• 文献检索
  • 文档翻译
  • 深度研究
  • 学术资讯
  • Suppr Zotero 插件Zotero 插件
  • 邀请有礼
  • 套餐&价格
  • 历史记录
应用&插件
Suppr Zotero 插件Zotero 插件浏览器插件Mac 客户端Windows 客户端微信小程序
定价
高级版会员购买积分包购买API积分包
服务
文献检索文档翻译深度研究API 文档MCP 服务
关于我们
关于 Suppr公司介绍联系我们用户协议隐私条款
关注我们

Suppr 超能文献

核心技术专利:CN118964589B侵权必究
粤ICP备2023148730 号-1Suppr @ 2026

文献检索

告别复杂PubMed语法,用中文像聊天一样搜索,搜遍4000万医学文献。AI智能推荐,让科研检索更轻松。

立即免费搜索

文件翻译

保留排版,准确专业,支持PDF/Word/PPT等文件格式,支持 12+语言互译。

免费翻译文档

深度研究

AI帮你快速写综述,25分钟生成高质量综述,智能提取关键信息,辅助科研写作。

立即免费体验

N-{4-溴-2-[(S)-薄荷氧基]-5-氧代-2,5-二氢-3-呋喃基}-L-缬氨酸

N-{4-Bromo-2-[(S)-menth-yloxy]-5-oxo-2,5-dihydro-3-fur-yl}-l-valine.

作者信息

Song Xiu-Mei, Li Zhao-Yang, Wang Zhao-Yang, Fu Jian-Hua

机构信息

School of Chemistry and the Environment, South China Normal University, Guangzhou 510006, People's Republic of China.

出版信息

Acta Crystallogr Sect E Struct Rep Online. 2009 Jul 11;65(Pt 8):o1838. doi: 10.1107/S1600536809026129.

DOI:10.1107/S1600536809026129
PMID:21583539
原文链接:https://pmc.ncbi.nlm.nih.gov/articles/PMC2977280/
Abstract

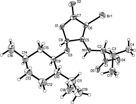
The title compound, C(19)H(30)BrNO(5), was obtained via a tandem asymmetric Michael addition-elimination reaction of 3,4-dibromo-5-[(S)-l-menth-yloxy]furan-2(5H)-one and l-valine in the presence of potassium hydroxide. The mol-ecular structure contains an approximately planar (r.m.s. deviation = 0.0204 Å) five-membered furan-one ring and a six-membered menth-yloxy ring adopting a chair conformation. The crystal packing is stabilized by inter-molecular O-H⋯O and N-H⋯O hydrogen bonding.

摘要

标题化合物C(19)H(30)BrNO(5)是通过3,4-二溴-5-[(S)-薄荷氧基]呋喃-2(5H)-酮与L-缬氨酸在氢氧化钾存在下进行串联不对称迈克尔加成-消除反应得到的。分子结构包含一个近似平面的(均方根偏差 = 0.0204 Å)五元呋喃-酮环和一个呈椅式构象的六元薄荷氧基环。晶体堆积通过分子间的O-H⋯O和N-H⋯O氢键得以稳定。

https://cdn.ncbi.nlm.nih.gov/pmc/blobs/3fea/2977280/acb78559b3d6/e-65-o1838-fig1.jpg
https://cdn.ncbi.nlm.nih.gov/pmc/blobs/3fea/2977280/acb78559b3d6/e-65-o1838-fig1.jpg
https://cdn.ncbi.nlm.nih.gov/pmc/blobs/3fea/2977280/acb78559b3d6/e-65-o1838-fig1.jpg

