Suppr超能文献

围产期获得性HIV感染女性的妊娠:结局与挑战

Pregnancy in women with perinatally acquired HIV-infection: outcomes and challenges.

作者信息

Phillips Usha K, Rosenberg Michael G, Dobroszycki Joanna, Katz Mindy, Sansary Jorge, Golatt Mindy A, Wiznia Andrew A, Abadi Jacobo

机构信息

Department of Pediatrics, Divisions of Infectious Diseases, Jacobi Medical Center, Bronx, NY, USA.

出版信息

AIDS Care. 2011 Sep;23(9):1076-82. doi: 10.1080/09540121.2011.554643. Epub 2011 May 23.

Abstract

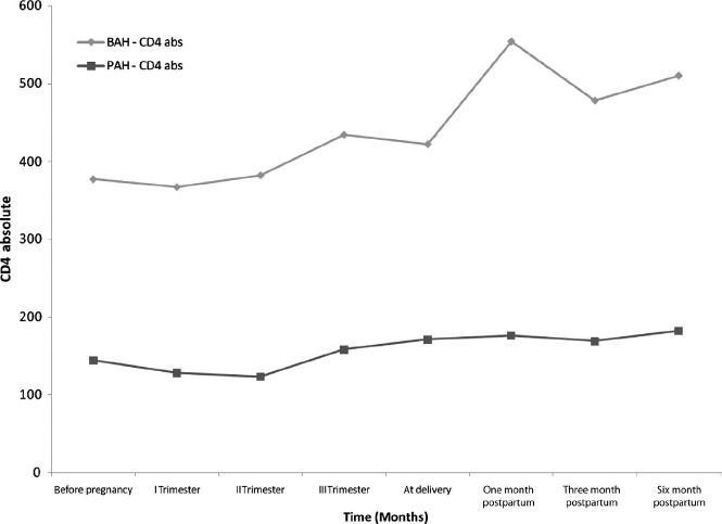
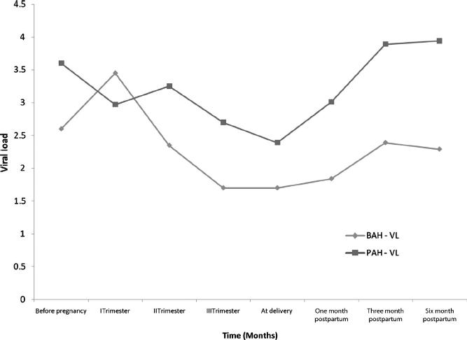
This is a retrospective comparison of pregnant women with perinatally acquired HIV-infection (PAH) with a cohort of pregnant women with behaviorally acquired HIV-infection (BAH). PAH cases (11 women) included all pregnant adolescents followed at our HIV clinic from January 2000 to January 2009. BAH cases (27 women) were randomly selected from all deliveries within the study period at the same institution. Demographics, mode of delivery, CD4+ counts, and viral loads (VLs) before, during, and six months postpartum, as well as neonatal outcomes, were reviewed. CD4 counts were significantly lower in the PAH group. VLs were statistically higher in the PAH group. VLs were undetectable at delivery in 60% of the PAH group compared with 88% of the BAH group. No cases of vertical transmission occurred. PAH women may be at a higher risk for HIV-related disease progression. This may increase vertical transmission risks. Further studies and interventions with this growing population are warranted.

摘要

这是一项针对围产期获得性HIV感染(PAH)孕妇与行为获得性HIV感染(BAH)孕妇队列的回顾性比较研究。PAH病例(11名女性)包括2000年1月至2009年1月在我们的HIV诊所随访的所有怀孕青少年。BAH病例(27名女性)是从同一机构研究期间的所有分娩中随机选取的。回顾了人口统计学资料、分娩方式、产前、产时及产后六个月的CD4 +细胞计数和病毒载量(VL),以及新生儿结局。PAH组的CD4细胞计数显著更低。PAH组的VL在统计学上更高。PAH组60%的孕妇在分娩时病毒载量不可检测,而BAH组为88%。未发生垂直传播病例。PAH女性可能有更高的HIV相关疾病进展风险。这可能会增加垂直传播风险。对这一不断增长的人群进行进一步研究和干预是有必要的。

https://cdn.ncbi.nlm.nih.gov/pmc/blobs/16f9/3320097/8429121419ed/caic23_1076_f1.jpg

文献AI研究员

20分钟写一篇综述,助力文献阅读效率提升50倍。

立即体验

用中文搜PubMed

大模型驱动的PubMed中文搜索引擎

马上搜索

文档翻译

学术文献翻译模型,支持多种主流文档格式。

立即体验