21552532
原文链接:https://pmc.ncbi.nlm.nih.gov/articles/PMC3084280/
Abstract

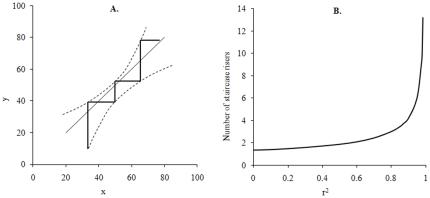
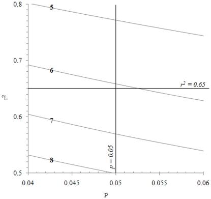
Linear trend analysis of time series is standard procedure in many scientific disciplines. If the number of data is large, a trend may be statistically significant even if data are scattered far from the trend line. This study introduces and tests a quality criterion for time trends referred to as statistical meaningfulness, which is a stricter quality criterion for trends than high statistical significance. The time series is divided into intervals and interval mean values are calculated. Thereafter, r(2) and p values are calculated from regressions concerning time and interval mean values. If r(2) ≥ 0.65 at p ≤ 0.05 in any of these regressions, then the trend is regarded as statistically meaningful. Out of ten investigated time series from different scientific disciplines, five displayed statistically meaningful trends. A Microsoft Excel application (add-in) was developed which can perform statistical meaningfulness tests and which may increase the operationality of the test. The presented method for distinguishing statistically meaningful trends should be reasonably uncomplicated for researchers with basic statistics skills and may thus be useful for determining which trends are worth analysing further, for instance with respect to causal factors. The method can also be used for determining which segments of a time trend may be particularly worthwhile to focus on.

摘要

线性趋势分析是许多科学学科的标准程序。如果数据量很大,即使数据远离趋势线分散,趋势也可能在统计上显著。本研究介绍并测试了一种称为统计意义的时间趋势质量标准,这是比高统计显著性更严格的趋势质量标准。将时间序列分为区间,并计算区间平均值。然后,从关于时间和区间平均值的回归中计算 r(2) 和 p 值。如果在任何这些回归中 r(2)≥0.65 且 p≤0.05,则认为趋势具有统计学意义。在所研究的来自不同科学学科的十个时间序列中,有五个显示出具有统计学意义的趋势。开发了一个 Microsoft Excel 应用程序(加载项),可以执行统计意义测试,并且可以提高测试的操作性。对于具有基本统计学技能的研究人员来说,所提出的区分具有统计学意义的趋势的方法应该相当简单,因此对于确定哪些趋势值得进一步分析,例如对于因果因素,可能很有用。该方法还可用于确定时间趋势的哪些部分特别值得关注。

https://cdn.ncbi.nlm.nih.gov/pmc/blobs/596c/3084280/a0281740c2c6/pone.0019241.g008.jpg
https://cdn.ncbi.nlm.nih.gov/pmc/blobs/596c/3084280/29f2c658516b/pone.0019241.g001.jpg
https://cdn.ncbi.nlm.nih.gov/pmc/blobs/596c/3084280/d8ddf56a6d9e/pone.0019241.g002.jpg
https://cdn.ncbi.nlm.nih.gov/pmc/blobs/596c/3084280/7b2fc10191f8/pone.0019241.g003.jpg
https://cdn.ncbi.nlm.nih.gov/pmc/blobs/596c/3084280/a7bc827d7cd4/pone.0019241.g004.jpg
https://cdn.ncbi.nlm.nih.gov/pmc/blobs/596c/3084280/bb5f3bbba419/pone.0019241.g005.jpg
https://cdn.ncbi.nlm.nih.gov/pmc/blobs/596c/3084280/8a3938a02fa7/pone.0019241.g006.jpg
https://cdn.ncbi.nlm.nih.gov/pmc/blobs/596c/3084280/f5aeecd2912c/pone.0019241.g007.jpg
https://cdn.ncbi.nlm.nih.gov/pmc/blobs/596c/3084280/a0281740c2c6/pone.0019241.g008.jpg
https://cdn.ncbi.nlm.nih.gov/pmc/blobs/596c/3084280/29f2c658516b/pone.0019241.g001.jpg
https://cdn.ncbi.nlm.nih.gov/pmc/blobs/596c/3084280/d8ddf56a6d9e/pone.0019241.g002.jpg
https://cdn.ncbi.nlm.nih.gov/pmc/blobs/596c/3084280/7b2fc10191f8/pone.0019241.g003.jpg
https://cdn.ncbi.nlm.nih.gov/pmc/blobs/596c/3084280/a7bc827d7cd4/pone.0019241.g004.jpg
https://cdn.ncbi.nlm.nih.gov/pmc/blobs/596c/3084280/bb5f3bbba419/pone.0019241.g005.jpg
https://cdn.ncbi.nlm.nih.gov/pmc/blobs/596c/3084280/8a3938a02fa7/pone.0019241.g006.jpg
https://cdn.ncbi.nlm.nih.gov/pmc/blobs/596c/3084280/f5aeecd2912c/pone.0019241.g007.jpg
https://cdn.ncbi.nlm.nih.gov/pmc/blobs/596c/3084280/a0281740c2c6/pone.0019241.g008.jpg