相似文献

1
N-{4-Bromo-2-[(S)-menth-yloxy]-5-oxo-2,5-dihydro-3-fur-yl}-l-valine.N-{4-溴-2-[(S)-薄荷氧基]-5-氧代-2,5-二氢-3-呋喃基}-L-缬氨酸
Acta Crystallogr Sect E Struct Rep Online. 2009 Jul 11;65(Pt 8):o1838. doi: 10.1107/S1600536809026129.
2
N-[(2S)-4-Chloro-2-(l-menth-yloxy)-5-oxo-2,5-dihydro-furan-3-yl]-l-valine.N-[(2S)-4-氯-2-(l-薄荷氧基)-5-氧代-2,5-二氢呋喃-3-基]-l-缬氨酸
Acta Crystallogr Sect E Struct Rep Online. 2009 Jun 17;65(Pt 7):o1585. doi: 10.1107/S1600536809022120.
3
N-[(2S)-4-Chloro-2-(l-menthyloxy)-5-oxo-2,5-dihydro-3-furyl]-l-alanine.N-[(2S)-4-氯-2-(L-薄荷氧基)-5-氧代-2,5-二氢-3-呋喃基]-L-丙氨酸
Acta Crystallogr Sect E Struct Rep Online. 2009 Apr 10;65(Pt 5):o1030. doi: 10.1107/S1600536809012720.
4
(S)-3-Chloro-4-(4-ethyl-piperazin-1-yl)-5-[(1R,2S,5R)-2-isopropyl-5-methyl-cyclo-hex-yloxy]furan-2(5H)-one.(S)-3-氯-4-(4-乙基-哌嗪-1-基)-5- [(1R,2S,5R)-2-异丙基-5-甲基-环己氧基]呋喃-2(5H)-酮
Acta Crystallogr Sect E Struct Rep Online. 2010 Jul 14;66(Pt 8):o2022. doi: 10.1107/S1600536810026929.
5
(S)-3-Bromo-4-diallyl-amino-5-[(1R,2S,5R)-2-isopropyl-5-methyl-cyclo-hex-yloxy]furan-2(5H)-one.(S)-3-溴-4-二烯丙基氨基-5-[(1R,2S,5R)-2-异丙基-5-甲基环己氧基]呋喃-2(5H)-酮
Acta Crystallogr Sect E Struct Rep Online. 2010 Nov 24;66(Pt 12):o3277. doi: 10.1107/S1600536810047173.
6
(5S)-3-Chloro-4-(2,5-dihydro-1H-pyrrol-1-yl)-5-[(1R,2S,5R)-2-isopropyl-5-methyl-cyclo-hex-yloxy]furan-2(5H)-one.(5S)-3-氯-4-(2,5-二氢-1H-吡咯-1-基)-5-[(1R,2S,5R)-2-异丙基-5-甲基-环己氧基]呋喃-2(5H)-酮
Acta Crystallogr Sect E Struct Rep Online. 2010 Dec 11;67(Pt 1):o73. doi: 10.1107/S1600536810051226.
7
(5S)-3-Chloro-5-[(1R,2S,5R)-2-isopropyl-5-methyl-cyclo-hex-yloxy]-4-(4-methyl-piperidin-1-yl)furan-2(5H)-one.(5S)-3-氯-5-[(1R,2S,5R)-2-异丙基-5-甲基-环己氧基]-4-(4-甲基-哌啶-1-基)呋喃-2(5H)-酮
Acta Crystallogr Sect E Struct Rep Online. 2011 Feb 19;67(Pt 3):o656. doi: 10.1107/S1600536811005216.
8
Methyl 2-[(4-chloro-2-meth-oxy-5-oxo-2,5-dihydro-furan-3-yl)amino]-acetate.2-[(4-氯-2-甲氧基-5-氧代-2,5-二氢呋喃-3-基)氨基]乙酸甲酯
Acta Crystallogr Sect E Struct Rep Online. 2010 Jun 30;66(Pt 7):o1857. doi: 10.1107/S160053681002461X.
9
(5S)-3-Chloro-4-diallyl-amino-5-[(1R,2S,5R)-2-isopropyl-5-methyl-cyclo-hex-yloxy]furan-2(5H)-one.(5S)-3-氯-4-二烯丙基氨基-5-[(1R,2S,5R)-2-异丙基-5-甲基环己氧基]呋喃-2(5H)-酮
Acta Crystallogr Sect E Struct Rep Online. 2011 Aug 1;67(Pt 8):o2050. doi: 10.1107/S1600536811027772. Epub 2011 Jul 16.
10
(S)-5-(l-Menth-yloxy)-5-[(2R,3R)-2-(l-menth-yloxy)-5-oxotetra-hydro-furan-3-yl]furan-2(5H)-one.(S)-5-(1-薄荷氧基)-5-[(2R,3R)-2-(1-薄荷氧基)-5-氧代四氢呋喃-3-基]呋喃-2(5H)-酮
Acta Crystallogr Sect E Struct Rep Online. 2009 Dec 19;66(Pt 1):o202. doi: 10.1107/S1600536809053690.

引用本文的文献

1
3-Bromo-5-meth-oxy-4-(4-methyl-piperidin-1-yl)furan-2(5H)-one.3-溴-5-甲氧基-4-(4-甲基哌啶-1-基)呋喃-2(5H)-酮
Acta Crystallogr Sect E Struct Rep Online. 2011 Apr 1;67(Pt 4):o862. doi: 10.1107/S1600536811008804. Epub 2011 Mar 12.
2
Methyl 2-[(4-chloro-2-meth-oxy-5-oxo-2,5-dihydro-furan-3-yl)amino]-acetate.2-[(4-氯-2-甲氧基-5-氧代-2,5-二氢呋喃-3-基)氨基]乙酸甲酯
Acta Crystallogr Sect E Struct Rep Online. 2010 Jun 30;66(Pt 7):o1857. doi: 10.1107/S160053681002461X.

本文引用的文献

1
N-[(2S)-4-Chloro-2-(l-menthyloxy)-5-oxo-2,5-dihydro-3-furyl]-l-alanine.N-[(2S)-4-氯-2-(L-薄荷氧基)-5-氧代-2,5-二氢-3-呋喃基]-L-丙氨酸
Acta Crystallogr Sect E Struct Rep Online. 2009 Apr 10;65(Pt 5):o1030. doi: 10.1107/S1600536809012720.
2
A short history of SHELX.SHELX简史。
Acta Crystallogr A. 2008 Jan;64(Pt 1):112-22. doi: 10.1107/S0108767307043930. Epub 2007 Dec 21.
3
Development of a novel Pd-catalyzed N-acyl vinylogous carbamate synthesis for the key intermediate of ICE inhibitor VX-765.开发一种用于ICE抑制剂VX-765关键中间体的新型钯催化N-酰基烯醇式氨基甲酸酯合成方法。
Org Lett. 2008 Jan 17;10(2):185-8. doi: 10.1021/ol702532h. Epub 2007 Dec 15.
4
Peniamidienone and penidilamine, plant growth regulators produced by the fungus Penicillium sp. No. 13.青霉胺二烯酮和青霉胺,由青霉菌13号菌株产生的植物生长调节剂。
Phytochemistry. 2000 Apr;53(8):829-31. doi: 10.1016/s0031-9422(99)00492-6.
5
Synthesis of combinatorial libraries of 3,4,5-trisubstituted 2(5H)-furanones. Part Two: Construction of a library of 4-amino-5-alkoxy-2(5H)-furanones.3,4,5-三取代-2(5H)-呋喃酮组合库的合成。第二部分:4-氨基-5-烷氧基-2(5H)-呋喃酮库的构建。
Drug Des Discov. 1999 Nov;16(3):243-50.