Suppr超能文献

健康青年人脂联素、高敏 C 反应蛋白与三酰甘油水平的关系。

The relationship among adiponectin, high sensitive C reactive protein and triacylglycerol level in healthy young persons.

机构信息

Department of Cardiology, Second Affiliated Hospital, Medical College of Nanchang University, 330006, NO 1 Mingde Road, Nanchang, Jiangxi, PR of China.

出版信息

Lipids Health Dis. 2011 Jun 30;10:109. doi: 10.1186/1476-511X-10-109.

Abstract

BACKGROUND

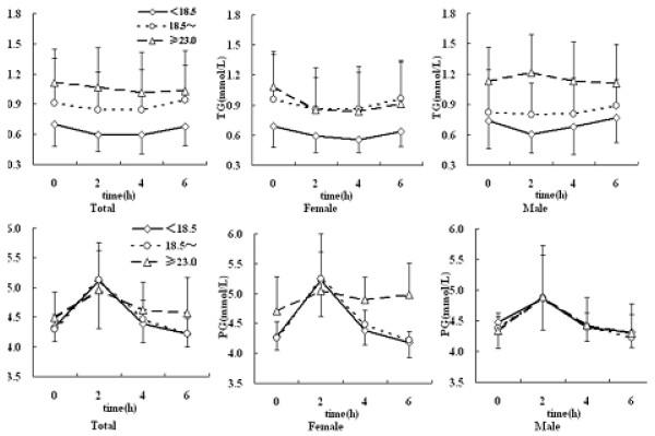
The elevated postprandial triacylglycerol (TG) concentration is associated with elevated coronary artery disease. Oral fatty tolerant test (OFTT) is less performed in the health. This study was to evaluate the effect of sex and body mass index (BMI) on postprandial TG concentration of the low fat meal in healthy young persons. This study included 112 healthy college students (18.8+/-1.6 y). Their body height and weight were measured for body mass index (BMI). According to BMI, 27 subjects were in the under-weight subgroup, 60 in the normal weight subgroup and 25 in the over-weight subgroup. After overnight fasting low fat OFTT (27 g fat, 600 kcal) was performed and the plasma TG and glucose concentrations were measured before and at 2, 4 and 6 hour after a fat meal. The area under the curve (AUC) of TG was calculated.

RESULTS

The fasting TG levels were similar and the fasting TG levels gradually increased as BMI increased in both sexes. The postprandial TG levels at 2 and 4 h decreased in female, but did not significant change in male. In female, the TG curves of 3 BMI subgroups showed saddle type, but in male the TG curve of the over-weight subgroup had a peak at 2 h, on the other hand the TG curve of under- weight subgroup had a dip at 2 h.

CONCLUSIONS

Gender and BMI are important influencing factors for TG metabolism after fat meal in the youth. The young male persons with over-BMI have abnormal TG metabolism.

摘要

背景

餐后三酰甘油(TG)浓度升高与冠心病的发生有关。口服脂肪耐量试验(OFTT)在健康人群中应用较少。本研究旨在评估性别和体重指数(BMI)对健康年轻人群低脂餐后 TG 浓度的影响。本研究纳入了 112 名健康大学生(18.8±1.6 岁)。测量他们的身高和体重以计算 BMI。根据 BMI,27 名受试者为低体重亚组,60 名为正常体重亚组,25 名为超重亚组。受试者隔夜禁食后行低脂 OFTT(27g 脂肪,600kcal),分别于餐前和餐后 2、4、6 小时检测血浆 TG 和葡萄糖浓度,计算 TG 的曲线下面积(AUC)。

结果

男女两性的空腹 TG 水平相似,且随着 BMI 的增加逐渐升高。女性在 2 小时和 4 小时的餐后 TG 水平下降,但男性没有明显变化。女性 3 个 BMI 亚组的 TG 曲线呈鞍型,但男性超重亚组的 TG 曲线在 2 小时出现峰值,而低体重亚组的 TG 曲线在 2 小时出现低谷。

结论

性别和 BMI 是影响青年人群餐后 TG 代谢的重要因素。超重的年轻男性存在异常的 TG 代谢。

https://cdn.ncbi.nlm.nih.gov/pmc/blobs/99ba/3150310/36a224323c50/1476-511X-10-109-1.jpg

文献检索

告别复杂PubMed语法,用中文像聊天一样搜索,搜遍4000万医学文献。AI智能推荐,让科研检索更轻松。

立即免费搜索

文件翻译

保留排版,准确专业,支持PDF/Word/PPT等文件格式,支持 12+语言互译。

免费翻译文档

深度研究

AI帮你快速写综述,25分钟生成高质量综述,智能提取关键信息,辅助科研写作。

立即免费体验