相似文献

1
An operational definition of a statistically meaningful trend.一个统计学上有意义的趋势的操作定义。
PLoS One. 2011 Apr 28;6(4):e19241. doi: 10.1371/journal.pone.0019241.
2
Simple Approach to Calculate Random Effects Model Tolerance Intervals to Set Release and Shelf-Life Specification Limits of Pharmaceutical Products.计算随机效应模型耐受区间以设定药品放行和保质期规格限度的简易方法。
PDA J Pharm Sci Technol. 2019 Jan-Feb;73(1):39-59. doi: 10.5731/pdajpst.2018.008839. Epub 2018 Oct 25.
3
Global Trends of Bladder Cancer Incidence and Mortality, and Their Associations with Tobacco Use and Gross Domestic Product Per Capita.膀胱癌发病率和死亡率的全球趋势,及其与烟草使用和人均国内生产总值的关系。
Eur Urol. 2020 Dec;78(6):893-906. doi: 10.1016/j.eururo.2020.09.006. Epub 2020 Sep 21.
4
ANALYSIS OF TRENDS IN LIFE EXPECTANCIES AND PER CAPITA GROSS DOMESTIC PRODUCT AS WELL AS PHARMACEUTICAL AND NON-PHARMACEUTICAL HEALTHCARE EXPENDITURES.人均预期寿命、人均国内生产总值以及医药和非医药医疗保健支出的趋势分析
Acta Pol Pharm. 2015 Sep-Oct;72(5):1045-50.
5
Questioning economic growth.对经济增长提出质疑。
Nature. 2010 Nov 18;468(7322):370-1. doi: 10.1038/468370a.
6
Segmentation of time series in up- and down-trends using the epsilon-tau procedure with application to USD/JPY foreign exchange market data.使用 epsilon-tau 程序对上升和下降趋势进行时间序列分割及其在外汇报价数据中的应用。
PLoS One. 2020 Sep 18;15(9):e0239494. doi: 10.1371/journal.pone.0239494. eCollection 2020.
7
Long-term trends and probability distributions of river water quality variables and their relationships with climate elasticity characteristics.河流水质变量的长期趋势和概率分布及其与气候弹性特征的关系。
Environ Monit Assess. 2018 Oct 18;190(11):648. doi: 10.1007/s10661-018-7044-1.
8
Assessment and statistical modeling of the relationship between remotely sensed aerosol optical depth and PM2.5 in the eastern United States.美国东部地区遥感气溶胶光学厚度与PM2.5之间关系的评估及统计建模
Res Rep Health Eff Inst. 2012 May(167):5-83; discussion 85-91.
9
Statistical approach to the analysis of olive long-term pollen season trends in southern Spain.统计方法分析西班牙南部橄榄树长期花粉季节趋势
Sci Total Environ. 2014 Mar 1;473-474:103-9. doi: 10.1016/j.scitotenv.2013.11.142. Epub 2013 Dec 20.
10
Impact of the 1990 Hong Kong legislation for restriction on sulfur content in fuel.1990年香港燃料含硫量限制立法的影响。
Res Rep Health Eff Inst. 2012 Aug(170):5-91.

引用本文的文献

1
The Trend to Use the Word "Trend" to Describe Nonsignificant Results in Orthopaedic Literature.在骨科文献中使用“趋势”一词来描述无显著意义结果的趋势。
JB JS Open Access. 2025 Apr 18;10(2). doi: 10.2106/JBJS.OA.24.00211. eCollection 2025 Apr-Jun.
2
SCG variability and spectral energy distribution during normal breathing and breath hold at different lung volumes and airway pressures.在不同肺容量和气道压力下正常呼吸和屏气时的 SCG 变异性和频谱能量分布。
Sci Rep. 2024 Aug 2;14(1):17904. doi: 10.1038/s41598-024-68590-6.
3
Female genital mutilation: trends, economic burden of delay and basis for public health interventions.

