Suppr超能文献

母亲产前诊断相关的压力和焦虑对胎-母依恋的影响。

The effect of stress and anxiety associated with maternal prenatal diagnosis on feto-maternal attachment.

机构信息

Academic Unit of Reproductive and Developmental Medicine, University of Sheffield, 4th Floor, Jessop Wing, Tree Root Walk, Sheffield, S10 2SF, UK.

出版信息

BMC Womens Health. 2011 Jul 12;11:33. doi: 10.1186/1472-6874-11-33.

Abstract

BACKGROUND

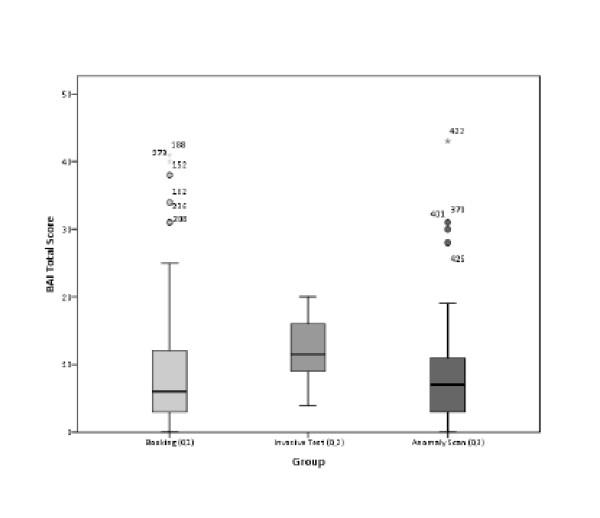
A couple's decision to undergo an invasive test based on a screening test result is a process associated with anxiety. The aim of this study was to determine whether anxiety and prenatal attachment were affected by undergoing an invasive test compared to women in early pregnancy and after a reassuring anomaly scan.

METHODS

200 women were recruited at booking, 14 women and 20 partners after an invasive test and 81 women following an anomaly scan. A questionnaire was completed using the Beck Anxiety Inventory and Maternal or Paternal Antenatal Attachment Scales.

RESULTS

Women who have had an invasive test have higher levels of anxiety compared to women at booking (P < 0.01) and after an anomaly scan (P = 0.002). Anxiety declines from booking to the time of an anomaly scan (P = 0.025), whilst attachment increases (P < 0.001). There is a positive correlation between anxiety and attachment in women who have had an invasive test (r = 0.479). Partners of women undergoing an invasive test experience lower levels of anxiety (P < 0.05).

CONCLUSIONS

Women undergoing prenatal diagnostic procedures experience more psychological distress, which may be currently underestimated. Establishment of interdisciplinary treatment settings where access to psychological support is facilitated may be beneficial.

摘要

背景

夫妻双方根据筛查结果决定是否进行有创检查,这是一个与焦虑相关的过程。本研究旨在确定与早孕期及异常扫描后相比,行有创检查是否会对焦虑和产前依恋产生影响。

方法

在预约时招募了 200 名女性,在有创检查后招募了 14 名女性和 20 名伴侣,在异常扫描后招募了 81 名女性。使用贝克焦虑量表和母婴产前依恋量表完成问卷调查。

结果

与预约时(P < 0.01)和异常扫描后(P = 0.002)相比,行有创检查的女性焦虑水平更高。从预约到异常扫描时,焦虑程度下降(P = 0.025),而依恋程度增加(P < 0.001)。行有创检查的女性中,焦虑与依恋呈正相关(r = 0.479)。行有创检查的女性伴侣焦虑程度较低(P < 0.05)。

结论

行产前诊断的女性经历更多的心理困扰,目前可能被低估了。建立多学科治疗环境,方便获得心理支持可能会有所帮助。

https://cdn.ncbi.nlm.nih.gov/pmc/blobs/4a8a/3148201/f46c8dcf3767/1472-6874-11-33-1.jpg

文献检索

告别复杂PubMed语法,用中文像聊天一样搜索,搜遍4000万医学文献。AI智能推荐,让科研检索更轻松。

立即免费搜索

文件翻译

保留排版,准确专业,支持PDF/Word/PPT等文件格式,支持 12+语言互译。

免费翻译文档

深度研究

AI帮你快速写综述,25分钟生成高质量综述,智能提取关键信息,辅助科研写作。

立即免费体验