本文引用的文献

1
Trend analysis of time-series data: A novel method for untargeted metabolite discovery.时间序列数据分析趋势:一种用于非靶向代谢物发现的新方法。
Anal Chim Acta. 2010 Mar 17;663(1):98-104. doi: 10.1016/j.aca.2010.01.038. Epub 2010 Jan 25.
2
Trends in preterm births in Flanders, Belgium, from 1991 to 2002.1991 年至 2002 年期间,比利时弗兰德斯的早产趋势。
Paediatr Perinat Epidemiol. 2009 Nov;23(6):522-32. doi: 10.1111/j.1365-3016.2009.01067.x.
3
On the trend, detrending, and variability of nonlinear and nonstationary time series.
女性生殖器官切割:趋势、延迟的经济负担和公共卫生干预的依据。
Int J Equity Health. 2024 Apr 15;23(1):73. doi: 10.1186/s12939-024-02140-4.
4
Codeveloping and Evaluating a Campaign to Reduce Dementia Misconceptions on Twitter: Machine Learning Study.共同开发并评估一项在推特上减少痴呆症误解的活动:机器学习研究。
JMIR Infodemiology. 2022 Nov 22;2(2):e36871. doi: 10.2196/36871. eCollection 2022 Jul-Dec.
5
Anti-seizure efficacy and retention rate of carbamazepine is highly variable in randomized controlled trials: A meta-analysis.卡马西平在随机对照试验中的抗惊厥疗效和保留率差异很大:一项荟萃分析。
Epilepsia Open. 2022 Dec;7(4):556-569. doi: 10.1002/epi4.12644. Epub 2022 Aug 30.
6
Estimating cetacean population trends from static acoustic monitoring data using Paired Year Ratio Assessment (PYRA).利用配对年比评估法(PYRA)从静态声学监测数据估算鲸目动物种群趋势。
PLoS One. 2022 Mar 17;17(3):e0264289. doi: 10.1371/journal.pone.0264289. eCollection 2022.
7
Chronic and acute arsenic exposure enhance EGFR expression via distinct molecular mechanisms.慢性和急性砷暴露通过不同的分子机制增强表皮生长因子受体(EGFR)的表达。
Toxicol In Vitro. 2020 Sep;67:104925. doi: 10.1016/j.tiv.2020.104925. Epub 2020 Jun 26.
8
Multi-temporal reconstruction of long-term changes in land cover in and around the Swartkops River Estuary, Eastern Cape, South Africa.南非东开普省斯瓦特克普斯河口及其周边地区土地覆盖长期变化的多时相重建。
Environ Monit Assess. 2020 Feb 10;192(3):173. doi: 10.1007/s10661-020-8136-2.
9
Macrophyte assessment in European lakes: Diverse approaches but convergent views of 'good' ecological status.欧洲湖泊大型植物评估:方法多样,但对“良好”生态状况的看法趋同。
Ecol Indic. 2018 Nov;94:185-197. doi: 10.1016/j.ecolind.2018.06.056.
10
Rehabilitation of hand function after spinal cord injury using a novel handgrip device: a pilot study.使用新型握力装置对脊髓损伤后手部功能进行康复治疗:一项初步研究。
J Neuroeng Rehabil. 2017 Mar 21;14(1):22. doi: 10.1186/s12984-017-0234-1.
关于非线性和非平稳时间序列的趋势、去趋势以及变异性
Proc Natl Acad Sci U S A. 2007 Sep 18;104(38):14889-94. doi: 10.1073/pnas.0701020104. Epub 2007 Sep 10.
4
Finding scientific topics.寻找科学主题。
Proc Natl Acad Sci U S A. 2004 Apr 6;101 Suppl 1(Suppl 1):5228-35. doi: 10.1073/pnas.0307752101. Epub 2004 Feb 10.
5
Cerebral correlates of the progression rate of the cognitive decline in probable Alzheimer's disease.可能的阿尔茨海默病认知衰退进展速率的脑相关性
Eur Neurol. 2003;50(1):1-9. doi: 10.1159/000070851.
6
Confidence intervals rather than P values: estimation rather than hypothesis testing.置信区间而非P值:估计而非假设检验。
Br Med J (Clin Res Ed). 1986 Mar 15;292(6522):746-50. doi: 10.1136/bmj.292.6522.746.